Μαθηματικά (Γ Λυκείου Θετικών Σπουδών / Οικονομίας & Πληροφορικής)- Βιβλίο Μαθητή
A1.7: ΕΠΙΛΥΣΗ ΓΡΑΜΜΙΚΟΥ ΣΥΣΤΗΜΑΤΟΣ ΜΕ ΤΗ ΜΕΘΟΔΟ ΟΡΙΖΟΥΣΩΝ A1: ΕΡΩΤΗΣΕΙΣ ΚΑΤΑΝΟΗΣΗΣ Επιστροφή στην αρχική σελίδα του μαθήματος

 

ΓΕΝΙΚΕΣ ΑΣΚΗΣΕΙΣ

 

Γ΄ ΟΜΑΔΑΣ

1. Δίνεται ο πίνακας

Εικόνα

Να αποδείξετε ότι

i) A(x) A(y) = A(x + y)

ii) [A(x)] −1 = A(x)

iii) [A(x)] ν = A (νx) για κάθε ν ϵ Ν *.

2. Δίνεται ο πίνακας   Εικόνα

i) Να αποδείξετε ότι Μ 3 = Ο και γενικά Μ ν = Ο για κάθε ν ≥ 3.

ii) Αν Α = αΜ 2 + αM + I και Β = α(α 1)Μ 2αM + I, α ϵ R, τότε να βρείτε το γινόμενο ΑΒ και να αποδείξετε ότι Β −1 = Α.

3. Αν Εικόνα τότε να αποδείξετε ότι:
i) J 2 = Ι

ii) Το άθροισμα και το γινόμενο πινάκων της μορφής αI + βJ, όπου α,β πραγματικοί αριθμοί είναι επίσης πίνακες της ίδιας μορφής.

iii) Ο πίνακας αI + βJ έχει αντίστροφο, αν και μόνο αν α 2 + β 2 ≠0.

4. Να αποδείξετε ότι η συμμετρία ως προς άξονα την ευθεία ε του διπλανού σχήματος είναι γραμμικός μετασχηματισμός με πίνακα Εικόνα
Εικόνα

Μπορείτε από τον πίνακα Α να βρείτε τους πίνακες των συμμετριών ως προς τον άξονα xʹx, τον άξονα yʹy, την ευθεία y = x και την ευθεία y = x ;

5. Έστω ο γραμμικός μετασχηματισμός

Εικόνα

i) Να αποδείξετε ότι ο Τ είναι συνάρτηση "11".

ii) Να βρείτε τον αντίστροφο του μετασχηματισμού Τ.

iii) Να βρείτε τους αντίστροφους μετασχηματισμούς των συμμετριών της στροφής και της ομοιοθεσίας.

6. Να λύσετε το σύστημα:

Εικόνα α, β ϵ R * .

7. Να λύσετε για τις διάφορες τιμές του α ϵ [0, π) το σύστημα:

Εικόνα

8. Να βρείτε για τις διάφορες τιμές του κ ϵ R τις σχετικές θέσεις των ευθειών

ε1: x + y = 1 , ε2 : x + y = κ ε3 : κx + y = 1

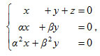
9. Να λύσετε το σύστημα:

Εικόνα λ ϵ R.

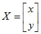
10. Έστω ο πίνακας Εικόνα. Αν υπάρχουν μη μηδενικός πίνακας Εικόνα και πραγματικός αριθμός λ τέτοιοι, ώστε να ισχύει ΑΧ = λΧ, να αποδείξετε ότι 2 ≤ α ≤ 2.

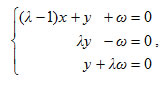
11. i) Να λύσετε το σύστημα:

Εικόνα λ ϵ R.

ii) Να βρείτε τις τιμές του λ για τις οποίες οι εξισώσεις:

Εικόνα

έχουν κοινή ρίζα. Ποια είναι η κοινή ρίζα σε κάθε μια περίπτωση;