Μαθηματικά (Γ Λυκείου Θετικών Σπουδών / Οικονομίας & Πληροφορικής)- Βιβλίο Μαθητή
A1.6: ΕΠΙΛΥΣΗ ΓΡΑΜΜΙΚΟΥ ΣΥΣΤΗΜΑΤΟΣ ΜΕ ΤΗ ΜΕΘΟΔΟ ΑΠΑΛΟΙΦΗΣ ΤΟΥ GAUSS A1: ΓΕΝΙΚΕΣ ΑΣΚΗΣΕΙΣ Επιστροφή στην αρχική σελίδα του μαθήματος

1.7 ΕΠΙΛΥΣΗ ΓΡΑΜΜΙΚΟΥ ΣΥΣΤΗΜΑΤΟΣ ΜΕ ΤΗ ΜΕΘΟΔΟ ΟΡΙΖΟΥΣΩΝ

Εισαγωγή

Στην προηγούμενη παράγραφο περιγράψαμε μια μέθοδο με την οποία μπορούμε να βρίσκουμε τη λύση ενός γραμμικoύ συστήματος.
Όμως, όπως έχουμε δει στα γραμμικά συστήματα με δύο αγνώστους, είναι χρήσιμο να έχουμε και έναν τύπο, ο οποίος να εκφράζει τις λύσεις ενός γραμμικού συστήματος ως συνάρτηση των συντελεστών του.
Οι τύποι που θα βρούμε γενικεύουν τους τύπους που ήδη ξέρουμε για την περίπτωση ενός γραμμικού συστήματος 2 x 2.
Θα προχωρήσουμε στην αναζήτηση ενός τέτοιου τύπου που τα εργαλεία για την ανεύρεσή του είναι οι ορίζουσες.


Ορίζουσα ενός 2 x 2 πίνακα

Έστω ο πίνακας Εικόνα.

Ο αριθμός α11α22 − α21α12 λέγεται ορίζουσα του πίνακα Α και συμβολίζεται με |A| ή με

Εικόνα. Δηλαδή,

Εικόνα

Επειδή η ορίζουσα αυτή αντιστοιχεί σε έναν 2 x 2 πίνακα, λέγεται ορίζουσα 2ης τάξης.

Για παράδειγμα, η ορίζουσα

— του πίνακα είναι Εικόνα είναι | Α | = 3(−2) − (−1)2 = −6 + 2 = −4

— του πίνακα είναι Εικόνα είναι | Ι | = 1 − 0 = 1

— του πίνακα είναι Εικόνα είναι | Ο | = 0.

Ορίζουσα ενός 3 x 3 πίνακα

Η ορίζουσα ενός 3 x 3 πίνακα ορίζεται με την βοήθεια της ορίζουσας 2ης τάξης ως εξής :

Έστω o 3 x 3 πίνακας Εικόνα .

Ο αριθμός Εικόνα λέγεται ορίζουσα του πίνακα Α και συμβολίζεται με | Α | ή με Εικόνα .

Δηλαδή

Εικόνα

Επειδή η ορίζουσα αυτή αντιστοιχεί σε έναν πίνακα 3 x 3, λέγεται ορίζουσα 3ης τάξης.

Για παράδειγμα, αν Εικόνα , τότε

Εικόνα

Η παράσταση (1) με την οποία ορίζεται η | Α | λέγεται ανάπτυγμα της | Α | ως προς τα στοιχεία της πρώτης γραμμής.

Με εκτέλεση των πράξεων στο ανάπτυγμα αυτό έχουμε:

Εικόνα

H παράσταση (2) λέγεται ανάπτυγμα της | Α | ως προς τα στοιχεία της δεύτερης γραμμής.

Ομοίως, μπορούμε να διαπιστώσουμε ότι ισχύει και

Εικόνα

που λέγεται ανάπτυγμα | Α | ως προς τα στοιχεία της τρίτης γραμμής.

Παρατηρούμε ότι σε καθένα από τα αναπτύγματα της |Α|, κάθε στοιχείο α ij της αντίστοιχης γραμμής πολλαπλασιάζεται με την ορίζουσα 2ης τάξης του πίνακα που προκύπτει από τον Α, αν παραλείψουμε τη γραμμή και τη στήλη του στοιχείου α ij. Η ορίζουσα αυτή λέγεται ελλάσων ορίζουσα του στοιχείου α ijκαι συμβολίζεται με ij.

Παρατηρούμε επίσης ότι κάθε όρος ενός αναπτύγματος της | A | έχει πρόσημο + ή −, ίδιο με το πρόσημο του (−1) i+j. Το γινόμενο (−1) i+jij λέγεται αλγεβρικό συμπλήρωμα του στοιχείου α ij και συμβολίζεται με ij.

Δηλαδή

ij = (−1) i+jij


Με τους συμβολισμούς αυτούς τα αναπτύγματα (1), (2) και (3) γράφονται:

Εικόνα

Mε εκτέλεση των πράξεων προκύπτουν

Εικόνα

που είναι ανάπτυγμα της |Α| ως προς τα στοιχεία της 1ης, της 2ης και της 3ης στήλης αντιστοίχως.

ΠΑΡΑΤΗΡΗΣΗ

Στην πράξη το ανάπτυγμα που χρησιμοποιούμε για τον υπολογισμό μιας ορίζουσας είναι ως προς τη γραμμή ή στήλη που έχει τα περισσότερα μηδενικά.

Για παράδειγμα, αν Εικόνα , τότε

Εικόνα

Ορίζουσα ενός ν x ν πίνακα

Ορίσαμε μέχρι τώρα την ορίζουσα ενός 2 x 2 πίνακα και με τη βοήθειά της την ορίζουσα ενός 3 x 3 πίνακα.

Ορίζουμε επίσης ως ορίζουσα ενός πίνακα με ένα στοιχείο [α ij], να είναι το ίδιο το στοιχείο.

Γενικά, μπορούμε να ορίσουμε την ορίζουσα ν τάξης ν ≥ 3 με τη βοήθεια του ορισμού της ορίζουσας
ν−1 τάξης. Ένας τέτοιος ορισμός λέγεται ε π α γ ω γ ι κ ό ς.

Συγκεκριμένα, έστω ο ν x ν πίνακας

Εικόνα

Ονομάζουμε ορίζουσα του πίνακα Α και τη συμβολίζουμε με | Α | ή

Εικόνα

τον αριθμό

Εικόνα

όπου A ij = (−1) i+jij και M ij , η (ν−1) τάξης ορίζουσα του πίνακα που προκύπτει από τον Α, αν παραλείψουμε τη γραμμή και τη στήλη του στοιχείου α ij.

Όπως και στις ορίζουσες 3ης τάξης, η ορίζουσα M ij λέγεται ελάσσων ορίζουσα του στοιχείου α ij και το γινόμενο (−1) i+jijλέγεται αλγεβρικό συμπλήρωμα του στοιχείου α ij.

Η παράσταση α 11Α 11 + α 12Α 12 + ......+ α Α  με την οποία ορίσαμε την | Α | λέγεται, όπως και στις ορίζουσες 3ης τάξης, ανάπτυγμα της ορίζουσας κατά τα στοιχεία της 1ης γραμμής.

Αποδεικνύεται το επόμενο θεώρημα:

ΘΕΩΡΗΜΑ

Για οποιαδήποτε γραμμή i ή στήλη j ενός v x v πίνακα Α ισχύει:

  Εικόνα και  

Η παράσταση (α) λέγεται ανάπτυγμα της ορίζουσας ως προς τα στοιχεία της i γραμμής, ενώ η (β) ανάπτυγμα της ορίζουσας ως προς τα στοιχεία της j στήλης.

ΠΑΡΑΤΗΡΗΣΕΙΣ

1) Είναι φανερό ότι αν τα στοιχεία μιας γραμμής ή στήλης ενός πίνακα Α είναι όλα μηδέν, τότε | Α | = 0.

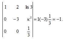
2) Αν ένας πίνακας είναι τριγωνικός άνω ή κάτω, τότε αποδεικνύεται ότι η ορίζουσά του είναι ίση με το γινόμενο των στοιχείων της κυρίας διαγωνίου.
Για παράδειγμα

Εικόνα

3) Αποδεικνύεται επίσης ότι, αν δύο γραμμές (δύο στήλες) ενός πίνακα είναι ίσες ή ανάλογες, τότε η ορίζουσα του πίνακα είναι ίση με μηδέν.
Για παράδειγμα,

Εικόνα

αφού Γ2 = 3 Γ1 .

ΕΦΑΡΜΟΓH

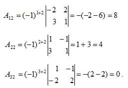
Να βρεθούν τα αλγεβρικά συμπληρώματα των στοιχείων της 2ης στήλης της ορίζουσας των πινάκων

Εικόνα

και στη συνέχεια να υπολογισθούν οι |Α|, |Β|.

ΛΥΣΗ

i) Έχουμε

Εικόνα

Επομένως, Εικόνα

ii) Έχουμε

Εικόνα

Επομένως, Εικόνα.

Επίλυση ν x ν γραμμικού συστήματος με τη μέθοδο του Cramer

Όπως είδαμε στα προηγούμενα, ένα γραμμικό μ x ν σύστημα μπορεί να έχει μοναδική λύση ή άπειρο πλήθος λύσεων ή να είναι αδύνατο. Στην ειδική περίπτωση που το σύστημα είναι ν x ν, το επόμενο θεώρημα, του οποίου η απόδειξη παραλείπεται, μας πληροφορεί πότε το σύστημα αυτό έχει μοναδική λύση και πότε έχει άπειρο πλήθος λύσεων ή είναι αδύνατο.

ΘΕΩΡΗΜΑ

Έστω το ν x ν γραμμικό σύστημα ΑΧ = Β.

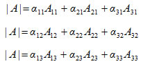
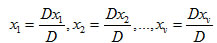
● Αν | Α | ≠ 0, τότε το σύστημα έχει μοναδική λύση την (x1, x2,.....,xν) με

Εικόνα

όπου D είναι η ορίζουσα | Α | των συντελεστών των αγνώστων και Dxi, i = 1, 2, 3,....,ν είναι η ορίζουσα που προκύπτει από την D αν αντικαταστήσουμε την i στήλη των συντελεστών του αγνώστου xi με τη στήλη των σταθερών όρων.

● Αν | Α | = 0, τότε το σύστημα ή είναι αδύνατο ή έχει άπειρο πλήθος λύσεων.

Από το θεώρημα αυτό προκύπτει ότι:

ΠΟΡΙΣΜΑ

Το ομογενές σύστημα ΑΧ = Ο

● έχει μόνο τη μηδενική λύση, αν και μόνο αν | Α | ≠ 0 .

● έχει και μη μηδενικές λύσεις (άπειρο πλήθος), αν και μόνο αν | Α | = 0

ΣΧΟΛΙΑ

1) Ένα ν x ν γραμμικό σύστημα AX = B με | A | ≠ 0, λέγεται και σύστημα Cramer, η δε επίλυση του συστήματος αυτού αναφέρεται και ως κανόνας του Cramer. Ο κανόνας του Cramer δεν είναι αποδοτική μέθοδος για να χρησιμοποιηθεί στη λύση συστημάτων με ένα μεγάλο αριθμό εξισώσεων, γιατί πρέπει να υπολογιστούν πολλές ορίζουσες μεγάλης τάξης. Γιαυτό στη συνέχεια με τον κανόνα αυτόν θα επιλύουμε μόνο 2 x 2 και 3 x 3 γραμμικά συστήματα.
Ως προς τους αριθμητικούς υπολογισμούς η μέθοδος επίλυσης συστήματος με τον αλγόριθμο του Gauss υπερτερεί του κανόνα του Cramer. Όμως, ο κανόνας του Cramer είναι ιδιαίτερα χρήσιμος σε θεωρητικά ζητήματα.

2) Για την επίλυση ενός ν x ν γραμμικού συστήματος AX = B με | A | = 0 εργαζόμαστε συνήθως με τη μέθοδο απαλοιφής του Gauss.

3) Αν ένα ν x ν γραμμικό σύστημα είναι ομογενές, τότε Dx1 = Dx2 =.....= Dxν = 0, αφού όλες οι ορίζουσες έχουν μια μηδενική στήλη.

 

ΕΦΑΡΜΟΓΕΣ

1. Nα λυθεί το σύστημα Εικόνα

ΛΥΣΗ

Έχουμε

Εικόνα

Επομένως, σύμφωνα με τον κανόνα του Cramer, είναι

Εικόνα

δηλαδή το σύστημα έχει τη μοναδική λύση Εικόνα

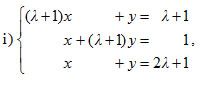
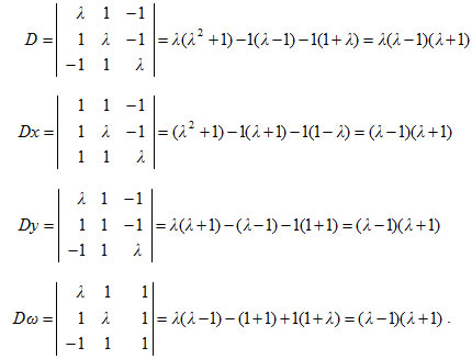
2. Να λυθεί το σύστημα Εικόνα

ΛΥΣΗ

Έχουμε

  Εικόνα

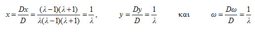
Οι τιμές της παραμέτρου λ που μηδενίζουν την ορίζουσα D = λ (λ1)(λ + 1) είναι οι 0,1, 1.

— Για λ ≠ 0 και λ ≠ 1 και λ ≠ 1 είναι D 0 και επομένως

Εικόνα

δηλαδή το σύστημα έχει τη μοναδική λύση Εικόνα.

— Για λ = 0, το σύστημα γίνεται Εικόνα. Αν προσθέσουμε κατά μέλη τις δύο τελευταίες εξισώσεις βρίσκουμε το σύστημα Εικόνατο οποίο προφανώς είναι αδύνατο.

— Για λ = 1, το σύστημα γίνεται

Εικόνα

Επομένως, το σύστημα έχει άπειρες λύσεις της μορφής (ω, 1, ω), ω ϵ R.

— Για λ = 1, το σύστημα γίνεται

Εικόνα

Επομένως, το σύστημα έχει άπειρες λύσεις της μορφής (y, y, 1), y ϵ R.

 

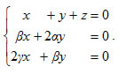
3. Να λυθεί το ομογενές σύστημα Εικόνα

ΛΥΣΗ

Έχουμε

Εικόνα

Οι τιμές της παραμέτρου λ που μηδενίζουν την ορίζουσα D είναι οι 1 και 2.

— Για λ ≠ 1 και λ ≠ 2 είναι D 0 και επομένως λύση τη μηδενική (0,0,0).

— Για λ = 1 το σύστημα γίνεται Εικόνα

και έχει άπειρες λύσεις της μορφής (yω, y, ω), y,ω ϵ R.

— Για λ = 2 το σύστημα γίνεται

Εικόνα

΄Αρα, το σύστημα έχει άπειρες λύσεις της μορφής (x,x,x) x ϵ R

ΑΣΚΗΣΕΙΣ

Α΄ ΟΜΑΔΑΣ

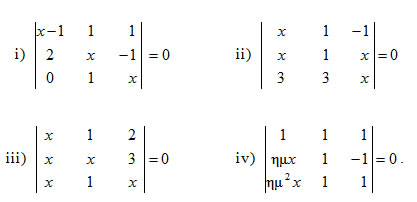
1. Να υπολογίσετε τις ορίζουσες

Εικόνα

2. Να λύσετε τις εξισώσεις:

Εικόνα

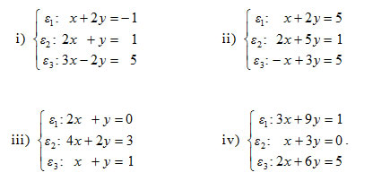
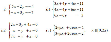
3. Να λύσετε τα συστήματα

Εικόνα

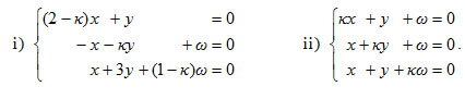
4. Nα βρείτε τις τιμές του κ ϵ R για τις οποίες τα παρακάτω συστήματα έχουν και μη μηδενικές λύσεις.

Εικόνα

 

Β΄ ΟΜΑΔΑΣ

 

1. Να λύσετε για τις διάφορες τιμές των κ, λ ϵ R τα συστήματα:

Εικόνα

 

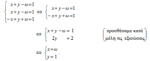
2. Να λύσετε το σύστημα:

Εικόνα

3. Να βρείτε τη σχετική θέση των ευθειών

Εικόνα

4. Θεωρούμε την εξίσωση αt2 + βt + γ = 0, α 0 και το σύστημα

Εικόνα

i) Να αποδείξετε ότι αν η εξίσωση έχει δύο ρίζες άνισες, τότε το σύστημα έχει μοναδική λύση. Να εξετάσετε αν ισχύει το αντίστροφο.

ii) Αν η εξίσωση έχει μια διπλή ρίζα, να εξετάσετε πόσες λύσεις έχει το σύστημα.

 

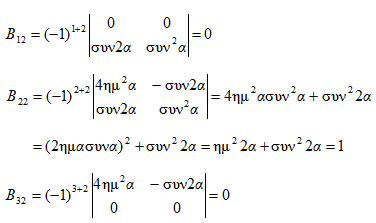
5. Αν για τους α, β, γ ϵ R υπάρχουν x, y, ω ϵ R, που δεν είναι όλοι μηδέν, τέτοιοι ώστε να ισχύει

x = γy + βω , y = αω + γx και ω = βx + αy

να αποδείξετε ότι

α2 + β2 + γ2 + 2αβγ = 1.

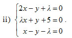
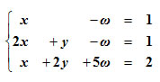
6. Να λύσετε τα συστήματα

Εικόνα λ ϵ R Εικόνα

 

7. Δίνεται ο πίνακας Εικόνα .
i) Να βρείτε τις τιμές του λ ϵ R για τις οποίες υπάρχει μη μηδενικός πίνακας Εικόνα τέτοιος, ώστε
ΑΧ = λΧ   (1).

ii) Για τις τιμές του λ που θα βρείτε να λύσετε την εξίσωση (1).