Άλγεβρα (Β Λυκείου) - Βιβλίο Μαθητή
1.1 Γραμμικά Συστήματα 2.1 Μονοτονία Συνάρτησης Επιστροφή στην αρχική σελίδα του μαθήματος

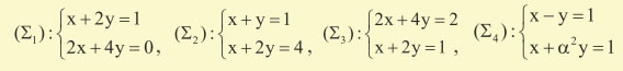
1.2 ΜΗ ΓΡΑΜΜΙΚΑ ΣΥΣΤΗΜΑΤΑ

Η επίλυση πολλών προβλημάτων οδηγεί συχνά σε ένα σύνολο εξισώσεων των οποίων ζητάμε τις κοινές λύσεις, αλλά οι εξισώσεις αυτές δεν είναι όλες γραμμικές.

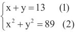
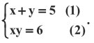
Για παράδειγμα, έστω ότι ζητάμε δυο αριθμούς με άθροισμα 13 και άθροισμα τετραγώνων 89.

Αν x, y είναι οι δύο αριθμοί , τότε πρέπει x + y = 13 και x2 + y2 = 89. Επειδή ζητάμε και κοινές λύσεις των δύο εξισώσεων, έχουμε το σύστημα :

Εικόνα

Για τη λύση του συστήματος εργαζόμαστε ως εξής :

Επιλύουμε την (1), ως προς έναν άγνωστο, π.χ. ως προς x , και αντικαθιστούμε στη (2).

Έχουμε

x + y = 13   ⇔  y = 13 − x          (3).

Επομένως

Εικόνα

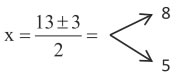
Η τελευταία εξίσωση είναι 2ου  βαθμού με διακρίνουσα Δ = 9 . Επομένως :

Εικόνα

Από την (3), για x=8 έχουμε y=5 , ενώ για x=5 έχουμε y=8. Άρα το σύστημα έχει δύο λύσεις τις (8, 5) και (5, 8).

Η απάντηση βέβαια στο πρόβλημα είναι ότι οι ζητούμενοι αριθμοί είναι οι 5 και 8.

Στη συνέχεια θα δούμε, με τη βοήθεια παραδειγμάτων, διάφορες περιπτώσεις επίλυσης μη γραμμικών συστημάτων.

ΠΑΡΑΔΕΙΓΜΑΤΑ

1ο   Να λυθεί το σύστημα Εικόνα

ΛΥΣΗ

α΄ τρόπος

Επιλύουμε την (1) ως προς x και αντικαθιστούμε στη (2). Έχουμε :

Εικόνα

Από την (3) για x=2 έχουμε y=3 , ενώ για x=3 έχουμε y=2 . Άρα το σύστημα έχει δύο λύσεις τις (2, 3) και (3, 2) .

 

β΄ τρόπος

Εξετάζοντας το σύστημα βλέπουμε ότι αναζητούμε δύο αριθμούς για τους οποίους γνωρίζουμε ότι έχουν άθροισμα 5 και γινόμενο 6. Επομένως, από τους τύπους του Vieta οι αριθμοί αυτοί είναι ρίζες της εξίσωσης

ω2 − 5ω + 6 = 0 .

Οι ρίζες της εξίσωσης αυτής είναι οι 2 και 3 οπότε οι λύσεις του συστήματος είναι τα ζεύγη (2,3) και (3,2).

ΣΧΟΛΙΟ

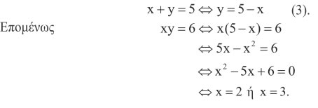
Η πρώτη εξίσωση του συστήματος x + y = 5 παριστάνει ευθεία, ενώ η δεύτερη εξίσωση xy=6 παριστάνει την υπερβολή y = 6/x . Επομένως οι συντεταγμένες των κοινών σημείων της ευθείας και της υπερβολής θα μας δώσουν τις λύσεις του συστήματος.

 

Εικόνα

Τα σημεία τομής είναι τα Α(2,3) και Β(3,2) . Άρα το σύστημα έχει δύο λύσεις τις (2,3) και (3,2) .

 

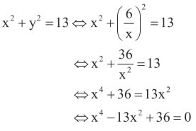
2ο   Να λυθεί το σύστημα

Εικόνα

ΛΥΣΗ

Λύνουμε την (1) ως προς x και αντικαθιστούμε στη (2). Έχουμε

Εικόνα

οπότε η (2) γίνεται :

 

Εικόνα

Η εξίσωση αυτή είναι διτετράγωνη. Αν θέσουμε x2 = ω , τότε η εξίσωση γίνεται ω2 − 13ω + 36 = 0, της οποίας οι λύσεις είναι η ω=9 και η ω=4 .

✔ Για ω=9 έχουμε

x2 = 9   ⇔ x = 3   ή  x = −3

Από την (1) για x=3 παίρνουμε y=2 και για x = −3 παίρνουμε y = −2.

✔ Για ω=4 έχουμε

x2 = 4   ⇔ x = 2   ή  x = −2

Από την (1) για x=2 παίρνουμε y=3 και για x= −2 παίρνουμε y = − 3.

Άρα το σύστημα έχει τέσσερις λύσεις τις (3,2),  (−3,−2),  (2,3)  και  (−2,−3).

ΣΧOΛΙO

Η πρώτη εξίσωση του συστήματος xy 6 = παριστάνει την υπερβολή y = 6/x , ενώ η δεύτερη εξίσωση x2 + y2 = 13 παριστάνει κύκλο με κέντρο Ο(0,0) και ακτίνα ρ = √13 .

Επομένως οι συντεταγμένες των σημείων τομής της υπερβολής και του κύκλου θα μας δώσουν τις λύσεις του συστήματος.

 

Εικόνα

ΑΣΚΗΣΕΙΣ

Α' ΟΜΑΔΑΣ
1. Να λύσετε το σύστημα : Εικόνα

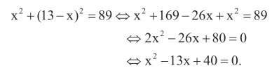
2. Να λύσετε τα συστήματα :

Εικόνα

και να ερμηνεύσετε γεωμετρικά τα αποτελέσματα.

3. Από τους τύπους   S = υ0t + 1/2 αt2   και    υ = υ0t + αt , να δείξετε ότι Εικόνα

 

Β΄ ΟΜΑΔΑΣ

1. Να λύσετε τo σύστημα Εικόνα και να ερμηνεύσετε γεωμετρικά το αποτέλεσμα.

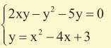
2. Να λύσετε το σύστημα : Εικόνα
3. Το εμβαδόν ενός ορθογωνίου είναι 120cm2. Αν η μία διάσταση του ορθογωνίου αυξηθεί κατά 3cm , ενώ η άλλη ελαττωθεί κατά 2cm , τότε το εμβαδόν του δεν μεταβάλλεται. Να βρείτε τις διαστάσεις του ορθογωνίου.
4. Δίνεται η παραβολή y = −x2 και η ευθεία y = 2x + k,   k ∈ R. Να βρείτε για ποιες τιμές του k η ευθεία τέμνει την παραβολή σε δύο σημεία.
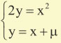
5. Να λύσετε τo σύστημα Εικόνα και να ερμηνεύσετε γεωμετρικά το αποτέλεσμα.

ΕΡΩΤΗΣΕΙΣ ΚΑΤΑΝΟΗΣΗΣ 1ου ΚΕΦΑΛΑΙΟΥ

Ι. Να αντιστοιχίσετε καθένα από τα συστήματα :

Εικόνα

με εκείνη από τις απαντήσεις Α, Β, Γ που νομίζετε ότι είναι η σωστή.

Α) Έχει μοναδική λύση,   Β) Είναι αδύνατο,   Γ) Έχει άπειρο πλήθος λύσεων.

Εικόνα

ΙΙ. Σε καθεμιά από τις παρακάτω περιπτώσεις να κυκλώσετε το γράμμα Α, αν ο ισχυρισμός είναι αληθής και το γράμμα Ψ, αν ο ισχυρισμός είναι ψευδής.
1. Αν ένα γραμμικό σύστημα έχει δύο διαφορετικές λύσεις, τότε θα έχει άπειρο πλήθος λύσεων. Α Ψ
2. Αν σε ένα γραμμικό σύστημα είναι D = 0 , τότε το σύστημα είναι κατ' ανάγκη αδύνατο. Α Ψ
3. Το σύστημα Εικόνα είναι αδύνατο. Α Ψ
4. Ο κύκλος x2 + y2 = 1 και η παραβολή y = x2 + 1 δεν έχουν κοινά σημεία. Α Ψ