Άλγεβρα (Β Λυκείου) - Βιβλίο Μαθητή
1.2 Μη Γραμμικά Συστήματα 2.2 Κατακόρυφη-Οριζόντια Μετατόπιση Καμπύλης Επιστροφή στην αρχική σελίδα του μαθήματος

chap2

2.1 ΜΟΝΟΤΟΝΙΑ - ΑΚΡΟΤΑΤΑ - ΣΥΜΜΕΤΡΙΕΣ ΣΥΝΑΡΤΗΣΗΣ

Μονοτονιά συνάρτησης

Στο παρακάτω σχήμα δίνεται η γραφική παράσταση της συνάρτησης T = ƒ(t) που εκφράζει τη θερμοκρασία Τ ενός τόπου συναρτήσει του χρόνου t κατά το χρονικό διάστημα από τα μεσάνυχτα μιας ημέρας (t = 0) μέχρι τα μεσάνυχτα της επόμενης μέρας (t = 24).

Εικόνα

α) Παρατηρούμε ότι στο διάστημα [4,16] η γραφική παράσταση της θερμοκρασίας ανέρχεται.

Εικόνα

Αυτό σημαίνει ότι στο διάστημα αυτό, με την πάροδο του χρόνου, η θερμοκρασία αυξάνεται, δηλαδή για οποιαδήποτε t1, t2 ∈[4,16] με t1 < t2 ισχύει:

ƒ(t1) < ƒ(t2)

Για το λόγο αυτό λέμε ότι η συνάρτηση T = ƒ(t) είναι γνησίως αύξουσα στο διάστημα [4,16].

Γενικά:

ΟΡΙΣΜΟΣ

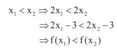
Μια συνάρτηση ƒ λέγεται γνησίως αύξουσα σε ένα διάστημα Δ του πεδίου ορισμού της, όταν για οποιαδήποτε x1, x2 ∈Δ με x< x2 ισχύει :

 

 

ƒ(x1) < ƒ(x2) ,

Για να δηλώσουμε ότι η συνάρτηση ƒ είναι γνησίως αύξουσα στο διάστημα Δ γράφουμε pic685.

Για παράδειγμα, η συνάρτηση ƒ(x) = 2x - 3 είναι γνησίως αύξουσα στο ℝ . Πράγματι έστω x1, x2∈ℝ, με x1 < x2. Τότε έχουμε:

Εικόνα

Γενικά:

Η συνάρτηση ƒ(x) = αx + β, με α > 0 είναι γνησίως αύξουσα στο ℝ.

β) Στο ίδιο σχήμα, παρατηρούμε επιπλέον ότι στο διάστημα [16,24] η γραφική παράσταση της θερμοκρασίας κατέρχεται.

Εικόνα

Αυτό σημαίνει ότι στο διάστημα αυτό, με την πάροδο του χρόνου, η θερμοκρασία μειώνεται, δηλαδή για οποιαδήποτε t1, t2∈[16,24] με t1 < t2 ισχύει:

ƒ(t1) > ƒ(t2)

Για το λόγο αυτό λέμε ότι η συνάρτηση T = ƒ(t) είναι γνησίως φθίνουσα στο διάστημα [16,24].

Γενικά:

ΟΡΙΣΜΟΣ

Μια συνάρτηση ƒ λέγεται γνησίως φθίνουσα σε ένα διάστημα Δ του πεδίου ορισμού της , όταν για οποιαδήποτε x1, x2∈Δ με x1< x2 ισχύει:

 

 

ƒ(x1) > ƒ(x2) ,

Για να δηλώσουμε ότι η συνάρτηση είναι γνησίως φθίνουσα στο διάστημα Δ γράφουμε pic688

Για παράδειγμα, η συνάρτηση ƒ(x) = -2x + 5 είναι γνησίως φθίνουσα στο ℝ. Πράγματι• έστω x1, x2∈ℝ, με x1 < x2. Τότε έχουμε:

Εικόνα

Γενικά:

Η συνάρτηση ƒ(x) = αx + β, με α<0 είναι γνησίως φθίνουσα στο ℝ.

Μια συνάρτηση που είναι είτε γνησίως αύξουσα είτε γνησίως φθίνουσα σε ένα διάστημα Δ λέγεται γνησίως μονότονη στο Δ.

Ελάχιστο και μέγιστο συνάρτησης

Ας θεωρήσουμε και πάλι τη γραφική παράσταση της συνάρτησης T = ƒ(t) .

Εικόνα

 

Παρατηρούμε ότι:

α) Τη χρονική στιγμή t1 = 4 η θερμοκρασία του τόπου παίρνει την ελάχιστη τιμή της, που είναι η ƒ(4) = 3 βαθμοί Κελσίου. Δηλαδή ισχύει:

ƒ(t) ≥ ƒ(4) = 3 , για κάθε t∈[0,24]

Για το λόγο αυτό λέμε ότι η συνάρτηση T = ƒ(t) παρουσιάζει στο t = 4 ελάχιστο, το ƒ(4) = 3.

Γενικά :

ΟΡΙΣΜΟΣ

Μια συνάρτηση ƒ, με πεδίο ορισμού ένα σύνολο Α, λέμε ότι παρουσιάζει στο x0∈Α (ολικό) ελάχιστο όταν:

 

 

ƒ(x) ≥ ƒ(x0), για κάθε x∈Α

Το x0 ∈Α λέγεται θέση ελαχίστου, ενώ το ƒ(x0) ολικό ελάχιστο ή απλώς ελάχιστο της συνάρτησης ƒ και το συμβολίζουμε με min ƒ(x).

Για παράδειγμα, ας θεωρήσουμε τη συνάρτηση ƒ(x) = 3x4 + 1. Επειδή

x4 ≥ 0, για κάθε x∈ℝ,

θα είναι

3x4 ≥ 0, για κάθε x∈ℝ ,

οπότε θα έχουμε

3x4 + 1 ≥ 1, για κάθε x∈ℝ .

Επομένως:

ƒ(x) ≥ ƒ(0), για κάθε x∈ℝ

Άρα, η ƒ παρουσιάζει ελάχιστο στο x0 = 0 , το ƒ(0) = 1

β) Τη χρονική στιγμή t2 = 16 η θερμοκρασία του τόπου παίρνει τη μέγιστη τιμή της, που είναι η T(16) = 11 βαθμοί Κελσίου. Δηλαδή ισχύει:

ƒ(t) ≤ ƒ(16) = 11, για κάθε t∈[0,24]

Για το λόγο αυτό λέμε ότι η συνάρτηση T = ƒ(t) παρουσιάζει στο t = 16 μέγιστο, το ƒ(16) = 11. Γενικά:

ΟΡΙΣΜΟΣ

Μια συνάρτηση ƒ, με πεδίο ορισμού ένα σύνολο Α, λέμε ότι παρουσιάζει στο x0∈Α (ολικό) μέγιστο όταν

 

 

ƒ(x) ≤ ƒ(x0) , για κάθε x∈Α

Το x0∈Α λέγεται θέση μεγίστου, ενώ το ƒ(x0) ολικό μέγιστο ή απλώς μέγιστο της ƒ και το συμβολίζουμε με max ƒ(x) .

Για παράδειγμα, ας θεωρήσουμε τη συνάρτηση ƒ(x) = -3x4 + 1. Επειδή

x4 ≥ 0, για κάθε x∈ℝ,

θα είναι

-3x4 ≤ 0 , για κάθε x∈ℝ,

οπότε θα έχουμε

-3x4 + 1 ≤ 1, για κάθε x∈ℝ .

Επομένως:

ƒ(x) ≤ ƒ(0), για κάθε x∈ℝ

Άρα, η ƒ παρουσιάζει μέγιστο στο x0 = 0 , το ƒ(0) = 1.

Το (ολικό) μέγιστο και το (ολικό) ελάχιστο μιας συνάρτησης λέγονται ολικά ακρότατα αυτής.

ΣΧΟΛΙΟ

Μια συνάρτηση ενδέχεται να έχει και μέγιστο και ελάχιστο (Σχ. α) ή μόνο ελάχιστο (Σχ. β') ή μόνο μέγιστο (Σχ. γ') ή να μην έχει ούτε μέγιστο ούτε ελάχιστο (Σχ. δ').

Εικόνα

Άρτια συνάρτηση

α) Στο διπλανό σχήμα δίνεται η γραφική παράσταση Cƒ μιας συνάρτησης ƒ που έχει πεδίο ορισμού όλο το ℝ . Παρατηρούμε ότι η Cf έχει άξονα συμμετρίας τον άξονα y'y, αφού το συμμετρικό κάθε σημείου της Cƒ ως προς τον άξονα y'y ανήκει στην Cƒ . Εικόνα

Επειδή, όμως, το συμμετρικό του τυχαίου σημείου M(x,y) της Cƒ ως προς τον άξονα y'y είναι το σημείο M'(-x,y) και επειδή τα σημεία M(x,y) και M'(-x,y) ανήκουν στην Cƒ , θα ισχύει y = ƒ(x) και y = ƒ(-x), οπότε θα έχουμε:

ƒ(-x) = ƒ(x)

Η συνάρτηση ƒ με την παραπάνω ιδιότητα λέμε λέγεται άρτια. Γενικά:

ΟΡΙΣΜΟΣ

Μια συνάρτηση ƒ, με πεδίο ορισμού ένα σύνολο Α, θα λέγεται άρτια, όταν για κάθε x∈Α ισχύει:

 

 

-x∈Α και ƒ(-x) = ƒ(x)

Η γραφική παράσταση μιας άρτιας συνάρτησης έχει άξονα συμμετρίας τον άξονα y 'y

Για παράδειγμα, η συνάρτηση ƒ(x) = 2x4 - x2 + 1 είναι άρτια συνάρτηση, αφού έχει πεδίο ορισμού όλο το ℝ και για κάθε x∈ℝ ισχύει:

ƒ(-x) = 2(-x)4 - (-x)2 + 1 = 2x4 - x2 + 1 = ƒ(x)

Συνεπώς, η γραφική της παράσταση έχει άξονα συμμετρίας τον άξονα y'y .

Περιττή συνάρτηση

β) Στο διπλανό σχήμα δίνεται η γραφική παράσταση Cƒ μιας συνάρτησης ƒ που έχει πεδίο ορισμού όλο το ℝ .

Παρατηρούμε ότι η Cƒ έχει κέντρο συμμετρίας την αρχή των αξόνων, αφού το συμμετρικό κάθε σημείου της Cƒ ως προς την αρχή των αξόνων ανήκει στην Cƒ .

Εικόνα

Επειδή, όμως, το συμμετρικό του τυχαίου σημείου M(x,y) της Cƒ ως προς την αρχή των αξόνων είναι το σημείο M'(-x, -y) και επειδή τα σημεία M(x,y) και M'(-x, -y) ανήκουν στην Cƒ , θα ισχύει y = ƒ(x) και -y = ƒ(-x), οπότε θα έχουμε:

ƒ(-x ) = -ƒ(x)

Η συνάρτηση f με την παραπάνω ιδιότητα λέγεται περιττή. Γενικά :

ΟΡΙΣΜΟΣ

Μια συνάρτηση ƒ, με πεδίο ορισμού ένα σύνολο Α, θα λέγεται περιττή, όταν για κάθε x∈Α ισχύει:

 

 

-x∈Α και ƒ(-x) = - ƒ(x)

Η γραφική παράσταση μιας περιττής συνάρτησης έχει κέντρο συμμετρίας την αρχή των αξόνων.

Για παράδειγμα, η συνάρτηση ƒ(x) = 2x3 - x είναι περιττή συνάρτηση, διότι έχει πεδίο ορισμού όλο το ℝ και για κάθε x∈ℝ ισχύει:

ƒ(-x) = 2(-x)3 - (-x) = -2x3 + x = - ƒ(x)

Συνεπώς, η γραφική της παράσταση έχει κέντρο συμμετρίας την αρχή των αξόνων.

ΣΗΜΕΙΩΣΗ

Ο όρος "άρτια" προέκυψε αρχικά από το γεγονός ότι οι συναρτήσεις y = x2, y = x4, y = x6 κτλ., που έχουν άρτιο εκθέτη, έχουν άξονα συμμετρίας τον άξονα y'y, είναι δηλαδή άρτιες συναρτήσεις, ενώ ο όρος "περιττή" προέρχεται από το γεγονός ότι οι συναρτήσεις y = x , y = x3, y = x5 κτλ., που έχουν περιττό εκθέτη, έχουν κέντρο συμμετρίας την αρχή των αξόνων, είναι δηλαδή περιττές συναρτήσεις.

ΕΦΑΡΜΟΓΗ

Στο παρακάτω σχήμα δίνονται ορισμένα τμήματα της γραφικής παράστασης μιας άρτιας συνάρτησης ƒ που έχει πεδίο ορισμού το διάστημα [-6,6].

Να χαραχθούν και τα υπόλοιπα τμήματα της γραφικής παράστασης της συνάρτησης ƒ και με τη βοήθεια αυτής:

α) Να βρεθούν τα διαστήματα στα οποία η συνάρτηση ƒ:

i) είναι γνησίως αύξουσα,

ii) είναι γνησίως φθίνουσα

iii) είναι σταθερή.

β) Να βρεθεί η μέγιστη και η ελάχιστη τιμή της ƒ, καθώς επίσης οι θέσεις των ακροτάτων αυτών.

Εικόνα

ΛΥΣΗ

Επειδή η συνάρτηση ƒ είναι άρτια, η γραφική της παράσταση θα έχει άξονα συμμετρίας τον άξονα y'y. Επομένως, αν πάρουμε τα συμμετρικά ως προς τον άξονα y'y των δοθέντων τμημάτων της γραφικής παράστασης της ƒ, θα έχουμε ολόκληρη τη γραφική παράσταση της ƒ, που είναι η πολυγωνική γραμμή Α΄Β΄ΓΌΓΒΑ (Σχήμα).

Εικόνα

Από την παραπάνω γραφική παράσταση προκύπτει ότι:

α) Η συνάρτηση ƒ:

i) είναι γνησίως αύξουσα σε καθένα από τα διαστήματα [0,2] και [5,6],

ii) είναι γνησίως φθίνουσα σε καθένα από τα διαστήματα [-2,0] και [-6,-5], τα οποία είναι συμμετρικά ως προς το Ο των διαστημάτων [0,2] και [5,6] αντιστοίχως στα οποία η ƒ είναι γνησίως αύξουσα.

iii) είναι σταθερή σε καθένα από τα διαστήματα [-5,-2] και [2,5] τα οποία είναι συμμετρικά μεταξύ τους ως προς το Ο.

β) Η μέγιστη τιμή της ƒ είναι ίση με 4 και παρουσιάζεται όταν το x πάρει τις τιμές -6 και 6. Δηλαδή ισχύει:

max ƒ(x) = ƒ(-6) = ƒ(6) = 4

Η ελάχιστη τιμή της ƒ είναι ίση με 0 και παρουσιάζεται όταν το x πάρει την τιμή 0. Δηλαδή ισχύει:

min ƒ(x) = ƒ(0) = 0.

ΑΣΚΗΣΕΙΣ

Α' ΟΜΑΔΑΣ
1.

Να βρείτε τα διαστήματα στα οποία καθεμιά από τις παρακάτω συναρτήσεις είναι:

α) γνησίως αύξουσα και β) γνησίως φθίνουσα.

Εικόνα

2. Να προσδιορίσετε τα ολικά ακρότατα των συναρτήσεων της προηγούμενης άσκησης, καθώς και τις θέσεις των ακροτάτων αυτών.
3.

Να δείξετε ότι:

i) Η συνάρτηση ƒ(x) = x2 - 6x +10 παρουσιάζει ελάχιστο για x = 3 .

ii) Η συνάρτηση pic698παρουσιάζει μέγιστο για x = 1.

4.

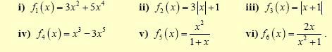
Να βρείτε ποιες από τις παρακάτω συναρτήσεις είναι άρτιες και ποιες είναι περιττές:

pic699

5.

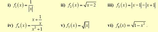
Ομοίως για τις συναρτήσεις:

pic69100

6.

Να βρείτε ποιες από τις παρακάτω γραμμές είναι γραφικές παραστάσεις άρτιας και ποιες περιττής συνάρτησης.

Εικόνα

7.

Ομοίως για τις παρακάτω γραμμές

Εικόνα

8.

Να συμπληρώσετε τις παρακάτω γραμμές ώστε να παριστάνουν γραφικές παραστάσεις

α) Άρτιας συνάρτησης και β) Περιττής συνάρτησης.

Εικόνα