Μαθηματικά (Γ Λυκείου Θετικών Σπουδών / Οικονομίας & Πληροφορικής)- Βιβλίο Μαθητή
A1.1: Η ΕΝΝΟΙΑ ΤΟΥ ΠΙΝΑΚΑ A1.3: ΠΟΛΛΑΠΛΑΣΙΑΣΜΟΣ ΠΙΝΑΚΩΝ Επιστροφή στην αρχική σελίδα του μαθήματος

1.2 ΠΡΟΣΘΕΣΗ ΠΙΝΑΚΩΝ - ΠΟΛΛΑΠΛΑΣΙΑΣΜΟΣ ΑΡΙΘΜΟΥ ΜΕ ΠΙΝΑΚΑ

Πρόσθεση πινάκων

Μία εταιρεία πουλάει τηλεοράσεις, ψυγεία, κουζίνες και πλυντήρια σε Αθήνα, Θεσσαλονίκη και Πάτρα. Οι πωλήσεις τους μήνες Σεπτέμβριο και Οκτώβριο παρουσίασαν την εξής κίνηση:

Εικόνα

Επομένως, τους δυο αυτούς μήνες οι συνολικές πωλήσεις της εταιρείας ήταν οι εξής:

Εικόνα

Αν τώρα θεωρήσουμε τους πίνακες των παραπάνω πωλήσεων έχουμε:

Για το Σεπτέμβριο:  Εικόνα
Για τον Οκτώβριο: Εικόνα

και για τις συνολικές πωλήσεις:

Εικόνα

O πίνακας Γ λέγεται άθροισμα των πινάκων Α και Β και συμβολίζεται με A+B, δηλαδή Γ=Α+Β. Γενικά έχουμε τον ακόλουθο ορισμό:

ΟΡΙΣΜΟΣ

Άθροισμα δυο μ x ν πινάκων Α = [α i j] και Β = [ β i j] λέγεται ο μ x ν πίνακας του οποίου κάθε στοιχείο είναι το άθροισμα των αντίστοιχων στοιχείων των Α και Β. Ο πίνακας αυτός συμβολίζεται με Α + Β. Δηλαδή,

                                                Α + Β = [α i j + β i j ]

Δεν ορίζουμε άθροισμα πινάκων διαφορετικού τύπου.

Για παράδειγμα, οι πίνακες   Εικόνακαι Εικόνα που είναι του ίδιου τύπου 3x3, με βάση τον παραπάνω ορισμό, μπορούν να προστεθούν και το άθροισμά τους είναι

Εικόνα

ενώ οι πίνακες Εικόνα που δεν είναι του ίδιου τύπου δεν μπορούν να προστεθούν. Η πράξη με την οποία βρίσκουμε το άθροισμα δύο πινάκων λέγεται πρόσθεση πινάκων.

Ιδιότητες της πρόσθεσης των πινάκων

Η πρόσθεση των πινάκων έχει ιδιότητες ανάλογες με την πρόσθεση των πραγματικών αριθμών. Συγκεκριμένα:

bulletImage Αν Α, Β, Γ είναι μ x ν πίνακες, τότε

A + B = B + A  αντιμεταθετική
A + (B + Γ) = (A + B) + Γ προσεταιριστική

 

bulletImage Αν O είναι ο μ x ν πίνακας που όλα τα στοιχεία του είναι μηδέν, τότε για μ x ν
πίνακα Α ισχύει

Α + O = O + Α = Α

Ο πίνακας O λέγεται μηδενικός πίνακας.

Για παράδειγμα, οι πίνακες Εικόναείναι μηδενικοί.

bulletImage Αν με Α συμβολίσουμε τον πίνακα του οποίου όλα τα στοιχεία είναι αντίθετα
των αντίστοιχων στοιχείων ενός πίνακα Α, τότε ισχύει

Α + (Α) = (Α) + Α = O

Ο πίνακας Α λέγεται αντίθετος του πίνακα Α.

Για παράδειγμα, ο αντίθετος του πίνακα Εικόναείναι ο πίνακας Εικόνα

Η προσεταιριστική ιδιότητα μας επιτρέπει να γράφουμε Α + Β + Γ για καθένα από τα ίσα αθροίσματα Α + (Β + Γ), (Α + Β ) + Γ. Ομοίως, αν Α, Β, Γ, Δ, είναι πίνακες του ίδιου τύπου, τότε έχουμε:

Εικόνα

και επομένως, μπορούμε να γράφουμε Α + Β + Γ + Δ για καθένα από τα αθροίσματα αυτά. Γενικά, επειδή ισχύει η αντιμεταθετική και η προσεταιριστική ιδιότητα, μπορεί να αποδειχθεί ότι το άθροισμα τριών ή περισσοτέρων πινάκων Α 1 , Α 2 , Α 3 ,......., Α ν είναι το ίδιο κατά οποιονδήποτε τρόπο και αν εκτελεστεί η πρόσθεση και συμβολίζεται με Α 1 + Α 2 + Α 3 +.......+ Α ν.

Αφαίρεση πινάκων

Όπως και στην περίπτωση των πραγματικών αριθμών, έτσι και στους πίνακες η αφαίρεση ορίζεται με τη βοήθεια της πρόσθεσης. Συγκεκριμένα, αν A, B είναι δύο πίνακες μ x ν, τότε η διαφορά A − B ορίζεται ως εξής:

Α Β = Α + (Β)

Για παράδειγμα, αν Εικόνα τότε
Εικόνα

Δηλαδή, ο πίνακας Α − Β προκύπτει με αφαίρεση των στοιχείων του Β από τα αντίστοιχα στοιχεία του Α. Από τους παραπάνω ορισμούς της πρόσθεσης και της αφαίρεσης προκύπτει ότι:

X + B = A ⇔ X = A B

Πράγματι:

Αν X + B = A, τότε X + B B = A B, οπότε X = Α B, ενώ
Αν X = Α B, τότε X + B = A B + Β, οπότε X + Β = Α

Πολλαπλασιασμός αριθμού με πίνακα

Ο παρακάτω πίνακας Α περιγράφει τις τιμές πώλησης σε δραχμές τριών ηλεκτρικών ειδών μιας βιομηχανίας σε δύο υποκαταστήματα:

Εικόνα

Αν κατά την περίοδο των εκπτώσεων, ο βιομήχανος προτίθεται να κάνει έκπτωση 20% στα προϊόντα του, τότε πρέπει να διαμορφώσει τις νέες τιμές στο 80% των προηγουμένων. Οι νέες τιμές πώλησης θα προκύψουν αν πολλαπλασιάσουμε τις παλιές τιμές με 0,8, όπως φαίνεται στον παρακάτω πίνακα:

Εικόνα

Ο πίνακας Β λέγεται γινόμενο του αριθμού 0,8 με τον πίνακα Α και συμβολίζεται με Α•0,8 , δηλαδή είναι Β = 0,8Α. Γενικά, έχουμε τον ακόλουθο ορισμό:

OΡΙΣΜΟΣ

Γινόμενο ενός πραγματικού αριθμού λ με έναν πίνακα Α = [α i j] , λέγεται ο πίνακας που προκύπτει αν πολλαπλασιάσουμε κάθε στοιχείο του Α με λ. Ο πίνακας αυτός συμβολίζεται με λΑ ή λ Α . Δηλαδή,

                                                            λΑ = [λα i j]

Η πράξη με την οποία βρίσκουμε το γινόμενο αριθμού με πίνακα λέγεται πολλαπλασιασμός αριθμού με πίνακα.

Για παράδειγμα, το γινόμενο του αριθμού λ = −3 με τον πίνακα Εικόνα είναι
ο πίνακας: Εικόνα

Iδιότητες του πολλαπλασιασμού αριθμού με πίνακα

Αν Α, Β είναι μ x ν πίνακες και κ, λ πραγματικοί αριθμοί, τότε ισχύουν οι παρακάτω ιδιότητες, που είναι άμεση συνέπεια του ορισμού:

1. (κ + λ) Α = κΑ + λΑ
2. λ(Α + Β) = λΑ + λΒ
3. κ(λΑ) = (κλ)Α
4. 1Α = Α

Επιπλέον, ισχύει η ισοδυναμία:


λΑ = Ο  ⇔   λ = 0  ή   Α = Ο

ΕΦΑΡΜΟΓH

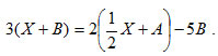
Nα βρεθεί ο πίνακας Χ για τον οποίο ισχύει:

Εικόνα

(Mια τέτοια ισότητα είναι μια ε ξ ί σ ω σ η  με  π ί ν α κ ε ς).

ΛΥΣΗ

Έχουμε :

Εικόνα

ΑΣΚΗΣΕΙΣ

Α΄ ΟΜΑΔΑΣ

1. Σε καθεμιά από τις παρακάτω περιπτώσεις, να βρείτε το άθροισμα A +B και την διαφορά A − B, εφόσον φυσικά ορίζονται:

Εικόνα
2. Αν είναι : Εικόνα
να βρείτε το άθροισμα Α 1 + Α 2 + Α 3 + Α 4.

3. Να βρείτε τα x, y, ω για τα οποία ισχύει η ισότητα:
  Εικόνα

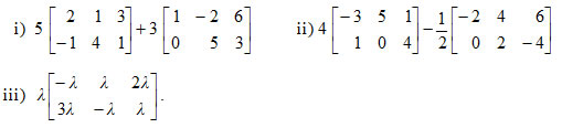
4. Να κάνετε τις πράξεις:
Εικόνα

5. Αν Εικόνα να βρείτε τους πίνακες:
Εικόνα

6. Να λύσετε τις εξισώσεις:
Εικόνα
7. Να αποδείξετε ότι το άθροισμα
  Εικόνα

είναι ένας διαγώνιος πίνακας.

8. Εικόνα να βρείτε τις τιμές των α, β, γ, δ,
ώστε να ισχύει:
    Εικόνα  


Β΄ ΟΜΑΔΑΣ

1. Να βρείτε τα x, y για τα οποία ισχύει:
  Εικόνα

2. Nα βρείτε τους πίνακες X, Y για τους οποίους ισχύει:

  Εικόνα

3. Αν Εικόνα να λύσετε την εξίσωση
  Εικόνα  

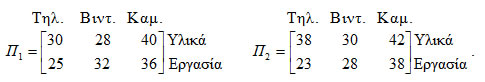
4. Μια βιομηχανία που κατασκευάζει τηλεοράσεις, βίντεο και κάμερες έχει δύο εργοστάσια παραγωγής Π1 και Π2 . Το κόστος παραγωγής ανά συσκευή δίνεται (σε χιλιάδες δρχ.) στους παρακάτω πίνακες:

  Εικόνα

Να βρείτε τον πίνακα  Εικόνα και να εξηγήσετε τι εκφράζει.

5. Μια βιομηχανία έχει τέσσερα εργοστάσια παραγωγής Π1 , Π2 , Π3 και Π4 , καθένα από τα οποία παράγει δύο προϊόντα Ε1και Ε2 . Το ημερήσιο επίπεδο παραγωγής σε μονάδες προϊόντων δίνεται στον επόμενο πίνακα:

Εικόνα

i) Nα βρείτε το ημερήσιο επίπεδο παραγωγής, αν αυτή αυξηθεί κατά 10%.

ii)Να βρείτε το σύνολο της παραγωγής ανά προϊόν σε 5 μήνες, αν υποτεθεί ότι τα εργοστάσια δούλεψαν 2 μήνες με το προηγούμενο επίπεδο και 3 μήνες με το νέο επίπεδο παραγωγής (1 μήνας = 30 μέρες).