Μαθηματικά (Γ Λυκείου Θετικών Σπουδών / Οικονομίας & Πληροφορικής)- Βιβλίο Μαθητή
A2.3: ΜΕΤΡΟ ΜΙΓΑΔΙΚΟΥ ΑΡΙΘΜΟΥ A2.5: ΠΟΛΥΩΝΥΜΙΚΕΣ ΕΞΙΣΩΣΕΙΣ ΣΤΟ ₵ Επιστροφή στην αρχική σελίδα του μαθήματος

2.4  ΤΡΙΓΩΝΟΜΕΤΡΙΚΗ ΜΟΡΦΗ ΜΙΓΑΔΙΚΟΥ

Εισαγωγή

Η αποδοχή των μιγαδικών αριθμών, εκτός από τις δυνατότητες που άνοιξε στην επίλυση των εξισώσεων, έδωσε μεγάλη ευελιξία στον αλγεβρικό λογισμό. Για παράδειγμα, η παράσταση x2 + y2 μπορεί τώρα να παραγοντοποιηθεί στη μορφή (x + yi)(x – yi) . Οι μαθηματικοί εκμεταλλεύτηκαν αυτό το γεγονός σε πολλά ζητήματα, όπως είναι, για παράδειγμα, ο πολλαπλασιασμός και η διαίρεση των τόξων ενός κύκλου.

Το 1739 ο A. de Moivre, συνδυάζοντας τον υπολογισμό των κυβικών ριζών παραστάσεων της μορφής α + i√β (που εμφανίζονται στον τύπο επίλυσης της x3 = px + q ) με την τριγωνομετρική ταυτότητα 3ημθ – 4ημ3θ = ημ3θ, έδωσε τις πρώτες ιδέες για την τριγωνομετρική παράσταση των μιγαδικών αριθμών.

Το 1748 ο L. Euler, ξεκινώντας από την ανάλυση της ισότητας συν2θ + ημ2θ = 1 στη μορφή (συνθ + iημθ)(συνθ – iημθ) = 1 , τόνισε τη σημασία των παραστάσεων της μορφής συνθ + iημθ και έδειξε ότι (συνx + iημx)(συνy + iημy) = συν(x + y) + iημ(x + y) . Γενικεύοντας έφτασε στη σχέση (συνz ± iημz)= συνnz ± iημnz (που σήμερα φέρει το όνομα του de Moivre), από την οποία, με χρήση του διωνυμικού αναπτύγματος, βρήκε τύπους για τα ημnz και συνnz .

Σε όλες τις προηγούμενες περιπτώσεις οι μιγαδικοί αντιμετωπίζονταν ως καθαρά συμβολικές παραστάσεις, που δεν απεικόνιζαν κάποια συγκεκριμένη πραγματικότητα. Η τριγωνομετρική παράσταση έδωσε όμως τη δυνατότητα να χρησιμοποιηθούν (από τον C. Wessel το 1799 και τον R. Argand το 1806) για την αναλυτική έκφραση της διεύθυνσης στο επίπεδο, ακριβώς όπως οι θετικοί και αρνητικοί χρησιμοποιούνται για τη διάκριση της φοράς στην ευθεία. Αυτές οι εξελίξεις διεύρυναν τις εφαρμογές των μιγαδικών και άνοιξαν το δρόμο για τη γεωμετρική ερμηνεία τους, την οποία καθιέρωσε ο C.F. Gauss το 1831.

Όρισμα Μιγαδικού

Έστω ένας μη μηδενικός μιγαδικός αριθμός z = x + yi και  Εικόνα η αντίστοιχη διανυσματική ακτίνα του.

Ονομάζουμε όρισμα του μιγαδικού z καθεμιά από τις γωνίες που έχουν αρχική πλευρά την ημιευθεία Ox και τελική πλευρά την ημιευθεία OM .
Από όλα τα ορίσματα του z ένα ακριβώς βρίσκεται στο διάστημα [0,2π). Αυτό λέγεται πρωτεύον όρισμα του μιγαδικού z και συμβολίζεται με Arg(z) .
Είναι φανερό ότι:

  Εικόνα
● Tο Arg(z) είναι η γωνία που σχηματίζει η διανυσματική ακτίνα του μιγαδικού z με τον άξονα x'x .
● Δυο ορίσματα του z διαφέρουν κατά γωνία 2κπ ,  κ ϵ Z.
Για το μιγαδικό z = 0 δεν ορίζεται όρισμα. Γι’αυτό, στη συνέχεια, όταν αναφερόμαστε σε όρισμα μιγαδικού, θα εννοούμε ότι z ≠ 0 .

Τριγωνομετρική Μορφή Μιγαδικού

Έστω ο μιγαδικός z = x + yi ≠ 0, που έχει μέτρο Εικόνα. Αν θ είναι ένα όρισμα του z, τότε, από τον ορισμό των τριγωνομετρικών αριθμών σε ορθοκανονικό σύστημα, έχουμε

Εικόνα   Εικόνα
οπότε
x = ρσυνθ   και   y = ρημθ

Επομένως, ο μιγαδικός z γράφεται

z = x + yi = ρσυνθ + ρημθ·i ,

δηλαδή παίρνει τη μορφή
z = ρ(συνθ + iημθ)

Ο τρόπος αυτός γραφής του μιγαδικού z λέγεται τριγωνομετρική ή πολική μορφή του z .

Για παράδειγμα, αν z = – √3 + i , τότε το μέτρο του z είναι  Εικόνα και για κάθε όρισμά του θ ισχύουν :

Εικόνα

Επομένως, μια τιμή του ορίσματος είναι η   Εικόνα . Άρα, έχουμε Εικόνα ή γενικότερα :     

Εικόνα  κ ϵ Ζ

Αποδεικνύεται ότι, αν για έναν μιγαδικό αριθμό z ισχύει
z = r(συνθ + iημθ) , όπου r > 0 και θ ϵ R, τότε η παράσταση r(συνθ + iημθ) είναι τριγωνομετρική μορφή του μιγαδικού αριθμού z .

Επειδή ίσοι μιγαδικοί αριθμοί έχουν την ίδια εικόνα στο μιγαδικό επίπεδο και αντιστρόφως, έχουμε το ακόλουθο κριτήριο ισότητας μιγαδικών:

“Δυο μη μηδενικοί μιγαδικοί αριθμοί είναι ίσοι, αν και μόνο αν έχουν ίσα μέτρα και η διαφορά των ορισμάτων τους είναι ακέραιο πολλαπλάσιο του 2π”.

Δηλαδή :

Αν z= ρ1(συνθ+ iημθ1)  και  z= ρ2(συνθ+ iημθ2) είναι τριγωνομετρικές μορφές των μιγαδικών z1 και z2, τότε:

z1= z2    ⇔   (ρ1= ρ2    και    θ1 – θ2 = κ·2π,   κ ϵ Ζ)



Τριγωνομετρική Μορφή Γινομένου Μιγαδικών

Αν z= ρ1(συνθ+ iημθ1)  και  z= ρ2(συνθ+ iημθ2) είναι οι τριγωνομετρικές μορφές δύο μιγαδικών αριθμών z1 και z2 , τότε για το γινόμενό τους έχουμε :

  Εικόνα

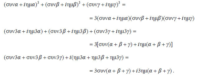
Ομοίως, για το πηλίκο τους Εικόνα έχουμε :

  Εικόνα

Αποδείξαμε λοιπόν ότι :

Αν z= ρ1(συνθ+ iημθ1)  και  z= ρ2(συνθ+ iημθ2) είναι δυο μιγαδικοί σε τριγωνομετρική μορφή, τότε

Εικόνα

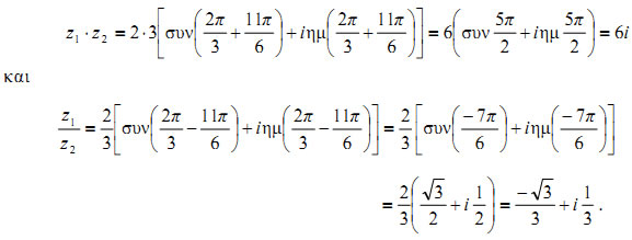
Για παράδειγμα, αν Εικόνα τότε έχουμε :

Εικόνα

Από τις τριγωνομετρικές μορφές του γινομένου και του πηλίκου μιγαδικών προκύπτουν οι ιδιότητες

Εικόνα

τις οποίες έχουμε συναντήσει και στην § 2.3.

Η γεωμετρική ερμηνεία του γινομένου και του πηλίκου δύο μιγαδικών φαίνεται στα παρακάτω σχήματα :

Εικόνα

Σύμφωνα με τα παραπάνω :

Ο πολλαπλασιασμός του μιγαδικού z= ρ1(συνθ+ iημθ1) με το μιγαδικό z= ρ2(συνθ+ iημθ2) σημαίνει στροφή της διανυσματικής ακτίνας του z1 κατά γωνία θ2 και μετά πολλαπλασιασμό της με ρ2 (Σχ. 12). Επομένως, ο πολλαπλασιασμός ενός μιγαδικού z με το μιγαδικό συνθ + iημθ στρέφει μόνο τη διανυσματική ακτίνα του z κατά γωνία θ , αφού  | συνθ + iημθ | = 1 . Ειδικότερα, ο πολλαπλασιασμός του z με i στρέφει τη διανυσματική ακτίνα του z κατά γωνία Εικόνα , αφού Εικόνα .

● Η διαίρεση του μιγαδικού z= ρ1(συνθ+ iημθ1) με το μιγαδικό z= ρ2(συνθ+ iημθ2) σημαίνει στροφή της διανυσματικής ακτίνας του z1 κατά γωνία – θ2 και μετά πολλαπλασιασμό της με Εικόνα (Σχ. 13).

Θεώρημα του De Moivre

Αν z = ρ(συνθ + iημθ) είναι ένας μιγαδικός αριθμός σε τριγωνομετρική μορφή, σύμφωνα με τα προηγούμενα έχουμε :

z 2 = z · z = ρ (συνθ + iημθ) ρ(συνθ + iημθ) = ρ2 (συν2θ + iημ2θ)
z 3 = z 2 · z = ρ2 (συν2θ + iημ2θ) ρ(συνθ + iημθ) = ρ3 (συν3θ + iημ3θ)

Ομοίως, βρίσκουμε ότι

z4 = ρ4 (συν4θ + iημ4θ)
z5 = ρ5 (συν5θ + iημ5θ)

Γενικά, ισχύει το επόμενο θεώρημα:

ΘΕΩΡΗΜΑ 1

Αν z = ρ (συνθ + iημθ) είναι ένας μιγαδικός αριθμός σε τριγωνομετρική μορφή και ν είναι ένας θετικός ακέραιος, τότε

z ν = ρ ν [συν(νθ) + iημ(νθ)]

ΑΠΟΔΕΙΞΗ

Έστω P(ν) η ισότητα που θέλουμε να αποδείξουμε.

Για ν = 1 η ισότητα γίνεται z 1 = ρ 1 [συν(1·θ) + iημ(1·θ)] ή ισοδύναμα, z = ρ(συνθ + iημθ) που ισχύει. Άρα η P(1) είναι αληθής.

● Θα αποδείξουμε ότι, αν P(ν) αληθής, τότε P(ν + 1) αληθής δηλαδή, αν z ν = ρ ν [συν(νθ) + iημ(νθ)], τότε z ν + 1 = ρ ν + 1 [συν(ν + 1)θ + iημ(ν + 1)θ]

Πράγματι, έχουμε

z ν + 1 = z ν · z = ρ ν [συν(νθ) + iημ(νθ)] · ρ(συνθ + iημθ)

  = ρ ν + 1 [συν(ν + 1)θ + iημ(ν + 1)θ]

Άρα, η αληθεύει για όλους τους θετικούς ακεραίους . ■

Για παράδειγμα, αν αν z = √3 +i , επειδή Εικόνα , έχουμε :

Εικόνα

Το προηγούμενο θεώρημα αποδίδεται στο μαθηματικό De Moivre και γι’ αυτό φέρει το όνομά του.

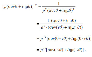
Το Θεώρημα του De Moivre ισχύει και όταν ο εκθέτης είναι αρνητικός ακέραιος.

Πράγματι, έχουμε

Εικόνα

ΕΦΑΡΜΟΓΕΣ

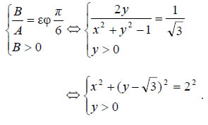
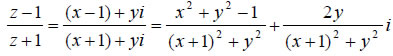
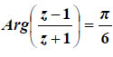
1. Να βρεθεί το σύνολο των εικόνων των μιγαδικών z, για τους οποίους ισχύει Εικόνα .

ΛΥΣΗ

Αν z = x + yi , τότε Εικόνα .

Άρα,

Εικόνα

Εικόνα   Εικόνα
Άρα, το σύνολο των εικόνων του z είναι το τόξο του κύκλου κέντρου K(0, √3) και ακτίνας ρ = 2 που είναι πάνω από τον άξονα x'x .

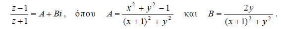
2. Αν ημα + ημβ + ημγ = 0 και συνα + συνβ + συνγ = 0 , να αποδειχτεί ότι

α) συν3α + συν3β + συν3γ = 3συν (α + β + γ)

β) ημ3α + ημ3β + ημ3γ = 3 ημ(α + β + γ) .

ΛΥΣΗ

Έστω οι μιγαδικοί a = συνα + iημα , b = συνβ + iημβ , c = συνγ + iημγ . Έχουμε

a + b + c = (συνα + συνβ + συνγ) + i(ημα + ημβ + ημγ) =0 + 0i = 0

και επομένως,   a3 + b3 + c3 = 3abc .

Με αντικατάσταση των a, b και c έχουμε διαδοχικά :

Εικόνα

Εξισώνοντας τα πραγματικά και τα φανταστικά μέρη των δύο μελών έχουμε :

συν3α + συν3β + συν3γ =3συν(α + β + γ)    και

ημ3α + ημ3β + ημ3γ =3ημ(α + β + γ) .

ΑΣΚΗΣΕΙΣ

Α΄ ΟΜΑΔΑΣ


1. Να γράψετε σε τριγωνομετρική μορφή τους μιγαδικούς :

  α) 1+ √3i

β) 1 – √3i

  γ) – 1 – √3i

δ) – 1+ √3i

  ε) 4 στ) –4

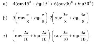
2. Να κάνετε τις πράξεις :

Εικόνα

3. Να κάνετε τις πράξεις :

Εικόνα


4. Να βρείτε τις δυνάμεις

Εικόνα

5. Να υπολογίσετε την παράσταση Εικόνα .

6. Αν Εικόνα να υπολογίσετε τον z 2000.

7. Αν z1 = √3 + i  και  z2 = √3 – i , να υπολογίσετε την παράσταση z1ν + z2ν , όπου ν θετικός ακέραιος.

8. Να ερμηνεύσετε γεωμετρικά τη διαίρεση ενός μιγαδικού z με i .

9. Αν z = 1 + √3i   και   w = 1 + i , να δείξετε ότι Εικόνα και να βρείτε Εικόνα

10. Να βρείτε το μέτρο και το βασικό όρισμα του μιγαδικού z ≠0   αν   z2  z .

Β΄ ΟΜΑΔΑΣ

1. α) Να βρείτε το μέτρο και το όρισμα του μιγαδικού w, όπου Εικόνα ,  ν ϵ Ν
και  θ ≠ (2κ + 1)π,   κ ϵ Z .

β) Να βρείτε την τιμή της παράστασης Εικόνα .

2. α) Να δείξετε ότι αν (1 + i) ν = (1 – i) ν,  όπου ν ϵ Ν*   τότε   ν = 4κ,   κ ϵ Ν

β) Αν  Εικόνα να δείξετε ότι f (ν + 4) + f (ν) = 0 .

3. Να αποδείξετε ότι

| z1 + z2 | = | z1 | + | z2 | , αν και μόνο αν Arg(z1) + Arg(z2 ) .

4. Να βρείτε το γεωμετρικό τόπο των εικόνων Μ των μιγαδικών z , για τους οποίους ισχύει :

Εικόνα

5. Μεταξύ όλων των μιγαδικών z που ικανοποιούν τη συνθήκη | z + 2 – 5i | ≤ 2 να βρείτε εκείνον που έχει :

α) Το μικρότερο πρωτεύον όρισμα

β) Το μεγαλύτερο πρωτεύον όρισμα.

6. Αν z = συνθ + iημθ , να αποδείξετε ότι :

Εικόνα

7. Αν για τους μιγαδικούς z και w ισχύουν | z |= 1 και w = ( √3 – i )z , τότε :

α) Να βρείτε το γεωμετρικό τόπο των εικόνων του μιγαδικού w.

β) Να βρείτε την εικόνα εκείνου του μιγαδικού από τους w, για τον οποίο ισχύει Arg(w) = π/4 .

8. Αν Εικόνα  και  Arg(z) = π/3 , να βρείτε τον πραγματικό αριθμό κ.

9. Δίνεται το τριώνυμο  f(x) = x+ 2 | z– z| x + (1 + | z|2) (1 + | z2 |2) , όπου z1 και z2 είναι δύο μιγαδικοί αριθμοί. Να αποδείξετε ότι  f (x) ≥ 0 , για κάθε  x ϵ R .