Μαθηματικά (Γ Λυκείου Θετικών Σπουδών / Οικονομίας & Πληροφορικής)- Βιβλίο Μαθητή
A1.4: ΓΕΩΜΕΤΡΙΚΟΙ ΜΕΤΑΣΧΗΜΑΤΙΣΜΟΙ A1.6: ΕΠΙΛΥΣΗ ΓΡΑΜΜΙΚΟΥ ΣΥΣΤΗΜΑΤΟΣ ΜΕ ΤΗ ΜΕΘΟΔΟ ΑΠΑΛΟΙΦΗΣ ΤΟΥ GAUSS Επιστροφή στην αρχική σελίδα του μαθήματος

1.5 Η ΕΝΝΟΙΑ ΤΟΥ ΓΡΑΜΜΙΚΟΥ ΣΥΣΤΗΜΑΤΟΣ

● Κάθε εξίσωση της μορφής  α1x1 + α2x2 + .......+ανxν = β , όπου α1, α2 , ......., αν  β  είναι πραγματικοί αριθμοί και x1, x2 , ......., xν άγνωστοι, λέγεται γραμμική εξίσωση με ν αγνώστους. Οι αριθμοί α1, α2,.....,αν λέγονται συντελεστές των αγνώστων και ο β σταθερός όρος.

Για παράδειγμα, η εξίσωση x 3y = 3 είναι μια γραμμική εξίσωση με δύο αγνώστους. Επίσης, η Εικόναείναι γραμμική εξίσωση με τέσσερις αγνώστους, ενώ οι εξισώσεις 2x2 − y = 1 και Εικόνα δεν είναι γραμμικές.

Κάθε διατεταγμένη ν-άδα αριθμών (s1, s2 ,.....,sν) που επαληθεύει μια γραμμική εξίσωση με ν αγνώστους λέγεται λύση της εξίσωσης. Για παράδειγμα, η διατεταγμένη τριάδα (1, 0, 2) είναι λύση της εξίσωσης 3x2y + ω = 1, αφού 3(1) 2 • 0 + 2 = 3 + 2 = 1.

● Ένα πλήθος μ γραμμικών εξισώσεων με ν αγνώστους των οποίων ζητάμε τις κοινές λύσεις, λέγεται γραμμικό σύστημα μ εξισώσεων με ν αγνώστους ή απλούστερα μ x ν γραμμικό σύστημα.
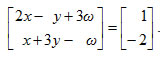
Για παράδειγμα, το

Εικόνα

είναι ένα 2 x 3 γραμμικό σύστημα.
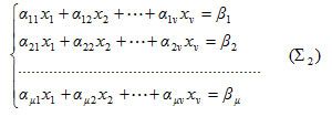
Γενικά, ένα γραμμικό σύστημα έχει τη μορφή

Εικόνα

Ο 1ος δείκτης i του συντελεστή α ij δείχνει την εξίσωση στην οποία ανήκει ο α ij , ενώ ο 2ος δείκτης  j δείχνει τον άγνωστο με τον οποίο πολλαπλασιάζεται ο α ij . Για παράδειγμα, ο α 32 είναι ο συντελεστής του αγνώστου x2στην τρίτη εξίσωση ενός συστήματος.
Κάθε διατεταγμένη ν-άδα αριθμών η οποια επαληθεύει όλες τις εξισώσεις ενός μ x ν γραμμικού συστήματος, λέγεται λύση του συστήματος. Για παράδειγμα, η διατεταγμένη τριάδα (1, 0, 1) είναι λύση του συστήματος (Σ1) , αφού 2(1) 0 + 3 • 1 = 1 και 1 + 3 • 0 1 = 2.
Η διαδικασία με την οποία βρίσκουμε τις λύσεις ενός συστήματος λέγεται επίλυση του συστήματος.
Ένα σύστημα που έχει μια τουλάχιστον λύση λέγεται συμβιβαστό, ενώ ένα σύστημα που δεν έχει καμία λύση λέγεται αδύνατο.
Τέλος, δύο γραμμικά συστήματα που έχουν τις ίδιες ακριβώς λύσεις λέγονται ισοδύναμα.

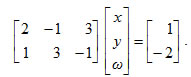
● Με τη βοήθεια των πινάκων το σύστημα (Σ1) γράφεται

Εικόνα
Το 1ο μέλος όμως της ισότητας αυτής είναι το γινόμενο του 2 x 3 πίνακα Εικόνα των συντελεστών των αγνώστων με τον 3 x 1 πίνακα στήλη Εικόνα των αγνώστων. Επομένως το σύστημα (Σ1) γράφεται
Εικόνα

Γενικότερα, το μ x ν γραμμικό σύστημα (Σ2) γράφεται

Εικόνα

Αν τώρα συμβολίσουμε με Α τον πίνακα των συντελεστών των αγνώστων, με Χ τον πίνακα-στήλη των αγνώστων και με Β τον πίνακα-στήλη των σταθερών όρων, τότε το (Σ2) γράφεται AX = B.

Αν οι σταθεροί όροι ενός γραμμικού συστήματος είναι όλοι ίσοι με το μηδέν, τότε το σύστημα λέγεται ομογενές και σύντομα γράφεται AX = O.

Τέλος ο πίνακας

Εικόνα

που αποτελείται από τον πίνακα Α των συντελεστών των αγνώστων, συμπληρωμένο με τη στήλη των σταθερών όρων λέγεται επαυξημένος πίνακας του συστήματος. Όπως θα δούμε στη συνέχεια, ο πίνακας αυτός παίζει σημαντικό ρόλο στην επίλυση του συστήματος. Η κατακόρυφη διακεκομμένη γραμμή στον επαυξημένο πίνακα προστίθεται απλώς για να ξεχωρίζει τη στήλη των σταθερών όρων.