Μαθηματικά (Γ Λυκείου Θετικών Σπουδών / Οικονομίας & Πληροφορικής)- Βιβλίο Μαθητή
A1.2: ΠΡΟΣΘΕΣΗ ΠΙΝΑΚΩΝ - ΠΟΛΛΑΠΛΑΣΙΑΣΜΟΣ ΑΡΙΘΜΟΥ ΜΕ ΠΙΝΑΚΑ A1.4: ΓΕΩΜΕΤΡΙΚΟΙ ΜΕΤΑΣΧΗΜΑΤΙΣΜΟΙ Επιστροφή στην αρχική σελίδα του μαθήματος

1.3 ΠΟΛΛΑΠΛΑΣΙΑΣΜΟΣ ΠΙΝΑΚΩΝ

Ορισμός του γινομένου δύο πινάκων

Ας υποθέσουμε ότι για την κατασκευή δύο ειδών γλυκισμάτων Γ1 και Γ2   χρειαζόμαστε τα υλικά σε kg που φαίνονται στον παρακάτω 2 x 3 πίνακα:

Εικόνα

Έστω επίσης ότι το κόστος σε δρχ. των υλικών αυτών ανά κιλό, για τα έτη 1992 και 1993, είναι όπως δείχνει ο παρακάτω 3 x 2 πίνακας:

Εικόνα

Για να βρούμε το κόστος σε δραχμές των υλικών του γλυκίσματος Γ1 , πολλαπλασιάζουμε τις ποσότητες των υλικών με τις αντίστοιχες τιμές και προσθέτουμε τα γινόμενα αυτά. Δηλαδή το κόστος του Γ1 το 1992 ήταν

1,2 • 160 + 0,6 • 170 + 0,3 • 900 = 564

Η παραπάνω διαδικασία περιγράφεται με τη βοήθεια των πινάκων ως εξής:

Εικόνα

O πίνακας 1x1 [564] λέγεται γινόμενο της πρώτης γραμμής του Α επί την πρώτη στήλη του Β. Αναλόγως, το κόστος του Γ1 το 1993 ήταν

1,2 • 180 + 0,6 • 200 + 0,3 • 1200 = 696

Δηλαδή παριστάνεται με το γινόμενο της πρώτης γραμμής του Α επί την δεύτερη στήλη του Β

Εικόνα

Ομοίως, το κόστος του Γ2 το 1992 ήταν:

1,4 • 160 + 0,8 • 170 + 0,4 • 900 = 720   ή

Εικόνα

ενώ το 1993 ήταν:

1,4 • 180 + 0,8 • 200 + 0,4 • 1200 = 892   ή

Εικόνα

Ο πίνακας Εικόναδείχνει το κόστος των δύο γλυκισμάτων κατά τα έτη 1992 και 1993. Ο πίνακας Γ που προκύπτει με τον πιο πάνω τρόπο λέγεται γινόμενο του πίνακα Α με τον πίνακα Β και συμβολίζεται με A • B ή AB , δηλαδή

Εικόνα

Γενικά έχουμε τον ακόλουθο ορισμό:

OΡΙΣΜΟΣ

Αν Α = [α ik ] είναι ένας πίνακας μ x ν και B = [β kj ] είναι ένας ν x ρ πίνακας, τότε ορίζουμε ως γινόμενο του πίνακα Α με τον πίνακα Β και το συμβολίζουμε με A • B ή με ΑΒ τον μ x ρ πίνακα, του οποίου κάθε στοιχείο γij είναι το άθροισμα των γινομένων των ν στοιχείων της i -γραμμής του Α με τα αντίστοιχα ν στοιχεία της j -στήλης του Β. Δηλαδή,

Εικόνα

Σχηματικά

Εικόνα

Για παράδειγμα, το γινόμενο Εικόνα βρίσκεται ως εξής:

Εικόνα

Επομένως,

Εικόνα

Τονίζεται ότι το γινόμενο ΑΒ ορίζεται όταν ο αριθμός των στηλών του πίνακα Α είναι ίσος με τον αριθμό των γραμμών του πίνακα Β. Σχηματικά:

Εικόνα

Για παράδειγμα, αν Εικόνα

τότε, σύμφωνα με τον παραπάνω ορισμό, ορίζονται τα γινόμενα και είναι AB, BA, AΓ και είναι

Εικόνα

ενώ δεν ορίζονται τα γινόμενα ΒΓ, ΓΒ και ΓΑ.

 

Ιδιότητες του πολλαπλασιασμού των πινάκων

bullet Αν λ, μ είναι πραγματικοί αριθμοί και Α, Β είναι πίνακες, τότε ισχύουν οι παρακάτω ιδιότητες με την
προϋπόθεση οτι ορίζονται οι πράξεις που σημειώνονται.

Εικόνα

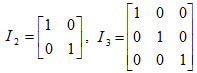
bullet Αν με Ιν συμβολίσουμε τον ν x ν διαγώνιο πίνακα Εικόνα του οποίου κάθε στοιχείο
της κυρίας διαγωνίου είναι ίσο με 1, τότε για κάθε τετραγωνικό ν x ν πίνακα Α ισχύει:

Α Ιν = Ιν Α = Α


O πίνακας αυτός λέγεται μοναδιαίος πίνακας.

Για παράδειγμα, οι πίνακες Εικόνα είναι μοναδιαίοι.

Τον πίνακα Ιν θα τον συμβολίζουμε απλούστερα με Ι, όταν είναι προφανής ο τύπος του.

Αν τώρα Α είναι ένας μ x ν πίνακας, τότε ισχύουν

Α Ιν = Α     και    Ιμ Α =Α .

Για παράδειγμα

Εικόνα

Η προσεταιριστική ιδιότητα μας επιτρέπει να γράφουμε ΑΒΓ για καθένα από τα ίσα γινόμενα Α(ΒΓ), (ΑΒ)Γ. Ομοίως, αν Α, Β, Γ, Δ είναι πίνακες τέτοιοι, ώστε να ορίζονται τα γινόμενα ΑΒ, ΒΓ, ΓΔ τότε έχουμε

Εικόνα

και μπορούμε να γράφουμε AΒΓΔ για καθένα από τα γινόμενα αυτά.
Γενικά, επειδή ισχύει η προσεταιριστική ιδιότητα, μπορεί να αποδειχτεί ότι όταν πολλαπλασιάζουμε έναν αριθμό πινάκων Α 1 , Α 2 ,......., Α ν το γινόμενο θα είναι το ίδιο κατά οποιονδήποτε τρόπο και αν εκτελεστεί ο πολλαπλασιασμός, χωρίς όμως να αλλάξει η σειρά των παραγόντων και συμβολίζεται με Α1 Α 2 .....Α ν.
Αν ο Α είναι ένας τετραγωνικός πίνακας, τότε ορίζονται τα γινόμενα ΑΑ, ΑΑΑ, ΑΑΑΑ, κτλ. και τα συμβολίζουμε με μορφή δυνάμεων ως εξής: Α 2 , Α 3 , Α 4 ,...., αντιστοίχως. Ορίζουμε επίσης Α 1 = A.
Αν p, q είναι θετικοί ακέραιοι, και κ πραγματικός αριθμός, αποδεικνύεται ότι:

Εικόνα

ΣΧΟΛΙΟ

Γνωρίζουμε ότι για τον πολλαπλασιασμό των πραγματικών αριθμών ισχύει, επιπλέον, και η αντιμεταθετική ιδιότητα. Δηλαδή, ισχύει α • β = β • α για οποιουσδήποτε α, β ϵ R. Η ιδιότητα, όμως, αυτή δεν ισχύει για τον πολλαπλασιασμό των πινάκων, αφού υπάρχουν πίνακες A, B με AB ≠BA. Για παράδειγμα, αν

Εικόνα τότε AB ≠BA , αφού:

Εικόνα ενώ Εικόνα

Επειδή, λοιπόν, δεν ισχύει η αντιμεταθετική ιδιότητα οι ισότητες:

Εικόνα

δεν ισχύουν πάντοτε. Στην περίπτωση, όμως, που ΑΒ = ΒΑ οι παραπάνω ισότητες ισχύουν.

ΕΦΑΡΜΟΓH

Δίνονται οι πίνακες Εικόνα Να αποδειχτεί ότι:

i) Α 2 = I,    B 2 = − I   και   Α 2B 2 = Ο  
ii) ΑΒ + ΒΑ = Ι
iii) (Α + Β) 2 Α 2B 22AB.

ΛΥΣΗ

i) Είναι Εικόνα
 

Άρα Α 2B 2 = Ο

ii) Είναι Εικόνα
 

Άρα ΑΒ + ΒΑ = Ι

iii) Είναι Εικόνα
 
Άρα (Α + Β) 2 Α 2B 22AB.


Αντιστρέψιμοι πίνακες

Γνωρίζουμε ότι για κάθε πραγματικό αριθμό α με α ≠0 υπάρχει ο αντίστροφός του,που συμβολίζεται
με 1/α ή α 1, για τον οποίο ισχύει αα 1 = α 1α = 1 .

Είναι λογικό τώρα να ρωτήσουμε: "Αν δοθεί ένας πίνακας Α μπορούμε να βρούμε έναν πίνακα Β τέτοιον ώστε να ισχύει ΑΒ = ΒΑ = Ι;"
Σύμφωνα με τον πολλαπλασιασμό που ορίσαμε μια τέτοια ερώτηση έχει νόημα μόνο αν ο Α είναι ένας τετραγωνικός πίνακας. Οδηγούμαστε έτσι στον εξής ορισμό:

OΡΙΣΜΟΣ

Έστω Α ένας τετραγωνικός πίνακας τύπου ν x ν. Αν υπάρχει τετραγωνικός πίνακας Β τύπου ν x ν, τέτοιος ώστε να ισχύει ΑΒ = ΒΑ = Ι, τότε ο Α λέγεται αντιστρέψιμος πίνακας και ο Β αντίστροφος του Α.

Αν ένας πίνακας Α έχει αντίστροφο, τότε αποδεικνύεται ότι αυτός είναι μοναδικός και συμβολίζεται με Α 1. Έτσι έχουμε:

ΑΑ 1 = Α 1Α = Ι

Για παράδειγμα, αν

Εικόνα

τότε έχουμε:

Εικόνα

Άρα, ο Β είναι ο αντίστροφος του Α.

Σύμφωνα με τον παραπάνω ορισμό, ο πίνακας Β είναι αντίστροφος του Α, όταν ΑΒ = Ι και ΒΑ = Ι.
Αποδεικνύεται, όμως, ότι:

ΘΕΩΡΗΜΑ

Αν για δυο πίνακες ισχύει μια από τις ισότητες

ΑΒ = Ι και ΒΑ = Ι ,
τότε θα ισχύει και η άλλη.

Με βάση αυτό το θεώρημα, για να αποδείξουμε ότι ένας ν x ν πίνακας Β είναι αντίστροφος ενός ν x ν πίνακα Α, αρκεί να αποδείξουμε μία μόνο από τις ισότητες ΑΒ = Ι και ΒΑ = Ι.

● Τέλος, αν ένας πίνακας Α είναι αντιστρέψιμος, τότε ισχύουν οι ισοδυναμίες:

(i) AX = B   ⇔ X = Α 1 B

(ii) XA = B  ⇔ X = B Α 1

Πράγματι, για την (i) έχουμε:

― Αν AX = B, τότε Α 1AX = Α 1 B, οπότε X = Α 1 B.

― Αν X =Α 1 B, τότε AX = A Α 1 B, οπότε AX = B.

Ομοίως αποδεικνύεται και η (ii).

ΣΧΟΛΙΟ

Γνωρίζουμε ότι για τον πολλαπλασιασμό των πραγματικών αριθμών ισχύει επιπλέον και η ιδιότητα:
"αν α • β = 0, τότε α = 0 ή β = 0". Η ιδιότητα, όμως, αυτή δεν ισχύει για τον πολλαπλασιασμό των πινάκων, αφού π.χ. για τους πίνακες

Εικόνα
ισχύει
 Εικόνα

χωρίς, ωστόσο, να είναι Α = Ο ή Β = Ο. Δηλαδή:

"Μπορεί ένα γινόμενο πινάκων να ισούται με το μηδενικό πίνακα, χωρίς κανένας να είναι μηδενικός".


Στην περίπτωση όμως που ισχύει ΑΒ = Ο και ο ένας από τους πίνακες είναι αντιστρέψιμος, τότε ο άλλος είναι μηδενικός. Πράγματι, αν ο Α είναι αντιστρέψιμος, τότε έχουμε διαδοχικά:

ΑΒ = Ο
Α 1 ΑB = Α 1 Ο
ΙΒ = Ο
Β = Ο

Aντίστροφος ενός πίνακα

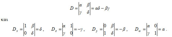
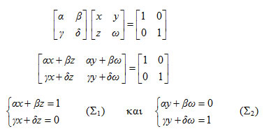
Έστω  Εικόνα ένας 2 x 2 πίνακας. Θα εξετάσουμε πότε αυτός αντιστρέφεται και θα βρούμε τον

τον αντίστροφό του. Για να αντιστρέφεται ο Α, πρέπει και αρκεί να υπάρχει πίνακας Εικόνα τέτοιος, ώστε να ισχύει ΑX = I ή, ισοδύναμα,

Εικόνα

Αρκεί, επομένως, τα συστήματα ( Σ 1) και ( Σ 2) να έχουν λύση. Τα συστήματα αυτά έχουν

Εικόνα

Επομένως:

● Aν D≠0 , τότε τα συστήματα ( Σ 1) και ( Σ 2) έχουν μοναδική λύση, οπότε ο πίνακας Α αντιστρέφεται. Η λύση του ( Σ 1) είναι το ζεύγος (x, z) με

Εικόνα

ενώ η λύση του ( Σ 2) είναι το ζεύγος (y, ω) με

Εικόνα

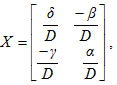
Άρα   Εικόνα οπότε ο αντίστροφος του Α είναι ο πίνακας

Εικόνα

● Aν D = 0 , τότε ένα τουλάχιστον από τα συστήματα ( Σ 1) και ( Σ 2) είναι αδύνατο, οπότε ο πίνακας Α δεν αντιστρέφεται. Πράγματι.

α) Αν Dx ≠0 ή Dy ≠0 ή Dz ≠0 ή Dω ≠0, τότε ένα τουλάχιστον από τα συστήματα ( Σ 1) και ( Σ 2) θα είναι αδύνατο.

β) Αν Dx = Dy = Dz = Dω = 0, τότε α = β = γ = δ = 0, οπότε και πάλι τα δύο συστήματα θα είναι αδύνατα.

Αποδείξαμε λοιπόν ότι:

Εικόνα

Για παράδειγμα:

Εικόνα

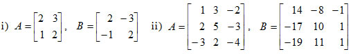
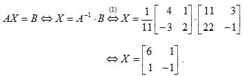
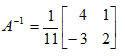
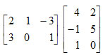
ΕΦΑΡΜΟΓH

Δίνονται οι πίνακες Εικόνα

i) Nα βρεθεί ο αντίστροφος του πίνακα Α

ii) Να λυθεί η εξίσωση ΑΧ = Β

ΛΥΣΗ

i) Για τον πίνακα Α έχουμε Εικόνα Άρα

Εικόνα

ii) Επειδή ο πίνακας Α είναι αντιστρέψιμος, έχουμε:

Εικόνα

ΑΣΚΗΣΕΙΣ

Α΄ ΟΜΑΔΑΣ

1. Nα βρείτε τα γινόμενα και σε όποιες από τις παρακάτω περιπτώσεις ορίζονται:

Εικόνα

2. Αν Εικόνα

Να βρείτε τους πίνακες:  i) AB    ii) ΑΒ Γ    iii) ΑΒΓ .

3. Tα στοιχεία για τις αμοιβές και τον αριθμό των εργατών σε δύο οικοδομικές εταιρείες Α και Β έχουν με μορφή πινάκων ως εξής:

Εικόνα

Να εκφράσετε με τη βοήθεια του πολλαπλασιασμού των πινάκων το σύνολο των αμοιβών των εργατών στις δύο εταιρείες.

4. Σε καθεμιά από τις παρακάτω περιπτώσεις να αποδείξετε ότι ο πίνακας Β είναι αντίστροφος του Α.

Εικόνα

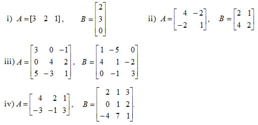
5. Να βρείτε τον αντίστροφο, εφόσον υπάρχει, καθενός από τους παρακάτω πίνακες:

Εικόνα

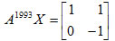
6. i) Να βρείτε τον αντίστροφο του πίνακα Εικόνα
  ii) Να λύσετε την εξίσωση: Εικόνα

 

B΄ ΟΜΑΔΑΣ
1. Αν Εικόνα τότε

i) Να βρείτε τις τιμές των x, y ϵ R για τις οποίες ισχύει Α 2 = xA + yI.

ii) Να υπολογίσετε τους πίνακες Α 3 και Α 4 .

2. Αν  Εικόνα να βρείτε τον πραγματικό αριθμό x, ώστε να ισχύει
Α 3 10Α xΙ = O.

3.  Να βρείτε τους πίνακες Εικόνα α, β ϵ R για τους οποίους ισχύει Χ 2 = I.

4. Αν  Εικόνα να αποδείξετε ότι:
i) A 2 = I,   B 2 = I ii) (A B) 2 = O,   (A + B) 2 = 4I
iii) A2 B 2 ≠(A + B) (A B  


5. Αν  Εικόνα να αποδείξετε ότι:

i) Ο πίνακας Α αντιστρέφεται και να βρείτε τον Α 1.

ii) (Α + Α 1 ) ν = 2 ν Ι,   ν ϵ Ν*.

6. Αν  Εικόνα τότε:

i) Να αποδείξετε ότι A2(x) = A(2x),    B 2(x) = A(2x)

ii) Να αποδείξετε ότι A2(x) + B 2(x) = O

iii) Να λύσετε την εξίσωση A2(x) B 2(x) = 2I.

7. Mια βιομηχανία επίπλων κουζίνας έχει δύο εργοστάσια E1 και E2. Οι πίνακες Μ και Ν δίνουν τις ώρες εργασίας που απαιτούνται για την κατασκευή κάθε επίπλου και τις ωριαίες αμοιβές του προσωπικού σε δραχμές αντιστοίχως.

Εικόνα

i) Να βρείτε τον πίνακα ΜΝ και να εξηγήσετε τι εκφράζει.

ii) Ποιο είναι το κόστος εργασίας για την παραγωγή μιας καρέκλας στο εργοστάσιο E1 και ενός πάγκου στο εργοστάσιο E2 ;

8. Αν  Εικόνα να αποδείξετε ότι:

i) Α 3 = Ο και γενικά Α ν = Ο,   ν ≥ 3

ii) Β 2 = Ι, Β 3 = Β και γενικά Εικόνα

9.  Δίνεται ο πίνακας Εικόνα

i) Να αποδείξετε ότι Α −1(x) = A(− x)

ii) Να λύσετε την εξίσωση Α (x) = I.

10. Αν  Εικόνα

i) Να αποδείξετε ότι Α (x)Α (y) = Α (x + y)

ii) Να βρείτε τη σχέση μεταξύ των x, y ώστε ο πίνακας Α (y) να είναι αντίστροφος του Α (x).

iii) Nα βρείτε τον αντίστροφο του πίνακα   Εικόνα

11. Αν  Εικόνα λ ϵ R , τότε

i) Να αποδείξετε ότι   Α 2 = Ι,   Α 3 = Α   και γενικά ότι

Εικόνα

ii) Αν λ = 2, να βρείτε τον πίνακα Χ για τον οποίο ισχύει

Εικόνα

iii) Να υπολογίσετε το άθροισμα Ι + Α + Α 2 +....+ Α 10.

12.  Δίνεται ο πίνακας Εικόνα

i) Να βρείτε τον αντίστροφο του πίνακα Α

ii) Να βρείτε τον πίνακα Χ σε κάθε μια από τις παρακάτω περιπτώσεις:

Εικόνα

13. Αν  Εικόνα τότε

i) Να αποδείξετε ότι Α 3 = − Ι και γενικά ότι

Εικόνα

ii) Να βρείτε τις πραγματικές τιμές του x για τις οποίες ισχύει

                     x 2 Α 1992 + (x + 2)1989 = O .