Μαθηματικά (Γ Λυκείου Θετικών Σπουδών / Οικονομίας & Πληροφορικής)- Βιβλίο Μαθητή
A1.3: ΠΟΛΛΑΠΛΑΣΙΑΣΜΟΣ ΠΙΝΑΚΩΝ A1.5: Η ΕΝΝΟΙΑ ΤΟΥ ΓΡΑΜΜΙΚΟΥ ΣΥΣΤΗΜΑΤΟΣ Επιστροφή στην αρχική σελίδα του μαθήματος

1.4 ΓΕΩΜΕΤΡΙΚΟΙ ΜΕΤΑΣΧΗΜΑΤΙΣΜΟΙ

Η Έννοια του Γεωμετρικού Μετασχηματισμού

● Γνωρίζουμε από την Α΄ Λυκείου ότι συνάρτηση από ένα σύνολο Α σε ένα σύνολο Β είναι μια διαδικασία με την οποία κάθε στοιχείο του Α αντιστοιχίζεται σε ένα και μοναδικό στοιχείο του Β. Στην παράγραφο αυτή θα ασχοληθούμε με συναρτήσεις για τις οποίες τα Α και Β συμπίπτουν με το σύνολο Ԑ των σημείων ενός καρτεσιανού επιπέδου Oχy .

Οι συναρτήσεις αυτές λέγονται γεωμετρικοί μετασχηματισμοί στο επίπεδο ή, απλά, γεωμετρικοί μετασχηματισμοί. Δηλαδή, γεωμετρικός μετασχηματισμός είναι οποιαδήποτε συνάρτηση Εικόνα
T : ԐԐ .

Ως προς τη συνάρτηση αυτή η εικόνα, T(M), του σημείου M(x, y) θα συμβολίζεται με Mʹ(xʹ, yʹ).

Ένα παράδειγμα γεωμετρικού μετασχηματισμού είναι η συνάρτηση

T : ԐԐ

M(x, y) → Mʹ(x, y)

η οποία αντιστοιχίζει κάθε σημείο Μ στο συμμετρικό του Mʹ ως προς τον άξονα xʹx.

Εικόνα
 

● Στη συνέχεια θα ασχοληθούμε μόνο με τους γεωμετρικούς μετασχηματισμούς που απεικονίζουν τα σημεία M(x, y) στα Mʹ(xʹ, yʹ) των οποίων οι συντεταγμένες δίνονται από ένα σύστημα της μορφής

Εικόνα      

ή, ισοδύναμα, από μια εξίσωση της μορφής

Εικόνα        (1)

όπου α, β, γ, δ, μ, ν πραγματικοί αριθμοί. Αν μ = 0 και ν = 0 , τότε η εξίσωση (1) παίρνει τη μορφή

Εικόνα        (2)

Στην περίπτωση αυτή ο γεωμετρικός μετασχηματισμός λέγεται γραμμικός μετασχηματισμός και ο πίνακας Εικόνα λέγεται πίνακας του γραμμικού μετασχηματισμού.

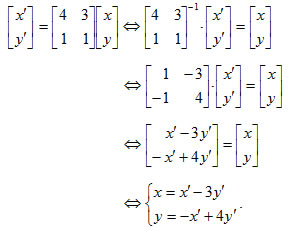
Για παράδειγμα, ο γεωμετρικός μετασχηματισμός που ορίζεται από το σύστημα Εικόναή, ισοδύναμα, από την εξίσωση Εικόνα είναι ένας γραμμικός μετασχηματισμός με πίνακα τον Εικόνα. Με αυτόν τον μετασχηματισμό το σημείο A(1, 2) απεικονίζεται στο Aʹ(13, 6) , ενώ το σημείο B(1, −2) στο Bʹ(1, −2) , δηλαδή στον εαυτό του.

Ας θεωρήσουμε τώρα το γραμμικό μετασχηματισμό

Εικόνα
και τα μοναδιαία διανύσματα Εικόνα και Εικόνα . Τότε, η εικόνα του πέρατος του διανύσματος Εικόνα έχει συντεταγμένες (α, γ), αφού Εικόνα
Εικόνα
ενώ η εικόνα του πέρατος B(0, 1) του διανύσματος Εικόνα έχει συντεταγμένες (β, δ), αφού
Εικόνα
 

Παρατηρούμε, δηλαδή, ότι:

Oι συντεταγμένες της εικόνας του πέρατος, Α(1, 0), του διανύσματος Εικόνα είναι η πρώτη στήλη, ενώ οι συντεταγμένες της εικόνας του πέρατος, Β(0, 1), του διανύσματος Εικόνα είναι η δεύτερη στήλη του πίνακα του γραμμικού μετασχηματισμού.


Για παράδειγμα, ο γραμμικός μετασχηματισμός, που απεικονίζει τα πέρατα Α(1, 0) και Β(0, 1) των διανυσμάτων Εικόνα και Εικόνα στα σημεία Aʹ(3,1) και Βʹ (1, 2) αντιστοίχως, έχει πίνακα Εικόνα

ΕΦΑΡΜΟΓΕΣ

1. Δίνεται ο γραμμικός μετασχηματισμός

Εικόνα

i) Να βρεθούν οι εικόνες Α(xʹ1 , 1) και B(xʹ2 , 2) των σημείων Α(x1 , y1) και B(x2 , y2) αντιστοίχως.

ii) Να αποδειχτεί ότι (AʹBʹ) = (AB).

ΛΥΣΗ

i) Έχουμε

Εικόνα

Επομένως, οι εικόνες των Α(x1 , y1) και B(x2 , y2) είναι τα σημεία Α(− y1 , x1) και B(− y2 , x2) αντιστοίχως.

ii) Είναι

Εικόνα

Παρατηρούμε ότι ο μετασχηματισμός αυτός διατηρεί τις αποστάσεις. Οι γραμμικοί μετασχηματισμοί που διατηρούν τις αποστάσεις λέγονται ισομετρίες.

2. Δίνεται ο γραμμικός μετασχηματισμός:

Εικόνα

Nα βρεθεί:

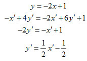
i) Το πρότυπο του σημείου (2, 0), δηλαδή το σημείο Α(x, y) που απεικονίζεται στο (2, 0) .

ii) Η εικόνα της ευθείας ε : y = 2x + 1.

 

ΛΥΣΗ

i) Ισχύει

Εικόνα

Επειδή ο πίνακας Εικόναείναι αντιστρέψιμος, πολλαπλασιάζουμε και τα δύο μέλη με τον αντίστροφό του, που είναι ο πίνακας Εικόνακαι έχουμε διαδοχικά:

Εικόνα

Άρα το σημείο Α έχει συντεταγμένες (2, 2).

ii) Αρκεί να βρούμε την εξίσωση η οποία επαληθεύεται από τις συντεταγμένες των εικόνων των σημείων της ευθείας ε και μόνο απ' αυτές. Πράγματι, έχουμε:

Εικόνα  
 
 
 
 
(1)

Eπομένως, αν το σημείο M(x, y) ανήκει στην ε, τότε θα ισχύει:

Εικόνα
Εικόνα

Άρα, το σημείο Μ(xʹ , yʹ) ανήκει στην ευθεία εʹ : y = 1/2 x − 1/2

Αλλά και αντιστρόφως, αν το σημείο Μ(xʹ , yʹ) ανήκει στην ευθεία εʹ : y = 1/2 x − 1/2, τότε το Μ(x , y) ανήκει στην ευθεία ε : y = − 2x + 1.

Συνεπώς, η εικόνα της ευθείας ε : y = − 2x + 1 είναι η ευθεία εʹ : y = 1/2 x − 1/2.

 

ΣΧΟΛΙΟ

Αποδεικνύεται ότι κάθε γραμμικός μετασχηματισμός, του οποίου ο πίνακας αντιστρέφεται, απεικονίζει:

— ευθείες σε ευθείες

— ευθύγραμμα τμήματα σε ευθύγραμμα τμήματα με άκρα τις εικόνες των άκρων

— πολύγωνα σε πολύγωνα με κορυφές τις εικόνες των κορυφών.

Για παράδειγμα, με το μετασχηματισμό

Εικόνα

το τρίγωνο ΑΒΓ με κορυφές Α(1,0) , Β( −1,3) και Γ(0,3) απεικονίζεται στο τρίγωνο Αʹ Βʹ Γʹ που έχει ως κορυφές τις εικόνες Αʹ(2,−1) , Βʹ(1,1) και Γʹ(3,0) των κορυφών του τριγώνου Α Β Γ.
Είναι βολικό, πολλές φορές, ένα πολύγωνο να το παριστάνουμε με τον πίνακα

Εικόνα

που έχει ως στήλες τις συντεταγμένες των κορυφών του. Τον πίνακα αυτόν θα τον λέμε πίνακα του πολυγώνου. Έτσι, ο πίνακας του ΑΒΓ είναι ο Εικόναενώ του Αʹ Βʹ Γʹ ο Εικόνα

Eίναι φανερό ότι

Εικόνα
Εικόνα

Άρα ο πίνακας του τριγώνου Αʹ Βʹ Γʹ προκύπτει αν πολλαπλασιάσουμε τον πίνακα του γραμμικού μετασχηματισμού με τον πίνακα του τριγώνου ΑΒΓ. Αυτό ισχύει και για οποιοδήποτε πολύγωνο.

Βασικοί γεωμετρικοί μετασχηματισμοί

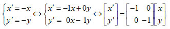
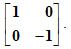
1. Συμμετρία ως προς την αρχή των αξόνων

Καλούμε συμμετρία ως προς την αρχή των αξόνων το γεωμετρικό εκείνο μετασχηματισμό με τον οποίο κάθε σημείο Μ(x,y) του καρτεσιανού επιπέδου απεικονίζεται στο συμμετρικό του Μ(xʹ,yʹ) ως προς την αρχή των αξόνων. Όπως γνωρίζουμε από την Α΄ Λυκείου ισχύει
Εικόνα
Εικόνα
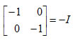
Άρα, η συμμετρία ως προς την αρχή των αξόνων είναι γραμμικός μετασχηματισμός με πίνακα

Εικόνα

2. Συμμετρία ως προς άξονα μια ευθεία ε.

Καλούμε συμμετρία ως προς άξονα μια ευθεία ε, το γεωμετρικό εκείνο μετασχηματισμό με τον οποίο κάθε σημείο Μ(x,y) του καρτεσιανού επιπέδου απεικονίζεται στο συμμετρικό του, Μ(xʹ,yʹ), ως προς την ευθεία ε.
Στην παράγραφο αυτή θα ασχοληθούμε με τη συμμετρία ως προς τον άξονα xʹx, τη συμμετρία ως προς τον άξονα yʹy και τη συμμετρία ως προς την ευθεία y = x.

Εικόνα

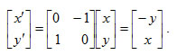
2α. Συμμετρία ως προς άξονα xʹx.

΄Οπως γνωρίζουμε από την Α΄ Λυκείου ισχύει:
Εικόνα
Εικόνα
Άρα, η συμμετρία ως προς τον άξονα xʹx είναι γραμμικός μετασχηματισμός με πίνακα Εικόνα

2β. Συμμετρία ως προς άξονα yʹy.

΄Οπως γνωρίζουμε από την Α΄ Λυκείου ισχύει:
Εικόνα
Εικόνα
Άρα, η συμμετρία ως προς τον άξονα yʹy είναι ένας γραμμικός μετασχηματισμός με πίνακα Εικόνα

2γ. Συμμετρία ως προς άξονα την ευθεία y = x.

΄Οπως γνωρίζουμε από την Α΄ Λυκείου ισχύει:
Εικόνα
Εικόνα
Άρα, η συμμετρία ως προς άξονα την ευθεία y = x είναι ένας γραμμικός μετασχηματισμός με πίνακα Εικόνα

Oι παραπάνω γραμμικοί μετασχηματισμοί είναι όλοι ισομετρίες .

3. Στροφή με κέντρο Ο και γωνία θ.

Έστω Οxy ένα σύστημα συντεταγμένων στο επίπεδο και θ μια θετική ή αρνητική γωνία. Καλούμε στροφή με κέντρο Ο και γωνία θ το γεωμετρικό εκείνο μετασχηματισμό με τον οποίο κάθε σημείο Μ(x,y) του επιπέδου αντιστοιχίζεται στο πέρας Μʹ(xʹ,yʹ), του διανύσματος Εικόνα που είναι η τελική θέση του Εικόνα, αν αυτό στραφεί γύρω από το Ο κατά γωνία θ. Αν φ είναι η γωνία που σχηματίζει το διάνυσμα Εικόναμε τον άξονα xʹx και ρ το μέτρο του διανύσματος Εικόνα, τότε θα ισχύει:
Εικόνα
Εικόνα

Έτσι, θα ισχύει

Εικόνα

Άρα, η στροφή με κέντρο Ο και γωνία θ είναι γραμμικός μετασχηματισμός με πίνακα ΕικόναΕιδικότερα:

α) Η στροφή με κέντρο Ο και γωνία θ = π/2 έχει πίνακα Εικόνα

β) Η στροφή με κέντρο Ο και γωνία θ = π έχει πίνακα Εικόνακαι είναι η συμμετρία ως προς την αρχή των αξόνων.

γ) Η στροφή με κέντρο Ο και θ = 3π/2 γωνία έχει πίνακα Εικόνα

δ) Τέλος, η στροφή με κέντρο Ο και γωνία θ = 2π έχει πίνακα Εικόνα και είναι η ταυτοτική απεικόνιση.

Εύκολα αποδεικνύεται ότι και η στροφή είναι μια ισομετρία.

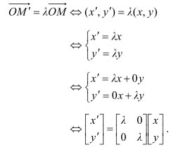
4. Ομοιοθεσία.

Καλούμε ομοιοθεσία με κέντρο την αρχή των αξόνων Ο και λόγο
λ ϵ R* το μετασχηματισμό με τον οποίο κάθε σημείο Μ(x,y) του επιπέδου αντιστοιχίζεται στο σημείο Μʹ(xʹ,yʹ) που ορίζεται από την ισότητα

Εικόνα

Επειδή Εικόνα και Εικόνα έχουμε :

Εικόνα

Εικόνα

Άρα,η ομοιοθεσία με κέντρο την αρχή των αξόνων και λόγο λ 0 είναι ένας γραμμικός μετασχηματισμός με πίνακα Εικόνα

ΜΝΗΜΟΝΙΚΟΣ ΚΑΝΟΝΑΣ

Για να θυμόμαστε τον πίνακα των παραπάνω γραμμικών μετασχηματισμών, αρκεί να θυμόμαστε ότι η πρώτη στήλη του είναι οι συντεταγμένες της εικόνας του σημείου Α(1, 0), ενώ η δεύτερη στήλη του είναι οι συντεταγμένες της εικόνας του Β(1,0). Για παράδειγμα, ο πίνακας της συμμετρίας ως προς τον άξονα xʹx είναι ο Εικόναπου έχει για πρώτη και δεύτερη στήλη τις συντεταγμένες των συμμετρικών ως προς τον άξονα xʹx των σημείων Α(1,0) και Β(0,1) αντιστοίχως.

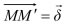
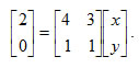
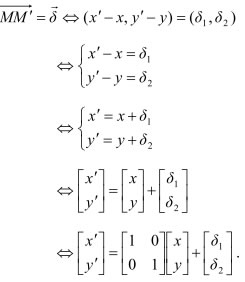
5. Παράλληλη μεταφορά.

Έστω Εικόνα ένα διάνυσμα του καρτεσιανού επιπέδου Οxy. Καλούμε παράλληλη μεταφορά κατά διάνυσμα Εικόνα το γεωμετρικό εκείνο μετασχηματισμό με τον οποίο κάθε σημείο Μ(x,y) του επιπέδου αντιστοιχίζεται στο σημείο Μʹ(xʹ,yʹ) που ορίζεται από την ισότητα Εικόνα(Σχ. 14).

Επειδή Εικόνα έχουμε

Εικόνα

Εικόνα

Άρα, η παράλληλη μεταφορά δεν είναι γραμμικός μετασχηματισμός.

 

ΕΦΑΡΜΟΓΕΣ

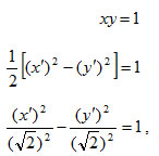
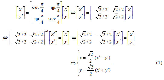
1. Έστω Τ ο μετασχηματισμός "στροφή με κέντρο Ο και γωνία θ = − π/4 ". Να βρεθεί η εικόνα Cʹ της καμπύλης C: y = 1/x ως προς το μετασχηματισμό Τ.

ΛΥΣΗ

Έστω Μ(x,y) ένα σημείο του επιπέδου και Μʹ(xʹ,yʹ) η εικόνα του ως προς το μετασχηματισμό Τ. Τότε θα ισχύει

Εικόνα

Επομένως, αν το Μ(x,y) ανήκει στην καμπύλη C, τότε θα ισχύει:

Εικόνα

Εικόνα

οπότε το σημείο Μʹ(xʹ,yʹ) θα είναι σημείο της ισοσκελούς υπερβολής

Εικόνα

Αλλά και αντιστρόφως, αν το Μʹ(xʹ,yʹ) ανήκει στην καμπύλη Cʹ, τότε το Μ(x,y) θα ανήκει στην C.

Άρα, η εικόνα της C: y = 1/x, ως προς τη στροφή με κέντρο Ο και γωνία θ = −π/4, είναι η υπερβολή Εικόνα Συνεπώς, η καμπύλη C: y = 1/x είναι μια υπερβολή που προκύπτει αν στρέψουμε την Cʹ κατά γωνία −θ = π/4 .

 

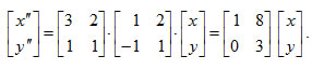
2. Έστω T1 και T2 οι γραμμικοί μετασχηματισμοί με πίνακες

Εικόνα

αντιστοίχως. Να βρεθεί ο πίνακας του γραμμικού μετασχηματισμού που προκύπτει, αν εφαρμόσουμε πρώτα τον T1 και έπειτα τον T2, δηλαδή του μετασχηματισμού T2 ○ T1.

ΛΥΣΗ

Έστω Μ(x,y) ένα σημείο του επιπέδου. Αν Μʹ(xʹ,yʹ) είναι η εικόνα του Μ μέσω του μετασχηματισμού T1 και Μʹʹ(xʹʹ,yʹʹ) η εικόνα του Μʹ μέσω του μετασχηματισμού T2, τότε θα ισχύει

Εικόνα

οπότε θα έχουμε

Εικόνα

Άρα, ο πίνακας του T2 ○ T1 είναι ο Εικόναπου είναι το γινόμενο Α 2 • Α 1 των πινάκων των μετασχηματισμών T2 και T1 . Γενικά:

"Αν Α 1 , Α 2 είναι πίνακες δύο γραμμικών μετασχηματισμών, Τ1 και Τ2 αντιστοίχως, τότε ο πίνακας του γραμμικού μετασχηματισμού T2 ○ T1 είναι ο Α 2 • Α 1, ενώ του T1 ○ T2  είναι ο Α 1 • Α 2".

ΑΣΚΗΣΕΙΣ

Α΄ ΟΜΑΔΑΣ

1. Να γράψετε τους πίνακες των γραμμικών μετασχηματισμών:

Εικόνα

και να βρείτε τις εικόνες των σημείων Α(1,0) και Β(0,1).

2. Να βρείτε το γραμμικό μετασχηματισμό που απεικονίζει τα πέρατα Α(1,0) και Β(0,1) των μοναδιαίων διανυσμάτων Εικόνα και Εικόνα στα σημεία (i) (1,2) και (−1,3) αντιστοίχως, (ii) (−1,1) και (2,1) αντιστοίχως.

3. Δίνεται ο γραμμικός μετασχηματισμός:

Εικόνα

Να βρείτε τις εικόνες των σημείων Ο(0,0) και Α(3,4) και στη συνέχεια να αποδείξετε ότι ο Τ δεν είναι ισομετρία.

4. Δίνεται ο γραμμικός μετασχηματισμός:

Εικόνα

i) Να βρείτε την εικόνα ΑʹΒʹΓʹΔʹ του τετραγώνου ΑΒΓΔ που έχει πίνακα Εικόνα .

ii) Να αποδείξετε ότι το ΑʹΒʹΓʹΔʹ είναι πλάγιο παραλληλόγραμμο.

5. Δίνεται ο μετασχηματισμός:

Εικόνα

Nα βρείτε

i) το πρότυπο του σημείου Αʹ(0,5)

ii) την εικόνα της ευθείας ε : y = x + 1

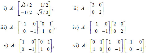
6. Τι παριστάνουν γεωμετρικά οι γραμμικοί μετασχηματισμοί που έχουν πίνακα:

Εικόνα


Β΄ ΟΜΑΔΑΣ

1. Δίνεται ο γραμμικός μετασχηματισμός:

Εικόνα

i) Να αποδείξετε ότι ο Τ απεικονίζει όλα τα σημεία του επιπέδου στην ευθεία ε : y = 2x.

ii) Nα βρείτε τα πρότυπα του σημείου O(0,0).

iii) Να αποδείξετε ότι το σημείο Aʹ(1,1) δεν έχει πρότυπο.

2. Δίνεται ο γραμμικός μετασχηματισμός:

Εικόνα

και δύο οποιαδήποτε σημεία Α(x 1 , y 1 ), B(x 2 , y 2 ) του επιπέδου. Να αποδείξετε ότι

i) O Τ δεν είναι ισομετρία, δηλαδή ότι (AʹBʹ) ≠ (AB).

ii) Ο Τ απεικονίζει το μέσο του ευθ. τμήματος ΑΒ στο μέσο της εικόνας του Aʹ.

iii) Το εμβαδόν του τριγώνου ΟΑΒ είναι ίσο με το εμβαδό της εικόνας του OʹAʹ.

3. Να βρείτε το γραμμικό μετασχηματισμό που απεικονίζει τα σημεία A(1,1) και B(1,−1) στα σημεία:

i) Aʹ(0,1) και Bʹ(2,1) αντιστοίχως.

ii) Aʹ(6,3) και Bʹ(2,1) αντιστοίχως.

Σε καθεμιά περίπτωση να βρείτε την εικόνα της ευθείας ε : y = −2x.


4. Να αποδείξετε ότι καθένας από τους παρακάτω γεωμετρικούς μετασχηματισμούς είναι γραμμικός μετασχηματισμός.

i) Η συμμετρία ως προς την ευθεία y = − x.

ii) Η προβολή πάνω στον άξονα xʹx.

iii) Η προβολή πάνω στον άξονα yʹy.

iv) Η προβολή πάνω στην ευθεία y = x.

Στη συνέχεια να βρείτε σε καθεμία περίπτωση την εικόνα του τετραγώνου ΟΑΓΒ με πίνακα Εικόνα και να επιβεβαιώσετε γεωμετρικά την απάντησή σας.


5. Δίνεται ο μετασχηματισμός Τ με πίνακα Εικόνα όπου α > β > 0.

i) Να αποδείξετε ότι η εικόνα του κύκλου C: x2 + y2 =1 είναι η έλλειψη Εικόνα

ii) Αφού βρείτε την εικόνα ΟʹΑʹΓʹΒʹ του τετραγώνου ΟΑΓΒ, που έχει πίνακα Εικόνα, να δείξετε ότι (ΟʹΑʹΓʹΒʹ) = αβ • (ΟΑΓΒ).