Φυσική (Β Λυκείου Γενικής Παιδείας) - Βιβλίο Μαθητή
2.2 Ηλεκτρικό ρεύμα 2.4 Αντίσταση - Αντιστάτης Επιστροφή στην αρχική σελίδα του μαθήματος
Συνεχές ηλεκτρικό ρεύμα
 

Εικόνα 3.1-12. Αμπερόμετρο.

Εικόνα 2.3-12.

Αμπερόμετρο.

 

2.3

Κανόνες του Kirchhoff (Κίρχοφ)

Αμπερόμετρο

Αμπερόμετρο είναι το όργανο που χρησιμοποιούμε για να μετρήσουμε την ένταση του ηλεκτρικού ρεύματος (εικ. 12). Το αμπερόμετρο λειτουργεί με βάση τα θερμικά ή τα μαγνητικά αποτελέσματα του ηλεκτρικού ρεύματος. Έχει δύο ακροδέκτες Κ και Λ, που αντιστοιχούν στα σημεία εισόδου και εξόδου του ηλεκτρικού ρεύματος (εικ. 13).

Για να μετρήσουμε την ένταση του ηλεκτρικού ρεύματος σ' ένα κύκλωμα (εικ. 14α), παρεμβάλλουμε το αμπερόμετρο στο σημείο ακριβώς που θέλουμε να τη μετρήσουμε. Δηλαδή, κόβουμε τον αγωγό του κυκλώματος στο σημείο Μ και στα δύο άκρα που δημιουργούνται, συνδέουμε τους δύο ακροδέκτες του αμπερομέτρου (εικ. 14β). Η σύνδεση αυτή του αμπερομέτρου λέγεται σύνδεση σε σειρά.

Αν το αμπερόμετρο θεωρηθεί ιδανικό (μηδενική εσωτερική αντίσταση), η σύνδεση του δεν επηρεάζει το κύκλωμα, οπότε το αμπερόμετρο δείχνει την ένταση του ρεύματος, που διέρρεε το κύκλωμα, πριν τη σύνδεση του.

Συνεχές ηλεκτρικό ρεύμα
 

Αν στο κύκλωμα της εικ. 14α παρεμβάλλουμε το αμπερόμετρο στο σημείο Ν, τότε παίρνουμε το κύκλωμα της εικ. 14γ και παρατηρούμε ότι η ένδειξη του αμπερομέτρου είναι ίδια με την προηγούμενη. Αυτό σημαίνει ότι η στιγμιαία ένταση του ηλεκτρικού ρεύματος είναι ίδια σε όλα τα σημεία ενός αγωγού. Αυτό είναι συνέπεια της αρχής διατήρησης του ηλεκτρικού φορτίου. Όσο φορτίο διέρχεται από κάποια διατομή του αγωγού ανά μονάδα χρόνου, τόσο φορτίο διέρχεται από οποιαδήποτε άλλη διατομή ενός αγωγού ανά μονάδα χρόνου. Επομένως, κατά μήκος ενός ρευματοφόρου αγωγού δεν υπάρχουν ούτε «πηγές», ούτε «καταβόθρες» ηλεκτρικών φορτίων.

Εικόνα 3.1-14. Σύνδεση αμπερομέτρου σε κύκλωμα.

Εικόνα 2.3-14.

Σύνδεση αμπερομέτρου σε κύκλωμα.

 

1ος Κανόνας του Kirchhoff (Κίρχοφ)

Ας αναφερθούμε στο κύκλωμα που φαίνεται στην εικ. 15. Κόμβος λέγεται το σημείο ενός κυκλώματος, στο οποίο συναντιούνται τουλάχιστον τρεις ρευματοφόροι αγωγοί. Τα σημεία Β και Γ είναι κόμβοι του κυκλώματος. Κλάδος λέγεται το τμήμα του κυκλώματος που βρίσκεται μεταξύ δύο κόμβων. Οι αγωγοί ΒΖΓ, ΒΗΓ και ΓΔΒ είναι κλάδοι του κυκλώματος. Όλα τα στοιχεία ενός κλάδου διαρρέονται από την ίδια ένταση ηλεκτρικού ρεύματος.

Το αμπερόμετρο Α δείχνει την ένταση του ρεύματος που διαρρέει τον κλάδο ΓΔΒ. Είναι I = 20mA. Το αμπερόμετρο Α1 δείχνει την ένταση του ρεύματος που διαρρέει τον κλάδο ΒΖΓ. Είναι Ι1 = 8mA. Το αμπερόμετρο Α2 δείχνει την ένταση του ρεύματος που διαρρέει τον κλάδο ΒΗΓ.

 

Εικόνα 3.1-13. Αμπερόμετρο.

Εικόνα 2.3-13.

Αμπερόμετρο.

Συνεχές ηλεκτρικό ρεύμα
 

Εικόνα 3.1-16. Βολτόμετρο.

Εικόνα 2.3-16.

Βολτόμετρο.

 

Εικόνα 3.1-15. Πειραματική επαλήθευση 1ου κανόνα Kirchhoff.

Εικόνα 2.3-15.

Πειραματική επαλήθευση 1ου κανόνα Kirchhoff.

Είναι I2 = 12mA. Παρατηρούμε ότι:

I = I1 + I2

(2)

Δηλαδή, το άθροισμα των εντάσεων των ρευμάτων, που «εισέρχονται» σ' ένα κόμβο, ισούται με το άθροισμα των εντάσεων των ρευμάτων, που «εξέρχονται» απ' αυτόν.

 

Σ(Iεισ) = Σ(Iεξ)

 

Η προηγούμενη πρόταση είναι η διατύπωση του 1ου κανόνα του Kirchhoff, οποίος είναι συνέπεια της αρχής διατήρησης του ηλεκτρικού φορτίου. Όσο φορτίο «φτάνει» στον κόμβο ανά μονάδα χρόνου, τόσο φορτίο «φεύγει» απ' αυτόν ανά μονάδα χρόνου. Οι κόμβοι δεν είναι ούτε «πηγές», ούτε «καταβόθρες» φορτίων.

Αν αυθαίρετα θεωρήσουμε τις εντάσεις των ρευμάτων, που φτάνουν στον κόμβο ως θετικές και τις εντάσεις των ρευμάτων, που φεύγουν από τον κόμβο ως αρνητικές, η σχέση (2) γράφεται:

I - I1 - I2 = 0

οπότε ο 1ος κανόνας του Kirchhoff διατυπώνεται και ως εξής:

 

Σ' ένα κόμβο το αλγεβρικό άθροισμα των εντάσεων των ρευμάτων ισούται με μηδέν, δηλαδή:

 

ΣI = 0

Βολτόμετρο

Βολτόμετρο είναι το όργανο που χρησιμοποιούμε για να μετρήσουμε τη διαφορά δυναμικού (τάση) μεταξύ δύο σημείων ενός κυκλώματος (εικ. 16). Το βολτόμετρο λειτουργεί με βάση τα θερμικά ή τα μαγνητικά αποτελέσματα του ηλεκτρικού ρεύματος. Το βολτόμετρο (εικ. 17) έχει δύο ακροδέκτες Κ και Λ, που συνδέονται με τα σημεία του κυκλώματος, μεταξύ των οποίων θέλουμε να μετρήσουμε τη διαφορά δυναμικού (τάση).

Συνεχές ηλεκτρικό ρεύμα
 

Για να μετρήσουμε τη διαφορά δυναμικού (τάση) μεταξύ δύο σημείων Α και Β ενός κυκλώματος (εικ. 18α), συνδέουμε αγώγιμα τους ακροδέκτες του βολτομέτρου με τα σημεία αυτά (εικ. 18β).

Το βολτόμετρο συνδέεται χωρίς να διακοπεί το κύκλωμα. Η σύνδεση αυτή του βολτομέτρου λέγεται σύνδεση σε διακλάδωση ή παράλληλη σύνδεση.

Αν το βολτόμετρο θεωρηθεί ιδανικό (άπειρη εσωτερική αντίσταση), η σύνδεσή του δεν επηρεάζει το κύκλωμα, οπότε το βολτόμετρο δείχνει την τάση μεταξύ των σημείων Α και Β, πριν τη σύνδεσή του.

Εικόνα 3.1-18. Σύνδεση βολτομέτρου σε κύκλωμα.

Εικόνα 2.3-18.

Σύνδεση βολτομέτρου σε κύκλωμα.

 

2ος Κανόνας του Kirchhoff (Κίρχοφ)

Εικόνα 3.1-19. Πειραματική επαλήθευση 2ου κανόνα Kirchhoff.

Εικόνα 2.3-19.

Πειραματική επαλήθευση 2ου κανόνα Kirchhoff.

Ας αναφερθούμε στο κύκλωμα που φαίνεται στην εικ. 19. Το βολτόμετρο V δείχνει την τάση V, που είναι και η τάση στους πόλους της πηγής. Είναι V = 12V. Το βολτόμετρο V1 δείχνει την τάση VAB. Είναι VAB = 9V. Το βολτόμετρο V2 δείχνει την τάση V Είναι V = 3V. Παρατηρούμε ότι:

 

Εικόνα 3.1-17. Βολτόμετρο.

Εικόνα 2.3-17.

Βολτόμετρο.

Συνεχές ηλεκτρικό ρεύμα
 
 

Εικόνα

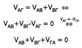
Δηλαδή, κατά μήκος μιας κλειστής διαδρομής σ' ένα κύκλωμα το αλγεβρικό άθροισμα των διαφορών δυναμικού ισούται με μηδέν.

 

Σ(ΔV) = 0

 

Η προηγούμενη πρόταση είναι η διατύπωση του 2ου κανόνα του Kirchhoff, ο οποίος είναι συνέπεια της αρχής διατήρησης της ενέργειας.

Κάθε κλειστή διαδρομή σ' ένα κύκλωμα λέγεται βρόχος.

Δίπολο και χαρακτηριστική καμπύλη δίπολου

Ένα κύκλωμα μπορεί να περιέχει λαμπτήρες, αντιστάτες, πυκνωτές, πηνία, ηλεκτρικές πηγές και άλλα στοιχεία. Το κοινό τους χαρακτηριστικό είναι ότι καθένα έχει δύο άκρα, που λέγονται πόλοι. Γι' αυτό τα στοιχεία αυτά λέγονται δίπολα.

Η λειτουργία ενός διπόλου εξαρτάται από τις τιμές της τάσης που υπάρχει στα άκρα του. Αυτή καθορίζει τις τιμές της έντασης του ρεύματος που το διαρρέει. Γενικά, για κάθε δίπολο υπάρχει μια συνάρτηση I = f(V). Η γραφική της παράσταση λέγεται χαρακτηριστική καμπύλη του διπόλου. Η γνώση της μας βοηθάει στη διάκριση των δίπολων μεταξύ τους και στην πρόβλεψη της λειτουργίας τους, όταν τα συνδέσουμε σε κάποιο κύκλωμα.