Μαθηματικά (Γ Λυκείου Θετικών Σπουδών / Οικονομίας & Πληροφορικής)- Βιβλίο Μαθητή
A2.1: Η ΕΝΝΟΙΑ ΤΟΥ ΜΙΓΑΔΙΚΟΥ ΑΡΙΘΜΟΥ A2.3: ΜΕΤΡΟ ΜΙΓΑΔΙΚΟΥ ΑΡΙΘΜΟΥ Επιστροφή στην αρχική σελίδα του μαθήματος

2.2 ΠΡΑΞΕΙΣ ΣΤΟ ΣΥΝΟΛΟ ΤΩΝ ΜΙΓΑΔΙΚΩΝ

Σύμφωνα με τον ορισμό του , η πρόσθεση και ο πολλαπλασιασμός δύο μιγαδικών αριθμών γίνονται όπως ακριβώς και οι αντίστοιχες πράξεις με διώνυμα α + βx στο R, όπου βέβαια αντί για x έχουμε το i . Έτσι :

Για την πρόσθεση δύο μιγαδικών αριθμών α + βi και γ + δi έχουμε :

(α + βi) + (γ + δi) = (α + γ) + (β + δ)i.

Για παράδειγμα, (3 + 4i) + (5 – 6i) = (3 + 5) + (4 – 6)i = 8 – 2i

● Για την αφαίρεση του μιγαδικού αριθμού γ + δi από τον α + βi , επειδή ο αντίθετος του μιγαδικού γ + δi είναι ο μιγαδικός  – γ – δi , έχουμε:


(α + βi) – (γ + δi) = (α + βi) + (– γ – δi) = (α – γ) + (β – δ)i .

Δηλαδή
(α + βi) – (γ + δi) = (α – γ) + (β – δ)i .
Για παράδειγμα
(3 + 4i) – (5 – 6i) = (3 – 5) + (4 – 6)i = – 2 + 10i .

 

 

Αν M1 (α, β) και M2 (γ,δ) είναι οι εικόνες των α + βi και γ + δi αντιστοίχως στο μιγαδικό επίπεδο, τότε το άθροισμα   Εικόνα
(α + βi) + (γ + δi) = (α + γ) + (β + δ)i.

παριστάνεται με το σημείο M(α + γ, β + δ) .

Επομένως, Εικόνα, δηλαδή :

“Η διανυσματική ακτίνα του αθροίσματος των μιγαδικών α + βi και γ + δi είναι το άθροισμα των διανυσματικών ακτίνων τους”.

Επίσης, η διαφορά   Εικόνα
(α + βi) – (γ + δi) = (α – γ) + (β – δ)i

παριστάνεται με το σημείο N(α – γ, β – δ).

Επομένως, Εικόνα, δηλαδή :

“Η διανυσματική ακτίνα της διαφοράς των μιγαδικών α + βi και γ + δi είναι η διαφορά των διανυσματικών ακτίνων τους”.

Για τον πολλαπλασιασμό δύο μιγαδικών α + βi και γ + δi έχουμε:
  (α + βi)(γ + δi) = α(γ + δi) + βi(γ + δi) = αγ + αδi + βγi + (βi)(δi) =
                = αγ + αδi + βγi + βδi2 = αγ + αδi + βγi – βδ = (αγ – βδ) + (αδ + βγ)i .
  Δηλαδή,
  (α + βi)(γ + δi) = (αγ – βδ) + (αδ + βγ)i .
  Για παράδειγμα,
  (3 + 4i)(5 – 6i) = 15 – 18i + 20i + 24i2 = (15 + 24) + (20 – 18)i = 39 + 2i .
  Ειδικότερα, έχουμε: (α + βi)(α – βi) = α2 + β2 .
  Ο αριθμός α – βi λέγεται συζυγής του α + βi και συμβολίζεται με α + βi . Δηλαδή,
  α + βi = α – βi .
  Επειδή είναι και α – βi = α + βi , οι α + βi , α – βi λέγονται συζυγείς μιγαδικοί.

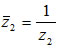
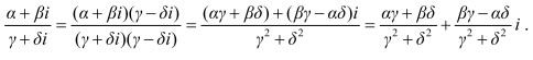
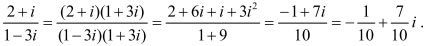
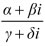
● Τέλος, για να εκφράσουμε το πηλίκο  Εικόνα  όπου γ + δi 0 , στη μορφή κ + λi , πολλαπλασιάζουμε τους όρους του κλάσματος με το συζυγή του παρονομαστή και έχουμε:
Εικόνα
Δηλαδή,
Εικόνα
Για παράδειγμα : Εικόνα

Δύναμη Μιγαδικού

Οι δυνάμεις ενός μιγαδικού αριθμού z με εκθέτη ακέραιο ορίζονται ακριβώς όπως και στους πραγματικούς, δηλαδή ορίζουμε:

z1 = z,   z2 = z · z,......, και γενικά  zν = zν – 1· z ,

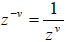
για κάθε θετικο ακέραιο ν , με ν >1. Επίσης, αν z 0, ορίζουμε

z0 = 1 ,     Εικόνα  για κάθε θετικό ακέραιο ν.

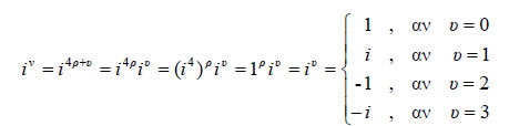
Για τις δυνάμεις των μιγαδικών αριθμών ισχύουν οι ίδιες ιδιότητες που ισχύουν και για τις δυνάμεις των πραγματικών αριθμών. Ιδιαίτερα για τις δυνάμεις του i έχουμε :

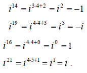
i 0 = 1,     i 1 = i,       i 2 = –1,       i 3 =i 2 i = – i

Στη συνέχεια, παρατηρούμε ότι είναι :

Εικόνα

δηλαδή, μετά το i 4 οι τιμές του i ν επαναλαμβάνονται. Άρα, για να υπολογίσουμε συγκεκριμένη δύναμη του i , γράφουμε τον εκθέτη ν στη μορφή ν = 4ρ + υ , όπου ρ το πηλίκο και υ το υπόλοιπο της ευκλείδειας διαίρεσης του ν με το 4, οπότε έχουμε:

Εικόνα

Για παράδειγμα:

Εικόνα

Ιδιότητες Συζυγών

Επειδή οι συζυγείς μιγαδικοί, όπως θα δούμε στις επόμενες παραγράφους, μας διευκολύνουν στη μελέτη των μιγαδικών αριθμών, θα αναφερθούμε ιδιαιτέρως σε αυτούς.

● Στο μιγαδικό επίπεδο οι εικόνες M(α, β) και M'(α,–β) δύο συζυγών μιγαδικών z = α + βi και z = α – βi είναι σημεία συμμετρικά ως προς τον πραγματικό άξονα.   Εικόνα
 

Για δύο συζυγείς μιγαδικούς αριθμούς z = α + βi και z = α – βi μπορούμε εύκολα, με εκτέλεση των πράξεων, να διαπιστώσουμε ότι :

z + z = 2α

z – z = 2βi .

Αν z1 = α + βi και z2 = γ + δi είναι δυο μιγαδικοί αριθμοί, τότε :

Εικόνα

Οι ιδιότητες αυτές μπορούν να αποδειχτούν με εκτέλεση των πράξεων. Για παράδειγμα έχουμε :

z1 + z2 = (α + βi) (γ + δi) = (α + γ) (β + δ)i

   = (α + γ) – (β + δ)i = (α – βi) + (γ – δi) = z1 + z2.

Οι παραπάνω ιδιότητες 1 και 3 ισχύουν και για περισσότερους από δυο μιγαδικούς αριθμούς. Είναι δηλαδή:

z+ z+........+ zν  =  z1 z+........+ zν

z• z•........• zν  =  z1 • z•........• zν .


Ιδιαίτερα, αν είναι z1 = z2 = ........ = zν = z , τότε η τελευταία ισότητα γίνεται :

( z ν ) = ( z )ν

Για παράδειγμα,  Εικόνα

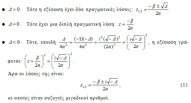
Επίλυση της Εξίσωσης αz 2 + βz + γ = 0 με   α, β, γ ϵ R    και   α ≠ 0

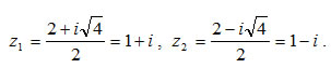
Επειδή i 2 = –1 και (–i) 2 = i 2 = –1 , η εξίσωση x 2 = –1 έχει στο σύνολο των μιγαδικών αριθμών δύο λύσεις, τις  x1 = i  και  x2 = –i. Ομοίως, η εξίσωση x2 = –4 έχει στο σύνολο των μιγαδικών αριθμών δύο λύσεις, τις x= 2i  και  x2 = –2i , αφού

z 2 = –4   ⇔   z 2 = i 2 · 4  ⇔   z 2 = (2i) 2   ⇔   z = 2i   ή   z = –2i.

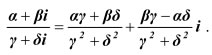
Εύκολα, όμως, μπορούμε να διαπιστώσουμε ότι και κάθε εξίσωση δεύτερου βαθμού με πραγματικούς συντελεστές έχει πάντα λύση στο σύνολο . Πράγματι, έστω η εξίσωση

αz 2 + βz + γ = 0,     με α, β, γ ϵ R    και    α ≠ 0

Εργαζόμαστε όπως στην αντίστοιχη περίπτωση στο R και τη μετασχηματίζουμε, με τη μέθοδο συμπλήρωσης τετραγώνων, στη μορφή :

Εικόνα

όπου Δ = β 2– 4αγ η διακρίνουσα της εξίσωσης. Έτσι, έχουμε τις εξής περιπτώσεις :

Εικόνα

Για παράδειγμα, η εξίσωση z 2 – 5z + 6 = 0 έχει Δ = 25 – 24 = 1 > 0 και οι λύσεις της είναι :

Εικόνα

Όμως, η εξίσωση z 2 – 2z + 2 = 0 έχει Δ = 4 – 8 = –4 < 0 και οι λύσεις της είναι συζυγείς μιγαδικοί αριθμοί :

Εικόνα

ΠΑΡΑΤΗΡΗΣΗ

Παρατηρούμε ότι και εδώ ισχύουν οι σχέσεις :

Εικόνα

ΕΦΑΡΜΟΓΕΣ

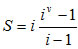
1. Για τις διάφορες τιμές του θετικού ακέραιου ν να υπολογιστεί το άθροισμα

S = i + i 2 + i 3 + ..........+ i ν .

ΛΥΣΗ

Οι προσθετέοι του αθροίσματος έχουν πλήθος ν και είναι διαδοχικοί όροι γεωμετρικής προόδου με πρώτο όρο i και λόγο επίσης i . Επομένως, Εικόνα , οπότε, λόγω της ισότητας ν = 4ρ + υ της ευκλείδειας διαίρεσης του ν με το 4, έχουμε τις εξής περιπτώσεις :

Εικόνα

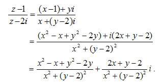
2. Να βρεθεί το σύνολο των εικόνων των μιγαδικών z στις περιπτώσεις κατά τις οποίες ο αριθμός Εικόναείναι α) φανταστικός β) πραγματικός.

ΛΥΣΗ

Αν z = x + yi , τότε :

Εικόνα

Εικόνα

ΑΣΚΗΣΕΙΣ

Α΄ ΟΜΑΔΑΣ


1. Να βρείτε τις τιμές του λ ϵ R, ώστε ο z = (λ + 3i)(2 – i) να είναι:

α) πραγματικός αριθμός         β) φανταστικός αριθμός.

2. Να βρείτε τους πραγματικούς αριθμούς x, y για τους οποίους ισχύει :

α)  (x + y) + (x – y)i = 3 – i

β)  √3x2 + x – 6 + (x2 – 3)i = 2 + i

γ)  9 – 27i = (3x + 2y) – yi .

3. Στο μιγαδικό επίπεδο να σημειώσετε τις εικόνες και τις διανυσματικές ακτίνες των

μιγαδικών αριθμών: 1+i , 1,   i,   –2i ,   3 + 4i ,   3 – 4i ,   5,  0.

4. Να περιγράψετε γεωμετρικά το σύνολο των εικόνων των μιγαδικών αριθμών z που ικανοποιούν τις σχέσεις:

α) Το πραγματικό μέρος του z είναι ίσο με μηδέν.

β) Το φανταστικό μέρος του z είναι ίσο με μηδέν.

γ) Το πραγματικό μέρος του z είναι ίσο με το φανταστικό του μέρος.

5. Σε καθεμιά από τις παρακάτω περιπτώσεις να εκτελέσετε τις πράξεις που σημειώνονται και να γράψετε το αποτέλεσμα στη μορφή α + βi

α) (– 4 + 6i) + (7 – 2i)

β) (3 – 2i) – (6 + 4i)
γ) (3 + 4i) + (– 8 – 7i) + (5 + 3i)

δ) (3 + 2i)(4 + 5i)
ε) 3i(6 + i)

στ) (4 + 3i)(4 – 3i)
ζ) i(3 + i)(2 – i) .

 

6. Να γράψετε τους παρακάτω μιγαδικούς στη μορφή α + βi :

Εικόνα

7. Να βρείτε τους x, y ϵ R, για τους οποίους ισχύει :

Εικόνα

8. Να υπολογίσετε τις παραστάσεις:

Εικόνα

9. Ποιος είναι ο z , όταν :

α) z = – 5 + 7i β) z = – 4 – 9i γ) z = 4i
δ) z = 11 ε) z = – i στ) z = 0

10. Με ποιες συμμετρίες μπορούν να προκύψουν από την εικόνα του μιγαδικού z = x + yi οι εικόνες των μιγαδικών z, – z και –z;

11. Αν  Εικόνα   και  Εικόνα  να δείξετε ότι ο z1 + z2 είναι πραγματικός αριθμός, ενώ ο z– zφανταστικός αριθμός.

12. Να περιγράψετε γεωμετρικά το σύνολο των εικόνων των μιγαδικών αριθμών z που ικανοποιούν τις παρακάτω σχέσεις :

α) z – = 6i β) z 2 γ) = – z 2 δ) z = 2 – z

 

13. Να λύσετε στο σύνολο των μιγαδικών αριθμών τις εξισώσεις :

Εικόνα

14. Αν μια ρίζα της εξίσωσης 2x2 + βx + γ = 0 , όπου β,γ ϵ R, είναι 3 + 2i , να βρείτε τις τιμές των β και γ.

 

Β΄ ΟΜΑΔΑΣ

1. Αν α, β, γ και δ είναι πραγματικοί αριθμοί, να εξετάσετε πότε το πηλίκο Εικόνα είναι πραγματικός αριθμός.

2. Αν Εικόνα να βρείτε την τιμή της παράστασης  Εικόνα .

3. Να βρείτε την τιμή της παράστασης (1 + i)20 – (1 – i)20 .

4. Πόσες διαφορετικές τιμές μπορεί να πάρει η παράσταση i ν + i – ν;

5. Να λύσετε τις εξισώσεις

α) z = z 2        β) z = z3

6. Έστω ο μιγαδικός z με z ≠ 0 . Να δείξετε ότι ο Εικόνα είναι πραγματικός και ότι Εικόνα .

7. Να αποδείξετε ότι (α + βi)10 + (β – αi)10 = 0 , όπου α, β ϵ R

8. α) Για ένα μιγαδικό αριθμό z να αποδείξετε ότι :

Ο z είναι πραγματικός, αν και μόνο αν z = z

Ο z είναι φανταστικός, αν και μόνο αν z = – z .

β) Αν Εικόνα  και  Εικόνα  και  z1 · z2 ≠– 1, να αποδείξετε ότι ο αριθμός Εικόνα  είναι πραγματικός, ενώ ο αριθμός Εικόνα είναι φανταστικός.

9. Να βρείτε το γεωμετρικό τόπο των εικόνων των μιγαδικών z για τους οποίους ισχύει :

Εικόνα