Μαθηματικά (Γ Λυκείου Θετικών Σπουδών / Οικονομίας & Πληροφορικής)- Βιβλίο Μαθητή
A2.2: ΠΡΑΞΕΙΣ ΣΤΟ ΣΥΝΟΛΟ ₵ ΤΩΝ ΜΙΓΑΔΙΚΩΝ A2.4: ΤΡΙΓΩΝΟΜΕΤΡΙΚΗ ΜΟΡΦΗ ΜΙΓΑΔΙΚΟΥ Επιστροφή στην αρχική σελίδα του μαθήματος

2.3 ΜΕΤΡΟ ΜΙΓΑΔΙΚΟΥ ΑΡΙΘΜΟΥ

Έστω M(x, y) η εικόνα του μιγαδικού z = x + yi στο μιγαδικό επίπεδο. Ορίζουμε ως μέτρο του z την απόσταση του M από την αρχή O , δηλαδή

  Εικόνα
Εικόνα

Για παράδειγμα , Εικόνα .

Όταν ο μιγαδικός z είναι της μορφής z = x + 0i = x ϵ R, τότε Εικόνα , που είναι η γνωστή μας απόλυτη τιμή του πραγματικού αριθμού x.

Αν z = x + yi , τότε z = x – yi   και  –z = – x – yi . Eπομένως,

● | z | = | z | = | − z |

● | z | 2 = z · z

Οι επόμενες ιδιότητες αναφέρονται στις σχέσεις που συνδέουν το γινόμενο και το πηλίκο μιγαδικών με τα μέτρα τους και είναι ίδιες με τις αντίστοιχες ιδιότητες των απόλυτων τιμών πραγματικών αριθμών.

Αν z1 , z2 είναι μιγαδικοί αριθμοί, τότε

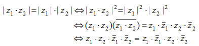
● | z· z2 | = | z1 | · | z|

Εικόνα

Πράγματι, έχουμε :

Εικόνα

και, επειδή η τελευταία ισότητα ισχύει, θα ισχύει και η ισοδύναμη αρχική. Ανάλογα αποδεικνύεται και η δεύτερη ιδιότητα.

Γενικά, αποδεικνύεται ότι

| zz ........ zν | =  | z| · | z| ·........· | zν |

και ειδικότερα

| z ν | = | z |ν .

  Εικόνα

Τέλος, από τη γνωστή μας τριγωνική ανισότητα και από τη γεωμετρική ερμηνεία του αθροίσματος z1 + z2 και της διαφοράς z1 – z2 δύο μιγαδικών προκύπτει ότι :

| | z| – | z2 | |  ≤  | z1 + z2 |  ≤  | z1 | + | z|

Επίσης, είναι φανερό ότι το μέτρο του διανύσματος Εικόνα είναι ίσο με το μέτρο του διανύσματος Εικόνα . Επομένως :

“Το μέτρο της διαφοράς δύο μιγαδικών είναι ίσο με την απόσταση των εικόνων τους”.

Δηλαδή :

(M1M2 ) = | z1 – z2 |

Έτσι, για παράδειγμα, η εξίσωση | z – (2 + i) | = 3 επαληθεύεται μόνο από τους μιγαδικούς z που έχουν την ιδιότητα οι εικόνες τους να απέχουν από την εικόνα του μιγαδικού 2 + i , δηλαδή από το σημείο K(2,1) , απόσταση 3 μονάδες. Επομένως, η εξίσωση αυτή είναι εξίσωση κύκλου με κέντρο το σημείο K(2,1) και ακτίνα ρ = 3.

Γενικά, η εξίσωση

| z – z0 | = ρ,  ρ > 0

παριστάνει τον κύκλο με κέντρο το σημείο K(z0 ) και ακτίνα ρ.

  Εικόνα

Επίσης, η εξίσωση | z – (1 + 2i) | =| z – (– 1 + 3i) | επαληθεύεται μόνο από τους μιγαδικούς z που έχουν την ιδιότητα οι εικόνες τους να ισαπέχουν από τις εικόνες των μιγαδικών 1 + 2i και – 1 + 3i , δηλαδή από τα σημεία A(1, 2) και B(– 1, 3) . Επομένως, η εξίσωση αυτή είναι εξίσωση της μεσοκαθέτου του ευθύγραμμου τμήματος KΛ .

Γενικά, η εξίσωση

| z – z1 | = | z – z2 |

  Εικόνα

παριστάνει τη μεσοκάθετο του τμήματος με άκρα τα σημεία A(z1 ) και B(z2 ) .

ΕΦΑΡΜΟΓΕΣ

1. Αν για τους μιγαδικούς z1 , z2 ,..., zν ισχύει

Εικόνα

να αποδειχτεί ότι κανένας από αυτούς δεν είναι πραγματικός αριθμός.

ΑΠΟΔΕΙΞΗ

Αν ένας από τους   z1 , z2 ,..., zν , για παράδειγμα ο zκ , ήταν πραγματικός, τότε οι μιγαδικοί zκ – i και zκ + i θα ήταν συζυγείς και επομένως Εικόνα , αφού τα μέτρα δύο συζυγών μιγαδικών είναι ίσα. Τότε όμως θα είχαμε

Εικόνα

που είναι άτοπο.

2. Αν για το μιγαδικό z ισχύει | z – (2 + 2i) | = √2 , να βρεθεί:

α) Ο γεωμετρικός τόπος της εικόνας του z στο μιγαδικό επίπεδο.

β) Η μέγιστη και η ελάχιστη τιμή του | z | .

ΑΠΟΔΕΙΞΗ

α) Η ισότητα | z – (2 + 2i) | = √2 επαληθεύεται από όλους τους μιγαδικούς z που έχουν την ιδιότητα οι εικόνες τους να απέχουν από το σημείο K(2,2) σταθερή απόσταση ίση με 2 και μόνο από αυτούς. Επομένως, ο ζητούμενος γεωμετρικός τόπος είναι ο κύκλος με κέντρο K(2,2) και ακτίνα ρ = √2 , δηλαδή ο κύκλος

(x – 2)2 + (y – 2)2 = 2 .

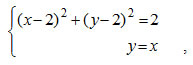
β) Το |z| είναι η απόσταση της εικόνας M(z) από την αρχή O(0,0) , δηλαδή το μήκος (OM). Από τη Γεωμετρία, όμως, γνωρίζουμε ότι αν η ευθεία O Κ τέμνει τον κύκλο στα A και B , τότε (OA) ≤ (OM) ≤ (OB) , που σημαίνει ότι η μέγιστη τιμή του |z| είναι το μήκος (OB) και η ελάχιστη το μήκος (OA) .

Η εξίσωση, όμως, της ευθείας O Κ είναι η y = x. Επομένως, οι συντεταγμένες των σημείων A και B θα είναι οι λύσεις του συστήματος

  Εικόνα
Εικόνα

που είναι τα ζεύγη (1,1) και (3,3) . Άρα, η μέγιστη τιμή του |z| είναι ίση με Εικόνα και η ελάχιστη ίση με Εικόνα .

ΑΣΚΗΣΕΙΣ

Α΄ ΟΜΑΔΑΣ

1. Να βρείτε τα μέτρα των μιγαδικών αριθμών :

Εικόνα

2. Να βρείτε τα μέτρα των μιγαδικών αριθμών :

Εικόνα , όπου λ, μ ϵ R με | λ | + | μ | ≠0.

3. Να βρείτε τους μιγαδικούς z = x + yi για τους οποίους ισχύει :

α) | z 2 | = z 2 β) | z – 1| = z γ) | z + i | = 2z


4. Να βρείτε πού ανήκουν οι μιγαδικοί z για τους οποίους ισχύει :

α) | z | = 1

β) | z – i | = 1

γ) | z + 1 + 2i | = 3

δ) 1 < | z | < 2

ε) | z | ≥ 2  

 

5. Να βρείτε πού ανήκουν οι εικόνες των μιγαδικών z για τους οποίους ισχύει :

α) | z + 1| = | z – 2i | β) | z – i | > | z + 1|

6. Αν x ϵ R, να βρείτε το γεωμετρικό τόπο της εικόνας του μιγαδικού z, όπου Εικόνα .

7. Από τους μιγαδικούς z, για τους οποίους ισχύει | z – 4i | = 2 , ποιος έχει το ελάχιστο και ποιος το μέγιστο δυνατό μέτρο;

8. Αν για τους μιγαδικούς z ισχύει | z | = 1, να βρείτε που ανήκουν οι εικόνες των μιγαδικών w με w = 2z + 1.

9. Για δύο μιγαδικούς αριθμούς z1 και z2 να αποδείξετε ότι

| z1 + z 2 | 2 + | z1 – z2 | 2 =2 | z1| 2 + 2 | z2 | 2.

 

Β΄ ΟΜΑΔΑΣ

1. Να δείξετε ότι για κάθε μιγαδικό z ισχύει :

2 ·| z | ≥ | Re(z) | + | Im(z) | .


2. Έστω ο μιγαδικός z , για τον οποίο ισχύει z ≠ – 1. Να αποδείξετε ότι : Αν | z | = 1, τότε ο Εικόνα είναι φανταστικός αριθμός και αντιστρόφως.


3. Έστω ο μιγαδικός z με z ≠ 0 . Να αποδείξετε ότι : ο  Εικόνα  είναι πραγματικός, αν και μόνο αν ο z είναι πραγματικός ή | z | = 1.

4. Έστω ο μιγαδικός z με z ≠ αi , όπου α ϵ R* . Να αποδείξετε ότι: ο Εικόνα  είναι φανταστικός, αν και μόνο αν ο z είναι φανταστικός.

5. Αν η εικόνα του μιγαδικού z ανήκει στον κύκλο κέντρου O(0,0) και ακτίνας ρ = 1 , να δείξετε ότι το ίδιο ισχύει και για την εικόνα του μιγαδικού Εικόνα .

6. Αν για το μιγαδικό z ισχύει | 2z – 1| = | z – 2 | , να δείξετε ότι η εικόνα του z ανήκει στον κύκλο με κέντρο O(0,0) και ακτίνα ρ = 1 .


7. Αν για το μιγαδικό z ισχύει | z | = 1, να βρείτε την τιμή της παράστασης A = | 1 + z |+ | 1– z | 2 . Να ερμηνεύσετε γεωμετρικά το συμπέρασμα.

8. Να βρείτε το γεωμετρικό τόπο των εικόνων Μ των μιγαδικών z , για τους οποίους ισχύει: | z + 1 | = | z + 4i |. Ποιο από τα σημεία Μ απέχει την ελάχιστη απόσταση από την αρχή O(0,0) .

9. Αν M1 και M2 είναι οι εικόνες των μιγαδικών z1 και z2 αντιστοίχως και  Εικόνα να αποδείξετε ότι : Όταν το M1 κινείται σε κύκλο κέντρου O(0,0) και ακτίνας 4, τότε το M2 κινείται σε μια έλλειψη.

10. α) Αν | z |= 1, να δείξετε ότι Εικόνα .

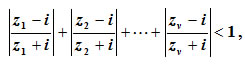
β) Αν για τους μιγαδικούς  z1 , z2 ,..., zκ,   ισχύει | z1 | = | z2 | =........= | zκ| = 1 να αποδείξετε ότι :

Εικόνα