Φυσική (Β Λυκείου Γενικής Παιδείας) - Βιβλίο Μαθητή
2.3 Κανόνες του Kirchhoff (Κίρχοφ) 2.5 Συνδεσμολογία αντιστατών (αντιστάσεων) Επιστροφή στην αρχική σελίδα του μαθήματος
Συνεχές ηλεκτρικό ρεύμα
 

 

2.4

Αντίσταση - Αντιστάτης

Αντίσταση αγωγού

Εικόνα 3.1-20. Ηλεκτρικό κύκλωμα με πηγή διακόπτη και μεταλλικό αγωγό.

Εικόνα 2.4-20.

Ηλεκτρικό κύκλωμα με πηγή διακόπτη και μεταλλικό αγωγό.

Συνεχές ηλεκτρικό ρεύμα

 

Θεωρούμε το κύκλωμα της εικόνας 20. Με το βολτόμετρο μετράμε την τάση που εφαρμόζεται στα άκρα του μεταλλικού αγωγού ΑΒ και με το αμπερόμετρο μετράμε την ένταση του ρεύματος που τον διαρρέει. Τα όργανα θεωρούνται ιδανικά. Μεταβάλλοντας την τιμή της τάσης V, παρατηρούμε ότι μεταβάλλεται η τιμή της έντασης I. Φροντίζουμε οι τιμές να είναι τέτοιες, ώστε να μη μεταβάλλεται η θερμοκρασία του αγωγού. Έτσι, έχουμε τον παρακάτω πίνακα τιμών και την αντίστοιχη χαρακτηριστική καμπύλη του αγωγού (εικ. 21).

V(V)

I(A)

V/I

0

0

-

5

0,2

25

10

0,4

25

15

0,6

25

20

0,8

25

Εικόνα 3.1-21. Χαρακτηριστική καμπύλη μεταλλικού αγωγού.

Εικόνα 2.4-21.

Χαρακτηριστική καμπύλη μεταλλικού αγωγού.

Παρατηρούμε ότι το πηλίκο V/I έχει σταθερή τιμή για τον αγωγό και ίση με 25. Επαναλαμβάνουμε το πείραμα και με άλλους μεταλλικούς αγωγούς και καταλήγουμε πάντα στο ίδιο συμπέρασμα, ότι το πηλίκο V/I έχει σταθερή τιμή, χαρακτηριστική για τον κάθε αγωγό. Το πηλίκο αυτό το ονομάζουμε αντίσταση του αγωγού.

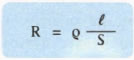
Αντίσταση R ενός αγωγού ονομάζουμε το μονόμετρο μέγεθος, που ισούται με το πηλίκο της τάσης V, που εφαρμόζεται στα άκρα του, προς την ένταση του ρεύματος που τον διαρρέει. Δηλαδή:

 

R = VI

 

(3)

 

Στο διεθνές σύστημα μονάδων (S.I.) μονάδα μέτρησης της αντίστασης είναι το 1Ω (Ohm).

 

Είναι:     1Ω = 1V1A     ή     (1Ohm =    1Volt   1Ampère)

 Εικόνα
Συνεχές ηλεκτρικό ρεύμα
 

Εικόνα 3.1-22. Αντιστάτης.

Εικόνα 2.4-22.

Αντιστάτης.

 

Εικόνα 3.1-23. Χαρακτηριστική καμπύλη αντιστάτη.

Εικόνα 2.4-23.

Χαρακτηριστική καμπύλη αντιστάτη.

 

1Ω (Ohm) είναι η αντίσταση ενός αγωγού, ο οποίος διαρρέεται από ηλεκτρικό ρεύμα έντασης 1Α, όταν στα άκρατου εφαρμόζεται τάση 1V.

 

Τι εκφράζει η αντίσταση ενός αγωγού;

Η αντίσταση ενός αγωγού εκφράζει τη δυσκολία που συναντά το ηλεκτρικό ρεύμα, όταν διέρχεται μέσα απ' αυτόν.

 

Πού οφείλεται η αντίσταση των μεταλλικών αγωγών;

Η αντίσταση των μεταλλικών αγωγών οφείλεται στις «συγκρούσεις» των ελευθέρων ηλεκτρονίων με τα θετικά ιόντα.

 

Εδώ, πρέπει να τονίσουμε ότι με τον όρο αντίσταση ή ωμική αντίσταση εκφράζουμε τη δυσκολία που συναντά το ηλεκτρικό ρεύμα, όταν διέρχεται μέσα από τον μεταλλικό αγωγό. Ο ίδιος ο μεταλλικός αγωγός λέγεται αντιστάτης. Όμως, πολλές φορές, για χάρη συντομίας, χρησιμοποιούμε τον όρο αντίσταση ή ωμική αντίσταση και εννοούμε τον ίδιο το μεταλλικό αγωγό. Παραδείγματος χάρη, λέμε «στα άκρα μιας αντίστασης 5Ω» και εννοούμε «στα άκρα ενός αντιστάτη, που έχει αντίσταση 5Ω».

Νόμος του Ohm για αντιστάτη

Για τον αντιστάτη της εικόνας 20 διαπιστώσαμε πειραματικά ότι ισχύει:

R = VI = σταθερό

H σχέση αυτή γράφεται ως εξής:

I = VR   με   R = σταθερό

(4)

Η παραπάνω σχέση αποτελεί τη μαθηματική έκφραση του νόμου του Ohm για αντιστάτη (μεταλλικό αγωγό) ο οποίος διατυπώνεται ως εξής:

Η ένταση του ρεύματος που διαρρέει έναν αντιστάτη (μεταλλικό αγωγό) σταθερής θερμοκρασίας είναι ανάλογη της τάσης που εφαρμόζεται στα άκρα του.

Η χαρακτηριστική καμπύλη του αντιστάτη, δηλαδή η γραφική παράσταση της έντασης του ρεύματος ως συνάρτηση της τάσης, φαίνεται στην εικόνα 23.

Πρέπει να τονίσουμε ότι ο νόμος του Ohm δεν είναι γενικός νόμος για όλους τους αγωγούς. Στις λυχνίες αερίου, στις λυχνίες κενού, στα τρανζίστορ, στους ηλεκτρικούς κινητήρες και σε άλλα ηλεκτρονικά στοιχεία δεν ισχύει ο νόμος του Ohm.

Συνεχές ηλεκτρικό ρεύμα
 

Παράδειγμα 2

Η τάση στα άκρα ενός μεταλλικού αγωγού είναι V = 100V και η αντίστασή του R = 10Ω. Να βρεθεί η ένταση I του ρεύματος που τον διαρρέει.

 

Λύση

Από το νόμο του Ohm έχουμε:

I = VR ⇒ I = 100V10Ω ⇒ I = 10A

Παράγοντες από τους οποίους εξαρτάται η αντίσταση ενός αντιστάτη

α) Στο κύκλωμα της εικόνας 20, στη θέση του μεταλλικού αγωγού ΑΒ συνδέουμε διαδοχικά δύο χάλκινους αγωγούς, ίδιου εμβαδού διατομής S, με μήκη Εικόνα και Εικόνα αντίστοιχα (εικ. 24). Μετράμε τις αντιστάσεις τους και διαπιστώνουμε ότι ο δεύτερος έχει διπλάσια αντίσταση από τον πρώτο. Άρα, η αντίσταση είναι ανάλογη του μήκους Εικόνα του αγωγού. Η διαπίστωση αυτή είναι αναμενόμενη, γιατί όσο μεγαλύτερο είναι το μήκος του αγωγού, τόσο περισσότερες είναι οι συγκρούσεις των ελευθέρων ηλεκτρονίων με τα θετικά ιόντα, άρα τόσο μεγαλύτερη είναι η αντίσταση του αγωγού.

β) Στο κύκλωμα της εικόνας 20, στη θέση του μεταλλικού αγωγού ΑΒ συνδέουμε διαδοχικά δύο χάλκινους αγωγούς, ίδιου μήκους, με εμβαδά διατομής S και 2S αντίστοιχα (εικ. 25). Μετράμε τις αντιστάσεις τους και διαπιστώνουμε ότι ο δεύτερος έχει τη μισή αντίσταση από τον πρώτο. Άρα, η αντίσταση είναι αντιστρόφως ανάλογη του εμβαδού S της διατομής του αγωγού. Η διαπίστωση αυτή είναι αναμενόμενη, γιατί όσο μεγαλύτερο είναι το εμβαδό διατομής του αγωγού, τόσο λιγότερες είναι οι συγκρούσεις των ελευθέρων ηλεκτρονίων με τα θετικά ιόντα, άρα τόσο μικρότερη είναι η αντίσταση του αγωγού.

γ) Στο κύκλωμα της εικόνας 20 στη θέση του μεταλλικού αγωγού ΑΒ συνδέουμε διαδοχικά δύο αγωγούς ίδιου μήκους Εικόνα και ίδιου εμβαδού διατομής S, ένα χάλκινο και ένα σιδερένιο (εικ. 26). Μετράμε τις αντιστάσεις τους και διαπιστώνουμε ότι ο σιδερένιος έχει μεγαλύτερη αντίσταση από τον χάλκινο. Άρα, η αντίσταση εξαρτάται από το υλικό του αγωγού. Αυτό συμβαίνει γιατί το μεταλλικό πλέγμα του χάλκινου αγωγού είναι διαφορετικό από το μεταλλικό πλέγμα του σιδερένιου αγωγού, άρα και ο αριθμός των συγκρούσεων των ελευθέρων ηλεκτρονίων με τα θετικά ιόντα είναι διαφορετικός, άρα και η αντίσταση του αγωγού είναι διαφορετική.

 

Εικόνα 3.1-24. H αντίσταση είναι ανάλογη του μήκους του αγωγού.

Εικόνα 2.4-24.

H αντίσταση είναι ανάλογη του μήκους του αγωγού.

 

xΕικόνα 3.1-25. H αντίσταση είναι αντιστρόφως ανάλογη του εμβαδού διατομής του αγωγού.

Εικόνα 2.4-25.

H αντίσταση είναι αντιστρόφως ανάλογη του εμβαδού διατομής του αγωγού.

 

Εικόνα 3.1-26. H αντίσταση εξαρτάται από το υλικό του αγωγού.

Εικόνα 2.4-26.

H αντίσταση εξαρτάται από το υλικό του αγωγού.

Συνεχές ηλεκτρικό ρεύμα
 

Εικόνα 3.1-27. H αντίσταση εξαρτάται από τη θερμοκρασία του αγωγού.

Εικόνα 2.4-27.

H αντίσταση εξαρτάται από τη θερμοκρασία του αγωγού.

 

δ) Στο κύκλωμα της εικόνας 20, θερμαίνουμε το μεταλλικό αγωγό ΑΒ, μετράμε την αντίσταση του και διαπιστώνουμε ότι αυτή αυξάνεται. Άρα, η αντίσταση εξαρτάται από τη θερμοκρασία του αγωγού. Είναι λογικό, γιατί, όπως έχουμε πει, τα θετικά ιόντα δεν είναι ακίνητα, αλλά ταλαντώνονται γύρω από καθορισμένες θέσεις προς όλες τις κατευθύνσεις, με πλάτος που αυξάνεται με τη θερμοκρασία. Η αύξηση του πλάτους με τη θερμοκρασία αυξάνει τον αριθμό των συγκρούσεων των ελευθέρων ηλεκτρονίων με τα θετικά ιόντα, άρα και την αντίσταση του μεταλλικού αγωγού (εικ. 27).

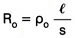
Το μέγεθος που εκφράζει ποσοτικά την εξάρτηση της αντίστασης ενός αγωγού από το υλικό του αγωγού και τη θερμοκρασία συμβολίζεται με ρ και ονομάζεται ειδική αντίσταση του υλικού. Η μονάδα μέτρησής της στο S.I. είναι το 1Ω·m.

 

Συνεπώς, η αντίσταση R ενός αγωγού, που έχει τη μορφή κυλινδρικού σύρματος,

α) είναι ανάλογη του μήκους Εικόνα του αγωγού

β) είναι αντιστρόφως ανάλογη του εμβαδού S της διατομής του αγωγού

γ) εξαρτάται από το υλικό του αγωγού και τη θερμοκρασία του.

 

Η σχέση που συνδέει όλες τις παραπάνω πειραματικές διαπιστώσεις είναι:

 

Εικόνα

(5)

 

Στον παρακάτω πίνακα αναγράφονται οι τιμές των ειδικών αντιστάσεων διαφόρων υλικών σε Ω·m.

 
 

Ειδική αντίσταση (ρ) μερικών υλικών

 

Υλικό

 

Ειδική αντίσταση (ρ)

σε Ωm στους 20 oC

 

Μέταλλα

   

Άργυρος 

 

1,6·10-8

Χαλκός 

 

1,7·10-8

Σίδηρος 

 

9,5·10-8

Υδράργυρος 

 
 

96·10-8

 

Κράματα 

   

Κονσταντάνη 

(Cu, Ni)

 
 

50·10-8

 
Συνεχές ηλεκτρικό ρεύμα
 
 

Χρωμονικελίνη 

(Ni, Fe, Cr, Mn)

 
 

100·10-8

Μαγγανίνη 

(Cu, Mn, Ni)

 
 

42·10-8

Ημιαγωγοί 

   

Πυρίτιο 

 

περίπου 1000 

Γερμάνιο 

 
 

περίπου 0,5 

 

Διηλεκτρικά 

   

Γυαλί 

 

1012 ως 1015

Ξύλο 

 
 

108 ως 1012

 

Ανθρώπινο σώμα 

   

Πνεύμονας 

 

20 

Λίπος 

 

25 

Σκελετός 

 
 

5 

 
 

Από τον πίνακα φαίνεται ότι τη μικρότερη ειδική αντίσταση την έχει ο άργυρος και ο χαλκός. Γι' αυτό, τα σύρματα που χρησιμοποιούμε συνήθως είναι χάλκινα, αφού ο άργυρος είναι ακριβός.

H ειδική αντίσταση ως συνάρτηση της θερμοκρασίας δίνεται από τη σχέση:

 

ρθ = ρ0·(1 + α·θ)

(6)

 

όπου ρ0 η ειδική αντίσταση σε θερμοκρασία 0 oC, ρθ η ειδική αντίσταση σε θ oC και α μια σταθερά που λέγεται θερμικός συντελεστής ειδικής αντίστασης. Η σταθερά αυτή εξαρτάται από το υλικό του αγωγού και μετριέται σε grad-1.

Για τα καθαρά μέταλλα (π.χ. Fe, Εικόνα, Cu, Ag) είναι α > 0, συνεπώς η ειδική αντίσταση αυξάνεται, όταν αυξάνεται η θερμοκρασία.

Για το γραφίτη (C), τους ημιαγωγούς (Ge, Si) και τους ηλεκτρολύτες είναι α < 0, συνεπώς, η ειδική αντίσταση μειώνεται, όταν αυξάνεται η θερμοκρασία.

Για ορισμένα κράματα, όπως η κονσταντάνη (Cu, Ni), η μαγγανίνη (Cu, Μn, Νi) και η χρωμονικελίνη, (Ni, Fe, Cr, Μn) είναι α = 0, συνεπώς η ειδική αντίσταση είναι ανεξάρτητη της θερμοκρασίας.

Στον παρακάτω πίνακα αναγράφονται οι τιμές του θερμικού συντελεστή ειδικής αντίστασης διαφόρων υλικών.

 

Με κριτήριο την τιμή της ειδικής αντίστασης τα υλικά κατατάσσονται σε αγωγούς, ημιαγωγούς και μονωτές

Συνεχές ηλεκτρικό ρεύμα
 

Εικόνα 3.1-28. Εξάρτηση της αντίστασης από τη θερμοκρασία.

Εικόνα 2.4-28.

Εξάρτηση της αντίστασης από τη θερμοκρασία.

 

Υλικό

Θερμικός συντελεστής α (grad-1)

 

άργυρος 

χαλκός 

σίδηρος 

κράματα 

γραφίτης 

 
 

3,8·10-3

3,9·10-3

5·10-3

0 

-0,5·10-3

 
 

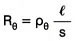
Av θεωρήσουμε αμελητέα τη μεταβολή των γεωμετρικών διαστάσεων ενός αγωγού λόγω της θερμικής διαστολής, τότε η μεταβολή της αντίστασης του αγωγού με τη θερμοκρασία οφείλεται αποκλειστικά στη μεταβολή της ειδικής του αντίστασης. Αρα, ισχύει:

 

στους 0 oC: Εικόνα

 

στους θ oC: Εικόνα

 

και επειδή ρθ = ρ0(1 + αθ) έχουμε:

Εικόνα

 

Rθ = R0(1 + α·θ)

(7)

 

Έτσι, ανάλογα με την τιμή του θερμικού συντελεστή η αντίσταση αυξάνεται, μειώνεται ή παραμένει σταθερή με την αύξηση της θερμοκρασίας (εικ. 28).

Παράδειγμα 3

Ένας αγωγός έχει αντίσταση R = 20Ω σε θερμοκρασία θ = 20 oC. Όταν ο αγωγός διαρρέεται από ρεύμα, η θερμοκρασία του σύρματος αυξάνεται σε θ′ = 50 oC. Να βρεθεί η ένταση του ρεύματος που τον διαρρέει, αν η τάση στα άκρα του είναι V = 222,2V. Δίνεται ο θερμικός συντελεστής αντίστασης του αγωγού α = 4·10-3 grad-1.

 

Λύση

Έστω R0 η αντίσταση του σύρματος στους 0 οC και R′ η αντίσταση του σύρματος στους 50 oC. Αρα, ισχύουν οι σχέσεις:

R = R0(1 + αθ)     (1)

R′ = R0(1 + αθ′)     (2)

Συνεχές ηλεκτρικό ρεύμα
 

Διαιρούμε τις (1) και (2) κατά μέλη και έχουμε:

 

Εικόνα

Άρα, η ένταση του ρεύματος που τον διαρρέει είναι:

I = VR′ = 10A

Παράδειγμα 4

Ένα κυλινδρικό σύρμα έχει διάμετρο δ = 1mm και ειδική αντίσταση ρ = 10-8Ωm. Πόσο μήκος του σύρματος πρέπει να χρησιμοποιήσουμε για να έχουμε αντίσταση R = 10Ω;

 

Λύση

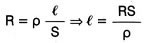
H αντίσταση R δίνεται από τη σχέση

Εικόνα

 

Αλλά Εικόνα

 

Άρα: Εικόνα

Τύποι αντιστατών (αντιστάσεων)

Στο εμπόριο κυκλοφορούν διάφοροι τύποι αντιστατών (αντιστάσεων). Ο πιο συνηθισμένος τύπος είναι οι αντιστάσεις άνθρακα, οι αντιστάσεις μεταλλικής επίστρωσης, οι αντιστάσεις επίστρωσης άνθρακα, οι αντιστάσεις μετάλλου - γυαλιού και οι αντιστάσεις σύρματος (εικ. 29).

Χρωματικός κώδικας

Οι τιμές των αντιστάσεων συνήθως προσδιορίζονται από κάποιο χρωματικό κώδικα. Πολλοί αντιστάτες έχουν έγχρωμες λωρίδες για τον προσδιορισμό της τιμής της αντίστασης και της ανοχής. (Η ανοχή εκφράζει τα όρια της απόκλισης της αντίστασης από την ονομαστική της τιμή). Οι έγχρωμες λωρίδες αντιστοιχούν σε αριθμούς. Στο διπλανό πίνακα αναγράφονται οι αριθμητικές τιμές κάθε χρώματος. Οι περισσότεροι αντιστάτες φέρουν τέσσερις λωρίδες. Οι δύο πρώτες αντιπροσωπεύουν αριθμητικές τιμές. Η τρίτη λέγεται πολλαπλασιαστής και τοποθετεί μετά το διψήφιο αριθμό, που προκύπτει από τις δύο πρώτες λωρίδες, τόσα μηδενικά, όσα αντιπροσωπεύει η τιμή της. Η τέταρτη εκφράζει την ανοχή. Ασημί χρώμα σημαίνει ανοχή ±10%, χρυσαφί ±5%, καφέ ±1%.

 

Εικόνα 3.1-29. Αντιστάτης.

Εικόνα 2.4-29.

Αντιστάτης.

Συνεχές ηλεκτρικό ρεύμα
 

Χρώμα

Αριθμός

Μαύρο

Καφέ

Κόκκινο

Πορτοκαλί

Κίτρινο

Πράσινο

Μπλε

Μωβ

Γκρι

Άσπρο

0

1

2

3

4

5

6

7

8

9

 

Εικόνα 3.1-30. Αντιστάτης.

Εικόνα 2.4-30.

Αντιστάτης.

 

Παράδειγμα υπολογισμού αντίστασης

Έστω ότι έχουμε μία αντίσταση με τα χρώματα καφέ, πράσινο, κόκκινο και ασημί (εικ. 30). To μπλε αντιστοιχεί στο 6, το γκρι στο 8 και το κόκκινο στο 2. Άρα, η τιμή της αντίστασης είναι:

Εικόνα

To χρυσαφί σημαίνει ότι έχουμε ανοχή ±5%. To 5% του 6800 είναι 340. Αρα, η τιμή της αντίστασης αυτής μπορεί να κυμαίνεται από 6800 - 340 = 6460Ω έως 6800 + 340 = 7140Ω.