Φυσική (Β Λυκείου Γενικής Παιδείας) - Βιβλίο Μαθητή
2.4 Αντίσταση - Αντιστάτης 2.6 Ρυθμιστική (μεταβλητή) αντίσταση) Επιστροφή στην αρχική σελίδα του μαθήματος

Συνεχές ηλεκτρικό ρεύμα

 

2.5

Συνδεσμολογία αντιστατών

 

(αντιστάσεων)

Πολλές φορές στα ηλεκτρονικά κυκλώματα πρέπει μεταξύ δύο σημείων Α και Β να παρεμβάλλουμε αντίσταση συγκεκριμένης τιμής, που δεν υπάρχει στο εμπόριο. Αυτό σημαίνει ότι πρέπει να χρησιμοποιήσουμε κάποιες από αυτές που υπάρχουν στο εμπόριο και να τις συνδέσουμε κατάλληλα. Επίσης, πολλές φορές στα ηλεκτρονικά κυκλώματα πρέπει να αντικαταστήσουμε πολλές αντιστάσεις με μία, η οποία να προκαλεί το ίδιο αποτέλεσμα με τις άλλες.

Είναι λοιπόν αναγκαία η μελέτη της συνδεσμολογίας των αντιστατών (αντιστάσεων).

Οι αντιστάσεις μπορούν να συνδεθούν μεταξύ τους με διάφορους τρόπους. Έτσι δημιουργούνται τα λεγόμενα συστήματα αντιστάσεων.

Η ένταση του ηλεκτρικού ρεύματος, που μπαίνει και βγαίνει από τα άκρα ενός τέτοιου συστήματος ονομάζεται ολική ένταση Ιολ. Η τάση που εφαρμόζεται στα άκρα του ονομάζεται ολική τάση Vολ. Επίσης, ονομάζουμε ισοδύναμη ή ολική αντίσταση R ενός τέτοιου συστήματος, την αντίσταση, στα άκρα της οποίας, αν εφαρμόσουμε τάση Vολ θα διαρρέεται από ρεύμα έντασης Ιολ. Δηλαδή:

 

Rολ = VολIολ

(8)

Συνεχές ηλεκτρικό ρεύμα

 

Είναι φανερό ότι, αν αντικαταστήσουμε ένα σύστημα αντιστάσεων με την ολική αντίστασή του, προκύπτει συνδεσμολογία ηλεκτρικά ισοδύναμη με την αρχική.

Στη συνέχεια θα εξετάσουμε τους δύο πιο απλούς, αλλά πιο βασικούς τρόπους σύνδεσης αντιστάσεων: α) σε σειρά και β) παράλληλα. Με το συνδυασμό τους προκύπτουν «μικτοί» τρόποι σύνδεσης.

Σύνδεση σε σειρά

Εικόνα 3.1-31. Σύνδεση αντιστάσεων σε σειρά.

Εικόνα 2.5-31.

Σύνδεση αντιστάσεων σε σειρά.

Θεωρούμε το κύκλωμα της εικ. 31. Τα όργανα θεωρούνται ιδανικά. Οι αντιστάσεις R1, R2 και R3 είναι γνωστές (R1 = 10Ω, R2 = 20Ω, R3 = 30Ω). Με το βολτόμετρο V μετράμε την τάση στα άκρα του συστήματος Vολ και με το αμπερόμετρο την ένταση του ρεύματος Ιολ. Είναι: Vολ = 12V και Ιολ = 0,2Α.

Άρα:

Rολ = VολIολ = 12V0,2A = 60Ω

H σχέση που συνδέει τις R1, R2 και R3 με το R είναι:

 

Rολ = R1 + R2 + R3

(9)

 

Ακόμη, με τα βολτόμετρα V1, V2 και V3 μετράμε τις τάσεις στα άκρα των R1, R2 και R3 αντίστοιχα. Είναι V1 = 2V, V2 = 4V και V3 = 6V.

 

Παρατηρούμε ότι:

Vολ = V1 + V2 + V3

(10)

 
 

Συνεχές ηλεκτρικό ρεύμα

 

Χαρακτηριστικό της συνδεσμολογίας αυτής είναι ότι όλες οι αντιστάσεις διαρρέονται από την ίδια ένταση ρεύματος I, που είναι ίση με την ολική ένταση Ιολ. Δηλαδή:

 

I1 = I2 = I3 = I = Iολ

(11)

 

Τα παραπάνω συμπεράσματα αποδεικνύονται και θεωρητικά.

Εικόνα 3.1-32. Σύνδεση αντιστάσεων σε σειρά.

Εικόνα 2.5-32.

Σύνδεση αντιστάσεων σε σειρά.

Στο κύκλωμα της εικόνας 32 η τάση της R1 είναι: V1 = VΑ - VΓ της R2: V2 = VΓ - VΔ και της R3: V3 = VΔ - VΒ. Προσθέτουμε κατά μέλη και έχουμε:

V1 + V2 + V3 = VΑ - VΒ

Όμως, VΑ - VΒ = Vολ είναι η τάση στα άκρα της συνδεσμολογίας.

Άρα:

Vολ = V1 + V2 + V3

Ισχύουν οι σχέσεις:

Vολ = I·Rολ, V1 = I·R1, V2 = I·R2, V3 = I·R3

Έτσι έχουμε:

Vολ = V1 + V2 + V3 ⇒ I·Rολ = I·R1 + I·R2 + I·R3

Rολ = R1 + R2 + R3

Η σύνδεση δυο αντιστάσεων σε σειρά ισοδυναμεί με αύξηση του μήκους ενός αγωγού, άρα η ολική αντίσταση είναι μεγαλύτερη και από τη μεγαλύτερη αντίσταση του συστήματος.

ΠείραμαΤο πρακτικό αποτέλεσμα είναι ότι με τη συνδεσμολογία αντιστάσεων σε σειρά επιτυγχάνουμε αντιστάσεις μεγαλύτερες από τις αντιστάσεις που διαθέτουμε.

Συνεχές ηλεκτρικό ρεύμα
 

Σύνδεση παράλληλα

Εικόνα 3.1-33. Σύνδεση αντιστάσεων παράλληλα.

Εικόνα 2.5-33.

Σύνδεση αντιστάσεων παράλληλα.

Θεωρούμε το κύκλωμα της εικόνας 33. Οι αντιστάσεις R1, R2 και R3 είναι γνωστές (R1 = 10Ω, R2 = 20Ω, R3 = 30Ω). Με το βολτόμετρο μετράμε την τάση στα άκρα του συστήματος Vολ και με το αμπερόμετρο την ένταση του ρεύματος Ιολ. Είναι: Vολ = 6V και Ιολ = 1,1Α

Άρα:

Rολ = VολIολ =  6V 1,1A = 6011Ω = 5,45Ω

H σχέση που συνδέει τις R1, R2 και R3 με το Rολ είναι:

 1 Rολ =  1 R1 +  1 R2 +  1 R3

(12)

 

Ακόμη, με τα αμπερόμετρα Α1, Α2 και Α3 μετράμε τις εντάσεις που διαρρέουν τις R1, R2 και R3 αντίστοιχα. Είναι I1 = 0,6A, Ι2 = 0,3A και I3 = 0,2A.

 

Παρατηρούμε ότι:

Iολ = I1 + I2 + I3

(13)

 

Χαρακτηριστικό της συνδεσμολογίας αυτής είναι ότι όλες οι αντιστάσεις έχουν την ίδια τάση V, που είναι ίση με την ολική τάση Vολ. Δηλαδή:

 

V1 = V2 = V3 = V = Vολ

(14)

 

Τα παραπάνω συμπεράσματα αποδεικνύονται και θεωρητικά.

Στο κύκλωμα της εικόνας 33 είναι Ι1, Ι2 και Ι3 οι εντάσεις των ρευμάτων τις αντιστάσεις R1, R2 και R3 αντίστοιχα. Στον κόμβο Α (και στον κόμβο Β) ισχύει:

 

Ιολ = Ι1 + Ι2 + Ι3 (1ος Κανόνας Kirchhoff)

 
Συνεχές ηλεκτρικό ρεύμα
 
 

Εικόνα

 

Ισχύουν οι σχέσεις:

Iολ =  V Rολ, I1 =  V R1, I2 =  V R2, I3 =  V R3

Έτσι έχουμε:

Iολ = I1 + I2 + I3 V Rολ =  V R1 +  V R2 +  V R3

 
 

 1 Rολ =  1 R1 +  1 R2 +  1 R3

 

Η σύνδεση αντιστάσεων παράλληλα ισοδυναμεί με αύξηση της διατομής ενός αγωγού, άρα η ολική αντίσταση είναι μικρότερη και από τη μικρότερη αντίσταση του συστήματος.

ΠείραμαΤο πρακτικό αποτέλεσμα είναι ότι με τη συνδεσμολογία αντιστάσεων παράλληλα επιτυγχάνουμε αντιστάσεις μικρότερες από τις αντιστάσεις που διαθέτουμε.

Παράδειγμα 5

Δύο αντιστάσεις R1 = 4Ω και R2 = 6Ω συνδέονται σε σειρά και στα άκρα της συνδεσμολογίας εφαρμόζεται τάση V = 100V. Να βρεθούν:

α) Η ισοδύναμη αντίσταση.

β) Η ένταση του ρεύματος που διαρρέει κάθε αντίσταση.

γ) Η τάση στα άκρα κάθε αντίστασης.

 

Λύση

α) H ισοδύναμη αντίσταση της συνδεσμολογίας είναι:

R = R1 + R2 ⇒ R = 10Ω

β) H ένταση του ρεύματος που διαρρέει τις αντιστάσεις και την πηγή τροφοδοσίας υπολογίζεται από το νόμο του Ohm:

I = VR =  V R1 +  V R2 ⇒ I = 10A. Είναι: I = I1 = I2 = 10A

γ) Οι τάσεις στις αντιστάσεις R1 και R2 υπολογίζονται από το νόμο του Ohm:

I1 = V1R1 ⇒ V1 = I1R1 ⇒ V1 = 40V

I2 = V2R2 ⇒ V2 = I2R2 ⇒ V2 = 60V

Συνεχές ηλεκτρικό ρεύμα
 

Παράδειγμα 6

Δύο αντιστάσεις R1 = 10Ω και R2 = 15Ω συνδέονται παράλληλα και στις άκρες του συστήματος εφαρμόζεται τάση V = 90V. Να βρεθούν:

α) Η ισοδύναμη αντίσταση.

β) Οι τάσεις στα άκρα των αντιστάσεων R1 και R2.

γ) Η ένταση του ρεύματος που διαρρέει κάθε αντίσταση και την πηγή τροφοδοσίας.

 

Λύση

α) H ισοδύναμη αντίσταση της συνδεσμολογίας δίνεται:

1R =  1 R1 +  1 R2 ⇒ R =   R1R2  R1 + R2 ⇒ R = 6Ω

β) H τάση κάθε αντίστασης είναι ίση με V = 90V

 

V1 = V2 = V = 90V

γ) H ένταση του ρεύματος που διαρρέει τις αντιστάσεις R1, R2 και την πηγή τροφοδοσίας υπολογίζονται από το νόμο του Ohm:

 

I1 = V1R1 ⇒ I1 = 90V10Ω = 9A

 

I2 = V2R2 ⇒ I2 = 90V15Ω = 6A

 

I = VR ⇒ I = 90V = 15A

H ένταση του ρεύματος που διαρρέει την πηγή μπορεί να υπολογιστεί και από τον 1o κανόνα του Kirchhoff:

 

I = I1 + I2 ⇒ I = 9A + 6A = 15A

 

Παράδειγμα 7

Δίνεται η συνδεσμολογία των αντιστάσεων του διπλανού σχήματος και ότι R1 = 2Ω, R2 = 3Ω, R3 = 10Ω, R4 = 5Ω και V = 30V. Να βρεθούν:

α) η ένταση του ρεύματος που διαρρέει τις R1, R2 και τις R3, R4.

β) η διαφορά δυναμικού μεταξύ των σημείων Β και Δ.

 

Λύση

α) Οι R1, R2 συνδέονται σε σειρά και στα άκρα τους Α, Γ έχουμε διαφορά δυναμικού V. Αρα, η ένταση I1 του ρεύματος που διαρρέει τις R1, R2 είναι:

 

Εικόνα

 

Εικόνα

Συνεχές ηλεκτρικό ρεύμα
 

I1 =     V    R1 + R2 ⇒ I1 =    30V   (2 + 3)Ω ⇒ I1 = 6A

(1)

Oι R3, R4 συνδέονται σε σειρά και στα άκρα τους Α, Γ έχουμε επίσης τάση V. Αρα η ένταση I2 του ρεύματος που διαρρέει τις R3, R4 είναι:

I2 =     V    R3 + R4 ⇒ I2 =     30V    (10 + 5)Ω ⇒ I2 = 2A

(2)

β) 1ος τρόπος

Αν «κινούμαστε» κατά μήκος μιας αντίστασης και κατά τη φορά του ρεύματος, το δυναμικό μειώνεται κατά IR, ενώ αν «κινούμαστε» αντίθετα με τη φορά του ρεύματος το δυναμικό αυξάνεται κατά IR.

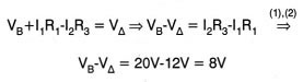
Ξεκινάμε από το σημείο Β και «πηγαίνουμε» στο Δ μέσω του κόμβου Α. Από το Β στο Α, «πηγαίνουμε» αντίθετα με το ρεύμα, επομένως το δυναμικό αυξάνεται κατά Ι1R1 ενώ από το Α στο Δ, πηγαίνουμε ομόρροπα με το ρεύμα, οπότε το δυναμικό μειώνεται κατά l2R3. Άρα:

Εικόνα

 

2ος τρόπος

H τάση στα άκρα της R1 είναι:

VΑ - VB = I1R1

(3)

και η τάση στα άκρα της R3 είναι:

VΑ - VΔ = I2R3

(4)

Αφαιρούμε τις (3) και (4) κατά μέλη, οπότε έχουμε:

VΑ - VΒ - (VΑ - VΔ) = I1R1 - I2R3

VΑ - VΒ - VΑ + VΔ = I1R1 - I2R3

VΒ - VΔ = I2R3 - I1R1 = 8V