Μαθηματικά (Γ Λυκείου Θετικών Σπουδών / Οικονομίας & Πληροφορικής)- Βιβλίο Μαθητή
A1.5: Η ΕΝΝΟΙΑ ΤΟΥ ΓΡΑΜΜΙΚΟΥ ΣΥΣΤΗΜΑΤΟΣ A1.7: ΕΠΙΛΥΣΗ ΓΡΑΜΜΙΚΟΥ ΣΥΣΤΗΜΑΤΟΣ ΜΕ ΤΗ ΜΕΘΟΔΟ ΟΡΙΖΟΥΣΩΝ Επιστροφή στην αρχική σελίδα του μαθήματος

1.6 ΕΠΙΛΥΣΗ ΓΡΑΜΜΙΚΟΥ ΣΥΣΤΗΜΑΤΟΣ ΜΕ ΤΗ ΜΕΘΟΔΟ ΑΠΑΛΟΙΦΗΣ ΤΟΥ GAUSS

Aποδεικνύεται ότι, αν σε ένα γραμμικό σύστημα εφαρμόσουμε μια από τις επόμενες διαδικασίες, τότε προκύπτει ισοδύναμο σύστημα:

— Εναλλαγή της θέσης δύο εξισώσεων

— Πολλαπλασιασμός των μελών μιας εξίσωσης με ένα μη μηδενικό αριθμό.

— Πρόσθεση των μελών μιας εξίσωσης (πολλαπλασιασμένων με έναν αριθμό) στα μέλη μιας άλλης.

Έτσι, όταν έχουμε να λύσουμε ένα γραμμικό σύστημα προσπαθούμε, εφαρμόζοντας τις προηγούμενες διαδικασίες, να το μετασχηματίσουμε σε ένα άλλο ισοδύναμο σύστημα του οποίου η λύση να είναι προφανής.

Ας δούμε τώρα με ένα παράδειγμα πως εφαρμόζονται και πως συμβολίζονται οι τρεις αυτές διαδικασίες.

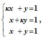
Έστω το γραμμικό σύστημα   Εικόνα
— Πολλαπλασιάζουμε τα μέλη της 1ης εξίσωσης Ε1 του (Σ1) με −2 και τα προσθέτουμε στα αντίστοιχα μέλη της 2ης εξίσωσης Ε2 του (Σ1) . Έτσι, απαλείφεται από την Ε2 ο άγνωστος x.

Εικόνα
Εικόνα
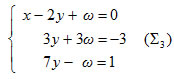
— Πολλαπλασιάζουμε τα μέλη της Ε1 του (Σ2) με −3 και τα προσθέτουμε στα μέλη της Ε3. ΄Ετσι, απαλείφεται από την Ε3 ο άγνωστος x.

Εικόνα
Εικόνα
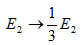
— Πολλαπλασιάζουμε τα μέλη της Ε2 του (Σ3) με 1/3. Έτσι, ο συντεστής του y γίνεται 1.
Εικόνα
Εικόνα

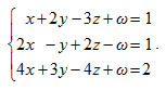
Συνεχίζουμε εφαρμόζοντας τις παραπάνω διαδικασίες που παριστάνουμε πλέον μόνο συμβολικά

Εικόνα

 

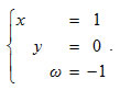
Επειδή το σύστημα (Σ9) είναι ισοδύναμο με το αρχικό σύστημα (Σ1), συμπεραίνουμε ότι η λύση του συστήματος είναι η τριάδα (1, 0, −1).
Μπορούμε να περιγράψουμε απλούστερα τη διαδικασία επίλυσης ενός μ x ν γραμμικού συστήματος, αν σκεφτούμε ως εξής: Αφού κάθε εξίσωση παριστάνεται με μια γραμμή του επαυξημένου πίνακα, αρκεί οι παραπάνω μετατροπές των εξισώσεων να γίνονται στις γραμμές Γ1, Γ 2 ,.....,Γ μ του επαυξημένου πίνακα.
Οι μετατροπές αυτές λέγονται γραμμοπράξεις και είναι οι εξής:

Γραμμοπράξη   Συμβολισμός
1. Εναλλαγή της θέσης δύο γραμμών   Εικόνα
2. Πολλαπλασιασμός μιας γραμμής με ένα μη μηδενικό αριθμό   Εικόνα
3. Πρόσθεση των στοιχείων μιας γραμμής, πολλαπλασιασμένων
με έναν αριθμό, στα αντίστοιχα στοιχεία μιας άλλης γραμμής.
  Εικόνα

Όταν έχουμε δύο πίνακες Α, Β που ο ένας προκύπτει από τον άλλο με γραμμοπράξεις, τότε οι πίνακες αυτοί λέγονται γραμμοϊσοδύναμοι ή απλώς ισοδύναμοι και γράφουμε Α~Β. Είναι προφανές ότι, αν οι επαυξημένοι πίνακες δύο συστημάτων είναι ισοδύναμοι, τότε και τα συστήματα είναι ισοδύναμα, αφού καθεμιά γραμμοπράξη ξεχωριστά οδηγεί σε σύστημα ισοδύναμο με το αρχικό. Έτσι, η επίλυση του προηγούμενου συστήματος μπορεί να γίνει ως εξής:

Εικόνα

Ο τελευταίος πίνακας αντιστοιχεί στο σύστημα Εικόνα

Επομένως, η λύση του συστήματος είναι η τριάδα (1, 0, −1) .
Παρατηρούμε ότι ο τελευταίος πίνακας των συντελεστών των αγνώστων είναι ο μοναδιαίος πίνακας 3x3. Έτσι μπορούμε να "διαβάσουμε" αμέσως τη λύση του συστήματος.
Για να απλοποιήσουμε και να συντομεύσουμε ακόμη περισσότερο τη διαδικασία επίλυσης ενός συστήματος, πολλές φορές στο ίδιο βήμα εφαρμόζουμε περισσότερες από μία γραμμοπράξεις.
Ας λύσουμε τώρα και το σύστημα

Εικόνα

Παίρνουμε τον επαυξημένο πίνακα και έχουμε διαδοχικά:

Εικόνα

Εικόνα

Έτσι το αρχικό σύστημα είναι ισοδύναμο με το σύστημα

Εικόνα

Λύνουμε την πρώτη εξίσωση ως προς έναν άγνωστο, π.χ. ως προς x1 (αυτό μας διευκολύνει, αφού ο συντελεστής του αγνώστου αυτού είναι 1) και έχουμε

Εικόνα

Επειδή ο άγνωστος x1 εκφράζεται ως συνάρτηση των x2, x3 αυτό σημαίνει ότι μπορούμε να επιλέξουμε αυθαιρέτως τις τιμές των x2, x3. Δηλαδή, το γραμμικό σύστημα έχει άπειρο πλήθος λύσεων, τις διατεταγμένες πεντάδες (3 − 2x2 + x3 , x2 , x3 , −1, 2) όπου οι x2, x3 μπορούν να πάρουν οποιεσδήποτε πραγματικές τιμές.
Π.χ. για x2 = 1, x3 = 0, έχουμε τη λύση (1, 1, 0, −1, 2) του συστήματος.
Ο τελευταίος από τους παραπάνω ισοδύναμους επαυξημένους πίνακες είναι, όπως λέμε, ένας ανηγμένος κλιμακωτός πίνακας. Γενικά, δίνουμε τον επόμενο ορισμό:

OΡΙΣΜΟΣ

Ένας μ x ν πίνακας λέγεται ανηγμένος κλιμακωτός (1) , αν ισχύουν συγχρόνως τα παρακάτω:

α) Οι μη μηδενικές γραμμές βρίσκονται πριν από τις μηδενικές.

β) Το πρώτο από αριστερά μη μηδενικό στοιχείο κάθε μη μηδενικής γραμμής είναι το 1 και βρίσκεται δεξιότερα του αντίστοιχου 1 της προηγούμενης γραμμής.

γ) Το πρώτο από αριστερά 1 κάθε μη μηδενικής γραμμής είναι και το μόνο μη μηδενικό στοιχείο της στήλης στην οποία ανήκει.


(1)
Ένας μ x ν πίνακας λέγεται, απλώς, κλιμακωτός , αν

α) Οι μη μηδενικές γραμμές βρίσκονται πριν από τις μηδενικές και

β) Το πρώτο από τα αριστερά μη μηδενικό στοιχείο κάθε γραμμής βρίσκεται δεξιότερα από το αντίστοιχο στοιχείο της προηγούμενης γραμμής, χωρίς να είναι κατανάγκη ίσο με 1.

Έτσι π.χ. οι πίνακες

Εικόνα

είναι ανηγμένοι κλιμακωτοί, ενώ οι πίνακες

Εικόνα

δεν είναι ανηγμένοι κλιμακωτοί.

Σχετικά με τους ανηγμένους κλιμακωτούς πίνακες ισχύει το παρακάτω θεώρημα.

ΘΕΩΡΗΜΑ

Κάθε πίνακας μετατρέπεται σε ανηγμένο κλιμακωτό πίνακα με την εκτέλεση ενός πεπερασμένου πλήθους γραμμοπράξεων.

Σύμφωνα με το θεώρημα αυτό κάθε πίνακας είναι ισοδύναμος με έναν ανηγμένο κλιμακωτό πίνακα. Μπορεί να αποδειχθεί ότι αυτός ο ανηγμένος κλιμακωτός πίνακας είναι και μοναδικός.
Ο παρακάτω αλγόριθμος μας δίνει μια μέθοδο με την οποία μπορούμε να βρίσκουμε κάθε φορά το μοναδικό αυτόν ανηγμένο κλιμακωτό πίνακα.

ΑΛΓΟΡΙΘΜΟΣ

ΒΗΜΑ 1ο: Βρίσκουμε την πρώτη στήλη του πίνακα που περιέχει μη μηδενικό στοιχείο.

ΒΗΜΑ 2ο: Μεταφέρουμε στον πίνακα πρώτη τη γραμμή που περιέχει μη μηδενικό στοιχείο της στήλης (γραμμοπράξη 1).

ΒΗΜΑ 3ο: Κάνουμε το μη μηδενικό στοιχείο της στήλης μονάδα (γραμμοπράξη 2).

ΒΗΜΑ 4ο: Κάνουμε όλα τα στοιχεία της στήλης που είναι κάτω από τη μονάδα μηδενικά (γραμμοπράξη 3).

ΒΗΜΑ 5ο: Αγνοούμε την πρώτη γραμμή του πίνακα και επαναλαμβάνουμε τα βήματα 1 έως 4 για τις επόμενες γραμμές του πίνακα. Αν όμως οι γραμμές που απέμειναν είναι μηδενικές, πηγαίνουμε στο 6ο βήμα.

ΒΗΜΑ 6ο: Από γραμμή σε γραμμή χρησιμοποιώντας το πρώτο από αριστερά 1 κάθε γραμμής και τη γραμμοπράξη 3 κάνουμε μηδέν όλα τα στοιχεία της στήλης στην οποία βρίσκεται η μονάδα αυτή.

Ο παραπάνω αλγόριθμος, που ονομάζεται και αλγόριθμος του Gauss, ολοκληρώνεται όταν σε κάθε μη μηδενική γραμμή του πίνακα το πρώτο από αριστερά 1 είναι και το μόνο μη μηδενικό στοιχείο της στήλης στην οποία ανήκει.

Έτσι για να λύσουμε ένα γραμμικό σύστημα με τον αλγόριθμο του Gauss, μετατρέπουμε τον επαυξημένο πίνακά του σε έναν ισοδύναμο ανηγμένο κλιμακωτό πίνακα.

Για παράδειγμα, ας λύσουμε το σύστημα

Εικόνα

Σχηματίζουμε τον επαυξημένο πίνακα του συστήματος

Εικόνα

και έχουμε διαδοχικά:

Εικόνα

 

Εικόνα

Ο τελευταίος πίνακας είναι ανηγμένος κλιμακωτός και αντιστοιχεί στο σύστημα

Εικόνα

που είναι ισοδύναμο με το σύστημα

Εικόνα

Επομένως, το σύστημα έχει άπειρο πλήθος λύσεων της μορφής

(1 + x2 , x2 , −1 + x4 , x4 ,1) x2 , x4 ϵ R

Ας λύσουμε τώρα και το σύστημα: Εικόνα

Σχηματίζουμε τον επαυξημένο πίνακα του συστήματος και έχουμε διαδοχικά:

Εικόνα

Από την 3η γραμμή του τελευταίου πίνακα έχουμε ότι 0x + 0y + 0z + 0ω = −1 ή 0 = −1, που σημαίνει ότι το σύστημα είναι αδύνατο. Γενικά,

Αν κατά την επίλυση ενός συστήματος με τη βοήθεια του επαυξημένου πίνακα παρουσιαστεί μια γραμμή της μορφής 0 0........0 | α, με α ≠0, τότε το σύστημα είναι αδύνατο.


ΣΧΟΛΙΟ

Από τα συστήματα που λύσαμε μέχρι τώρα, παρατηρούμε ότι, όσα από αυτά είναι συμβιβαστά, ή έχουν μία μοναδική λύση ή έχουν άπειρο πλήθος λύσεων. Δηλαδή, δεν εμφανίστηκε σύστημα που να έχει περισσότερες από μία αλλά πεπερασμένου πλήθους λύσεις. Αποδεικνύεται ότι αυτό ισχύει γενικά για τα γραμμικά συστήματα.

ΕΦΑΡΜΟΓH

Να λυθεί το σύστημα

Εικόνα  
κ ϵ R
 

ΛΥΣΗ

Σχηματίζουμε τον επαυξημένο πίνακα του συστήματος και έχουμε διαδοχικά:

Εικόνα

● Αν κ ≠1, τότε το σύστημα είναι αδύνατο.

● Αν κ = 1, τότε ο τελευταίος πίνακας γράφεται Εικόνα

Επομένως, το σύστημα ισοδυναμεί με την εξίσωση

x + y = 1 ⇔ y = 1 − x

και έτσι έχει άπειρο πλήθος λύσεων της μορφής (x ,1 − x),  x ϵ R.

ΑΣΚΗΣΕΙΣ

Α΄ ΟΜΑΔΑΣ

1. Να γράψετε τα συστήματα

Εικόνα

στη μορφή ΑΧ = Β, όπου Α ο πίνακας των συντελεστών των αγνώστων, Χ ο πίνακας των αγνώστων και Β ο πίνακας των σταθερών όρων.

2. Να γράψετε τα γραμμικά συστήματα που περιγράφουν οι ισότητες:

Εικόνα

Στη συνέχεια να γράψετε τους επαυξημένους πίνακες των συστημάτων αυτών.

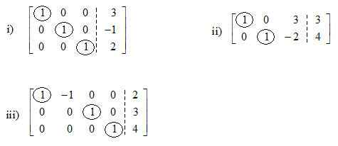
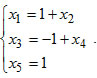
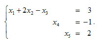
3. Να λύσετε τα συστήματα που αντιστοιχούν στους ανηγμένους κλιμακωτούς πίνακες:

Εικόνα

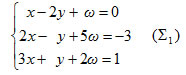
4. Mε τον αλγόριθμο του Gauss να λύσετε τα συστήματα:

Εικόνα

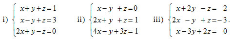
5. Oμοίως τα συστήματα:

Εικόνα

6. Ομοίως τα συστήματα:

Εικόνα

 

Β΄ ΟΜΑΔΑΣ

1. Να βρείτε τα α, β, γ ώστε το σύστημα Εικόνα να έχει ως λύση την (x, y, ω) = (1, −1, 1).

2. Να βρείτε την εξίσωση της παραβολής y = αx2 + βx + γ, α, β, γ ϵ R, που διέρχεται από τα σημεία (1,0), (2,0) και (−1,6).

3. Αν 0 < α, β, γ < π/2 και Εικόνα , να αποδείξετε ότι α = β = γ = π/3.

4. Αν Εικόνα , να λύσετε το γραμμικό σύστημα

ΑΧ = 4Χ.

5. Αν Εικόνα να βρείτε ολους τους πίνακες Χ για τους οποίους ισχύει:

ΑΧ = ΧΑ.

6. Να λύσετε τα συστήματα:

Εικόνα κ ϵ R