Μαθηματικά (Γ Λυκείου Θετικών Σπουδών / Οικονομίας & Πληροφορικής)- Βιβλίο Μαθητή
A2.4: ΤΡΙΓΩΝΟΜΕΤΡΙΚΗ ΜΟΡΦΗ ΜΙΓΑΔΙΚΟΥ A2: ΓΕΝΙΚΕΣ ΑΣΚΗΣΕΙΣ Επιστροφή στην αρχική σελίδα του μαθήματος

A2.5: ΠΟΛΥΩΝΥΜΙΚΕΣ ΕΞΙΣΩΣΕΙΣ ΣΤΟ ₵

Εισαγωγή

Η επίλυση των εξισώσεων 3ου και 4ου βαθμού, η “αναγκαστική” επαφή με τους μιγαδικούς αριθμούς για την έκφραση των πραγματικών ριζών και η εξέλιξη του αλγεβρικού λογισμού δημιούργησαν στις αρχές του 17ου αιώνα τις προϋποθέσεις για την ανάπτυξη μιας γενικής θεωρίας των πολυωνυμικών εξισώσεων στην Άλγεβρα. Βασικά στοιχεία αυτής της θεωρίας δεν ήταν μόνο οι μέθοδοι επίλυσης, αλλά και δομικά ζητήματα, όπως οι σχέσεις ριζών και συντελεστών μιας εξίσωσης, καθώς και η σχέση ανάμεσα στο βαθμό και στο πλήθος των ριζών. Το τελευταίο, που καθιερώθηκε αργότερα ως Θεμελιώδες Θεώρημα της Άλγεβρας

“κάθε πολυωνυμική εξίσωση ν βαθμού έχει στο σύνολο των μιγαδικών ν ακριβώς ρίζες”,

διατυπώνεται στην αρχή διστακτικά, καθώς οι μιγαδικοί δε θεωρούνται ακόμη ισότιμοι προς τους υπόλοιπους αριθμούς. Ο R. Descartes, στο βιβλίο ΙΙΙ της “La Geometrie” (1637) γράφει ότι: “κάθε εξίσωση μπορεί να έχει τόσες διαφορετικές ρίζες όσες και οι διαστάσεις [δηλ. ο βαθμός] της άγνωστης ποσότητας στην εξίσωση”, αλλά ονομάζει τις θετικές ρίζες “αληθινές”, τις αρνητικές “ψεύτικες” και εισάγει για πρώτη φορά τον όρο “φανταστικές” για τις υπόλοιπες :

“…ενώ μπορούμε να θεωρήσουμε ότι η εξίσωση x– 6x+ 13x – 10 = 0 έχει τρεις ρίζες, εν τούτοις υπάρχει μία μόνο πραγματική ρίζα, το 2, ενώ οι άλλες δύο παραμένουν φανταστικές”.

Το θεμελιώδες θεώρημα της Άλγεβρας άρχισε να αποκτά εξαιρετική σημασία με την ανάπτυξη της Ανάλυσης, καθώς η παραγοντοποίηση των πολυωνύμων έπαιζε πρωταρχικό ρόλο στον υπολογισμό ολοκληρωμάτων (διάσπαση ρητών κλασμάτων σε απλά κλάσματα). Ο G.W. Leibniz έθεσε το 1702 αυτό το ζήτημα ισχυριζόμενος (λαθεμένα) ότι το πολυώνυμο x+ α4 δεν αναλύεται σε γινόμενο παραγόντων 1ου ή 2ου βαθμού με πραγματικούς συντελεστές. Το γεγονός αυτό οδήγησε στις πρώτες συστηματικές προσπάθειες να αποδειχτεί ότι κάθε πολυώνυμο με πραγματικούς συντελεστές αναλύεται σε γινόμενο παραγόντων 1ου ή 2ου βαθμού, που αποτελεί μια άλλη ισοδύναμη μορφή του θεμελιώδους θεωρήματος. Ύστερα από ορισμένες ημιτελείς προσπάθειες των d’Alembert (1746), L. Euler (1749) και J.L. Lagrange (1772), ο C.F. Gauss έδωσε την πρώτη αυστηρή απόδειξη το 1799 (σε ηλικία 22 χρονών), στη διδακτορική του διατριβή που είχε τίτλο:
“Νέα απόδειξη του θεωρήματος ότι κάθε ακέραια ρητή συνάρτηση μιας μεταβλητής μπορεί να αναλυθεί σε πραγματικούς παράγοντες πρώτου και δεύτερου βαθμού”.

 

Η Eξίσωση z ν = 1

Γνωρίζουμε ότι στο σύνολο των πραγματικών αριθμών η εξίσωση z ν = 1 έχει μια λύση, την z = 1, αν ο ν είναι περιττός και δύο λύσεις, τις z = 1 και z = –1 ,
αν ο ν είναι άρτιος.
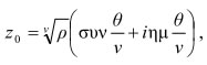
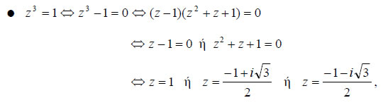
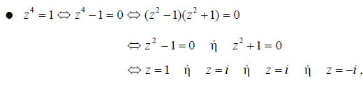
Ας λύσουμε τώρα στο σύνολο των μιγαδικών αριθμών μερικές εξισώσεις της μορφής z ν = 1, όπου ν θετικός ακέραιος. Έχουμε:

Εικόνα

δηλαδή η εξίσωση έχει στο τρεις ρίζες.

Εικόνα

δηλαδή η εξίσωση έχει στο τέσσερις λύσεις.

Γενικά ισχύει το επόμενο θεώρημα :

ΘΕΩΡΗΜΑ 2

Στο σύνολο των μιγαδικών αριθμών η εξίσωση zν = 1, όπου ν θετικός ακέραιος, έχει ν ακριβώς διαφορετικές λύσεις, οι οποίες δίνονται από τον τύπο :

Εικόνα

ΑΠΟΔΕΙΞΗ

Έστω Έστω r(συνθ + iημθ) μια λύση, σε τριγωνομετρική μορφή, της εξίσωσης z ν = 1.

Τότε,

[r(συνθ + iημθ)] ν = 1,

οπότε

r ν (συν(νθ) + iημ(νθ)) = συν0 + iημ0

Άρα, rν = 1 και νθ – 0 = 2κπ , για κάποιο  κ ϵ Ζ, οπότε r = 1 και  Εικόνα . Επομένως, οι λύσεις της εξίσωσης zν = 1, θα είναι της μορφής

Εικόνα      κ ϵ Ζ .          (1)

Αλλά και αντιστρόφως, κάθε μιγαδικός της μορφής Εικόνα   κ ϵ Ζ είναι λύση της εξίσωσης z ν = 1, αφού

Εικόνα

Άρα, οι λύσεις της εξίσωσης z ν = 1 είναι όλοι οι αριθμοί της μορφής

Εικόνα      κ ϵ Ζ .          (1)

Για κ = 0 έχουμε την προφανή λύση z0 = 1.

Αν θέσουμε Εικόνα τότε για τις ρίζες της z ν = 1, θα ισχύει :

Εικόνα     κ ϵ Ζ .        

Είναι λοιπόν :

Εικόνα

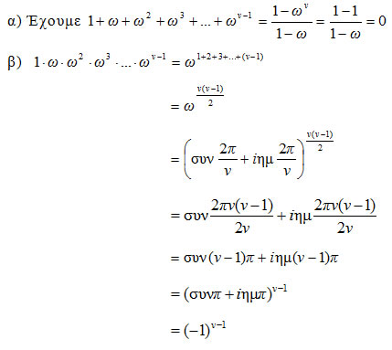
Παρατηρούμε, λοιπόν, ότι οι λύσεις της zν = 1 που δίνονται από την (1) δεν είναι όλες διαφορετικές μεταξύ τους. Θα εξετάσουμε για ποιες τιμές του κ έχουμε διαφορετικές λύσεις. Επειδή για κάθε κ ϵ Ζ υπάρχουν ακέραιοι ρ και υ τέτοιοι, ώστε να ισχύει κ = ρν + υ με 0 ≤ υ < ν , έχουμε :

ω κ = ω ρν + υ = (ω ν) ρ · ω υ = 1 · ω υ = ω υ

Δηλαδή, για κάθε κ ϵ Ζ η λύση  z κ ταυτίζεται με μια από τις

1, ω, ω2 , ω3 , ..., ω ν – 1 .

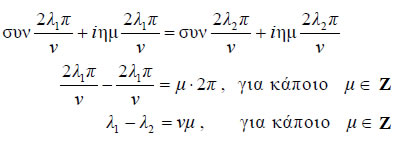
Θα δείξουμε τώρα ότι οι λύσεις 1 = ω0 , ω1, ω2 , ω3 , ..., ω ν – 1 είναι διαφορετικές μεταξύ τους. Έστω ότι δε συμβαίνει αυτό. Τότε θα υπάρχουν φυσικοί λ, λ2 με 0 ≤ λ< λ< ν, τέτοιοι, ώστε Εικόνα οπότε θα έχουμε διαδοχικά :

Εικόνα

Από την τελευταία ισότητα προκύπτει ότι ο ακέραιος ν διαιρεί τη διαφορά λ1 – λ2. Αυτό όμως είναι άτοπο, αφού 0 < λ1 – λ 2 < ν . Επομένως, οι λύσεις της εξίσωσης z ν = 1 είναι οι ν διαφορετικοί αριθμοί

Εικόνα

Οι λύσεις αυτές λέγονται και νιοστές ρίζες της μονάδας.    ■

ΣΧΟΛΙΟ

Οι εικόνες A, A, A,..., Aν–1 των λύσεων 1, ω, ω2, ω3,...,ων–1 της εξίσωσης zν = 1 είναι κορυφές κανονικού πολυγώνου με ν πλευρές, εγγεγραμμένου σε κύκλο με κέντρο O(0,0) και ακτίνα r = 1. Πιο συγκεκριμένα:

  Εικόνα

— Η κορυφή A 0 παριστάνει τη λύση 1.

— Η επόμενη κορυφή A1 παριστάνει τη λύση Εικόνα

Η κορυφή A2 παριστάνει την ω2 και προκύπτει από την ω με στροφή του διανύσματος Εικόνα κατά γωνία Εικόνα δηλαδή κατά γωνία ίση με την κεντρική γωνία του κανονικού ν-γωνου.

— H κορυφή A3 παριστάνει την ω3 και προκύπτει από την ω με στροφή του διανύσματος Εικόνα κατά γωνία Εικόνα  κτλ.

Η Eξίσωση z ν = a,   a ≠ 0

Έστω a = ρ(συνθ + iημθ) μια τριγωνομετρική μορφή του μιγαδικού a. Τότε από τον τύπο του de Moivre έχουμε :

Εικόνα

Αν θέσουμε Εικόνα τότε η εξίσωση z ν = a γράφεται zν  = z0ν  ή, ισοδύναμα,

Εικόνα

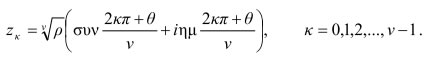
Επομένως, το Εικόνα μπορεί να πάρει τις ν διαφορετικές τιμές

Εικόνα

οπότε οι λύσεις της εξίσωσης z ν = a είναι οι αριθμοί

Εικόνα

Αποδείξαμε λοιπόν ότι:

Στο σύνολο των μιγαδικών αριθμών η εξίσωση zν = a , όπου ν θετικός ακέραιος και a = ρ(συνθ + iημθ) , ρ = | α | , έχει ν διαφορετικές λύσεις οι οποίες δίνονται από τον τύπο :

Εικόνα

Οι εικόνες των λύσεων της εξίσωσης zν = a στο μιγαδικό επίπεδο είναι κορυφές κανονικού πολυγώνου με ν πλευρές, εγγεγραμμένου σε κύκλο με κέντρο O(0,0) και ακτίνα Εικόνα όπου ρ = | a | .

Έστω για παράδειγμα η εξίσωση

z= 16(√3 + i) .      (1)

Επειδή Εικόνα οι λύσεις zκ της εξίσωσης (1) δίδονται από τον τύπο

Εικόνα

Πιο συγκεκριμένα οι λύσεις είναι :

Εικόνα

  Εικόνα
Οι λύσεις αυτές είναι κορυφές κανονικού πενταγώνου εγγεγραμμένου σε κύκλο ακτίνας ρ = 2.

Πολυωνυμικές Εξισώσεις με Πραγματικούς Συντελεστές

Όπως αναφέρθηκε στην εισαγωγή, κάθε πολυωνυμική εξίσωση P(z) = 0, νιοστού βαθμού, δηλαδή κάθε εξίσωση της μορφής

Εικόνα

έχει στο σύνολο των μιγαδικών αριθμών ν ακριβώς ρίζες.

Αν z1, z2,.....,zν είναι οι ρίζες του πολυωνύμου P(z) (οι οποίες δεν είναι κατανάγκη διαφορετικές), τότε αποδεικνύεται ότι το πολυώνυμο αναλύεται σε γινόμενο παραγόντων ως εξής :

P(z) = αν (z − z1) (z − z2)·......·(z − zν)

Επομένως, η επίλυση πολυωνυμικών εξισώσεων στο γίνεται με τις ίδιες μεθόδους που χρησιμοποιούνται και στο σύνολο R των πραγματικών αριθμών.

Στη συνέχεια θα περιοριστούμε σε πολυωνυμικές εξισώσεις με πραγματικούς μόνο συντελεστές. Έχουμε ήδη λύσει τη δευτεροβάθμια εξίσωση, η οποία, όπως είδαμε, έχει δύο ρίζες, οι οποίες, αν δεν είναι πραγματικές, είναι μιγαδικές συζυγείς. Ας λύσουμε τώρα μία ανωτέρου βαθμού, για παράδειγμα την z− 3z3 + 5z − 3 = 0, που είναι πολυωνυμική τρίτου βαθμού. Με σχήμα Horner έχουμε :

Εικόνα

Όμως,

Εικόνα

Άρα, οι ρίζες της εξίσωσης είναι 1 + √2i , 1 − √2i και 1. Και στην περίπτωση αυτή παρατηρούμε ότι οι μιγαδικές ρίζες της εξίσωσης είναι συζυγείς. Το συμπέρασμα αυτό γενικεύεται για οποιαδήποτε πολυωνυμική εξίσωση με πραγματικούς συντελεστές.

ΘΕΩΡΗΜΑ 3

Αν ο μιγαδικός αριθμός z= α + βi είναι ρίζα μιας πολυωνυμικής εξίσωσης με πραγματικούς συντελεστές, τότε και ο συζυγής του z= α − βi είναι ρίζα της εξίσωσης αυτής.

ΑΠΟΔΕΙΞΗ

Μια πολυωνυμική εξίσωση, όπως γνωρίζουμε, έχει τη μορφή :

Εικόνα

Αφού ο αριθμός z0 είναι ρίζα της εξίσωσης, έχουμε κατά σειρά :

Εικόνα

Άρα, ο z0 είναι και αυτός ρίζα της εξίσωσης. ■

ΕΦΑΡΜΟΓΕΣ

1. Αν Εικόνα , να αποδειχτεί ότι :

Εικόνα

ΑΠΟΔΕΙΞΗ

Εικόνα

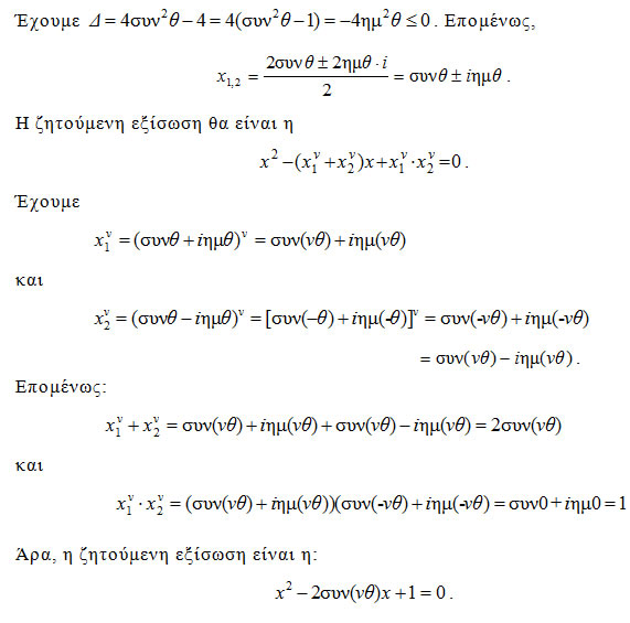
2. Να λυθεί η εξίσωση x− 2συνθ·x + 1 = 0. Αν x, x2 είναι οι ρίζες της εξίσωσης αυτής, να κατασκευαστεί εξίσωση 2ου βαθμού που να έχει ρίζες τις x1ν  , x2ν .

ΛΥΣΗ

Εικόνα

3. Να αναλυθεί σε γινόμενο πολυωνύμων το πολυώνυμο

P(x) = 3x3 + 4x2 + 5x + 6 ,

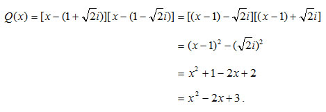
αν γνωρίζουμε ότι έχει ρίζα το μιγαδικό αριθμό 1 + √2i.

ΛΥΣΗ

Αφού το P(x) έχει ρίζα τον αριθμό x0 = 1 + √2i, θα έχει ρίζα και το συζυγή του, x0 = 1 − √2i. Επομένως, το πολυώνυμο P(x) διαιρείται με το γινόμενο  Q(x) = (x − x0)(x − x0), για το οποίο έχουμε

Εικόνα

Αν κάνουμε τη διαίρεση του πολυωνύμου P(x) με το πολυώνυμο Q(x), βρίσκουμε πηλίκο 3x + 2. Επομένως είναι

P(x) = (x2  2x + 3) (3x + 2) .

ΣΧΟΛΙΟ

Γενικά, όπως αναφέρθηκε και στην εισαγωγή, κάθε πολυώνυμο με πραγματικούς συντελεστές μπορεί να γραφεί ως γινόμενο πρωτοβάθμιων και δευτεροβάθμιων παραγόντων με πραγματικούς συντελεστές, όπου οι δευτεροβάθμιοι παράγοντες (αν υπάρχουν) έχουν αρνητική διακρίνουσα.

ΑΣΚΗΣΕΙΣ

Α΄ ΟΜΑΔΑΣ

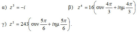
1. Να λύσετε τις εξισώσεις και να παραστήσετε τις λύσεις στο μιγαδικό επίπεδο :

Εικόνα

2. Να λύσετε τις εξισώσεις :

Εικόνα

3. Να λύσετε τις εξισώσεις :

Εικόνα

4. Να λύσετε τις εξισώσεις :

Εικόνα

5. Αν ο μιγαδικός 2 + i είναι ρίζα της εξίσωσης

Εικόνα

να βρείτε και τις άλλες ρίζες της.

6. Αν w είναι μια κυβική ρίζα της μονάδος, με w ≠ 1, να βρείτε την τιμή της παράστασης
(1 − w + w2 ) (1 + w − w2 )

7. Να λύσετε την εξίσωση

Εικόνα


8. Να λύσετε την εξίσωση z3 + 3z2 + 3z + 9 = 0 και να δείξετε ότι οι εικόνες των ριζών είναι κορυφές ισόπλευρου τριγώνου.

Β΄ ΟΜΑΔΑΣ

1. Να λύσετε τις εξισώσεις :

Εικόνα

2. Να λύσετε την εξίσωση z6 + 2z5 + 2z4 + 2z3 + z2 + (z +1)2 = 0.

3. Να λύσετε την εξίσωση z7 + 1 = 0 και στη συνέχεια να βρείτε τα τριώνυμα με πραγματικούς συντελεστές που είναι παράγοντες του πολυωνύμου z6 − z5 + z4 − z3 + z2 − z +1 . 

4. Στο σύνολο των μιγαδικών αριθμών να βρείτε τις κοινές λύσεις των εξισώσεων (z2 + 1)2 + z3 + z = 0 και z16 + 2z14 + 1 = 0.

5. Να βρείτε τους μιγαδικούς αριθμούς z, για τους οποίους ισχύει Εικόνα.

6. Αν η εξίσωση (1 + iz) ν  = p(1− iz) ν  ,  ν ϵ N*  έχει πραγματική ρίζα, να αποδείξετε ότι |p| = 1.

7. Δίνεται η εξίσωση x2 − 2x + 4 = 0 με ρίζες τις x1 και x2 .

α) Να υπολογίσετε τις τιμές των παραστάσεων x+ x2 ,  x1 x2  και   x12 +  x22.

β) Αν η εξίσωση x2 + px + q = 0 έχει ως ρίζες τις x12 και  x22, να βρείτε τις τιμές των p  και  q.

8. α) Να λύσετε την εξίσωση

συν2θ · z2 − 2συνθ · z + (5 − 4συν2θ) = 0,     −π/2 < θ < π/2

β) Να αποδείξετε ότι καθώς το μεταβάλλεται στο διάστημα (−π/2, π/2), οι εικόνες των λύσεων της εξίσωσης κινούνται σε μια υπερβολή.

9. Να λύσετε την εξίσωση

x9 − x5 + x4 − 1 = 0 .