Άλγεβρα (Β Λυκείου) - Βιβλίο Μαθητή
2.1 Μονοτονία Συνάρτησης 3.1 Τριγωνομετρικοί Αριθμοί Γωνίας Επιστροφή στην αρχική σελίδα του μαθήματος

2.2 ΚΑΤΑΚΟΡΥΦΗ - ΟΡΙΖΟΝΤΙΑ ΜΕΤΑΤΟΠΙΣΗ ΚΑΜΠΥΛΗΣ

Κατακόρυφη μετατόπιση καμπύλης

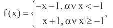
α) Ας θεωρήσουμε τη συνάρτηση ƒ(x) = |x| + 1. Επειδή

Εικόνα

η γραφική παράσταση της συνάρτησης ƒ(x) = |x| + 1, θα αποτελείται από τις ημιευθείες

✔ y = -x + 1, με x ≤ 0 και

✔ y = x + 1, με x ≥ 0,

που έχουν αρχή το σημείο 1 του άξονα y' y και είναι παράλληλες με τις διχοτόμους των γωνιών Εικόνα από τις οποίες, όπως είναι γνωστό, αποτελείται η γραφική παράσταση της φ(x) = |x| (Σχήμα).

Εικόνα

Επομένως, αν μετατοπίσουμε τη γραφική παράσταση της φ(x) = |x| κατακόρυφα(1) και προς τα πάνω κατά 1 μονάδα, τότε αυτή θα συμπέσει με τη γραφική παράσταση της ƒ(x) = |x| +1. Αυτό, άλλωστε, ήταν αναμενόμενο, αφού ισχύει:

ƒ(x) = φ(x) + 1, για κάθε x∈ℝ,

που σημαίνει ότι για κάθε x∈ℝ το ƒ(x) είναι κατά 1 μονάδα μεγαλύτερο του φ(x).

Γενικά :

Η γραφική παράσταση της συνάρτησης ƒ , με:

 

ƒ(x) = φ(x) + c, όπου c > 0 ,

 

προκύπτει από μια κατακόρυφη μετατόπιση της γραφικής παράστασης της φ κατά c μονάδες προς τα πάνω (Σχήμα α')

 

(1) Δηλαδή παράλληλα με τον άξονα y'y

Εικόνα

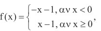
β) Ας θεωρήσουμε τη συνάρτηση ƒ(x) = |x| - 1. Επειδή

Εικόνα

η γραφική παράσταση της ƒ(x) = |x|-1, θα αποτελείται από τις ημιευθείες

✔ y = -x - 1, με x ≤ 0 και

✔ y = x - 1, με x ≥ 0,

που έχουν αρχή το σημείο -1 του άξονα y' y και είναι παράλληλες με τις διχοτόμους των γωνιώνΕικόνααπό τις οποίες αποτελείται η γραφική παράσταση της φ(x) = |x| (Σχήμα).

Εικόνα

Επομένως, αν μετατοπίσουμε τη γραφική παράσταση της φ(x) = |x| κατακόρυφα και προς τα κάτω κατά 1 μονάδα, τότε αυτή θα συμπέσει με τη γραφική παράσταση της ƒ(x) = |x| - 1. Αυτό, άλλωστε, ήταν αναμενόμενο, αφού ισχύει :

ƒ(x) = φ(x) - 1, για κάθε x∈ℝ,

που σημαίνει ότι για κάθε x∈ℝ το ƒ(x) είναι κατά 1 μονάδα μικρότερο του φ(x).

Γενικά:

Η γραφική παράσταση της συνάρτησης ƒ , με:

 

ƒ(x) = φ(x) - c, όπου c>0 ,

 

προκύπτει από μια κατακόρυφη μετατόπιση της γραφικής παράστασης της φ κατά c μονάδες προς τα κάτω (Σχήμα β')

Εικόνα

Οριζόντια μετατόπιση καμπύλης

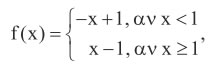
α) Ας θεωρήσουμε τη συνάρτηση ƒ(x) = |x - 1|. Επειδή

Εικόνα

η γραφική παράσταση της ƒ(x) = |x - 1|, θα αποτελείται από τις ημιευθείες

✔ y = -x + 1, με x ≤ 1 και

✔ y = x - 1, με x ≥ 1,

που έχουν αρχή το σημείο 1 του άξονα x'x και είναι παράλληλες με τις διχοτόμους των γωνιών Εικόνα από τις οποίες αποτελείται η γραφική παράσταση της φ(x) = |x| (Σχήμα).

Εικόνα

Επομένως, αν μετατοπίσουμε τη γραφική παράσταση της φ(x) = |x| οριζόντια(2) και προς τα δεξιά κατά 1 μονάδα, τότε αυτή θα συμπέσει με τη γραφική παράσταση της ƒ(x) = |x -1|. Αυτό, άλλωστε, ήταν αναμενόμενο, αφού ισχύει

ƒ(x) = φ(x - 1) , για κάθε x∈ℝ

που σημαίνει ότι η τιμή της ƒ(x) = |x -1| στη θέση x είναι ίδια με την τιμή της φ(x) = |x| στη θέση x - 1.

 

(2) Δηλαδή παράλληλα με τον άξονα x'x .

Γενικά:

Η γραφική παράσταση της συνάρτησης ƒ , με:

 

ƒ(x) = φ(x - c), όπου c>0,

 

προκύπτει από μια οριζόντια μετατόπιση της γραφικής παράστασης της φ κατά c μονάδες προς τα δεξιά (Σχήμα γ').

Πράγματι επειδή ƒ(x) = φ(x - c), η τιμή της ƒ στη θέση x είναι ίδια με την τιμή της φ στη θέση x - c, που βρίσκεται c μονάδες αριστερότερα της θέσης x. Άρα, η γραφική παράσταση της ƒ θα βρίσκεται c μονάδες δεξιότερα της γραφικής παράστασης της φ (Σχήμα γ').

Εικόνα

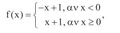
β) Ας θεωρήσουμε τη συνάρτηση ƒ(x) = |x + 1| . Επειδή

Εικόνα

η γραφική παράσταση της ƒ(x) = |x + 1|, θα αποτελείται από τις ημιευθείες

✔ y = -x - 1, με x ≤ -1 και

✔ y = x + 1, με x ≥ -1,

που έχουν αρχή το σημείο -1 του άξονα x' x και είναι παράλληλες με τις διχοτόμους των γωνιών Εικόνα από τις οποίες αποτελείται η γραφική παράσταση της φ(x) = |x| (Σχήμα).

Εικόνα

Επομένως, αν μετατοπίσουμε τη γραφική παράσταση της φ(x) = |x| οριζόντια και προς τα αριστερά κατά 1 μονάδα, τότε αυτή θα συμπέσει με τη γραφική παράσταση της ƒ(x) = |x + 1|. Αυτό, άλλωστε, ήταν αναμενόμενο, αφού ισχύει

ƒ(x) = φ(x + 1) , για κάθε x∈ℝ ,

που σημαίνει ότι η τιμή της ƒ(x) = |x + 1| στη θέση x είναι ίδια με την τιμή της φ(x) = |x| στη θέση x + 1.

Γενικά :

Η γραφική παράσταση της συνάρτησης ƒ , με:

 

ƒ(x) = φ(x + c), όπου c>0,

 

προκύπτει από μια οριζόντια μετατόπιση της γραφικής παράστασης της φ κατά c μονάδες προς τα αριστερά (Σχήμα δ').

Πράγματι επειδή ƒ(x) = φ(x + c), η τιμή της ƒ στη θέση x είναι ίδια με την τιμή της φ στη θέση x + c, που βρίσκεται c μονάδες δεξιότερα της θέσης x. Άρα, η γραφική παράσταση της ƒ θα βρίσκεται c μονάδες αριστερότερα της γραφικής παράστασης της φ (Σχήμα δ').

Εικόνα

ΕΦΑΡΜΟΓΗ

Να παραστεί γραφικά η συνάρτηση ƒ(x) = |x + 3| + 2:

ΛΥΣΗ

Αρχικά χαράσσουμε την y = |x + 3|, που όπως είδαμε προκύπτει από μια οριζόντια μετατόπιση της y = |x| κατά 3 μονάδες προς τα αριστερά. Στη συνέχεια χαράσσουμε την y = |x + 3| + 2,που όπως είδαμε προκύπτει από μια κατακόρυφη μετατόπιση της γραφικής παράστασης της y = |x + 3| κατά 2 μονάδες προς τα πάνω.

Επομένως, η γραφική παράσταση της

ƒ(x) = |x + 3| + 2

προκύπτει από δύο διαδοχικές μετατοπίσεις της συνάρτησης y = |x|, μιας οριζόντιας κατά 3 μονάδες προς τα αριστερά και μιας κατακόρυφης κατά 2 μονάδες προς τα πάνω (Σχήμα).

Εικόνα

ΣΗΜΕΙΩΣΗ:

Με ανάλογο τρόπο, δουλεύουμε για να παραστήσουμε γραφικά τις συναρτήσεις της μορφής:

ƒ(x) = φ(x ± c) ± d, με c, d > 0

Δηλαδή, αξιοποιούμε τόσο την οριζόντια όσο και την κατακόρυφη μετατόπιση καμπύλης.

ΑΣΚΗΣΕΙΣ

Α' ΟΜΑΔΑΣ
1. Στο ίδιο σύστημα συντεταγμένων να παραστήσετε γραφικά τις συναρτήσεις:

φ(x) = |x|,   ƒ(x) = |x| + 2   και   g(x) = |x| - 2.

2. Ομοίως για τις συναρτήσεις

φ(x) = |x|,   h(x) = |x + 2|   και   g(x) = |x - 2|.

3. Ομοίως για τις συναρτήσεις

φ(x) = |x|,   F(x) = |x + 2| + 1   και   g(x) = |x - 2| - 1.

4. Στο παρακάτω σχήμα δίνεται η γραφική παράσταση μιας συνάρτησης φ που αποτελείται από την διχοτόμο της δεύτερης γωνίας των αξόνων και από το ημικύκλιο που ανήκει στο 1ο τεταρτημόριο και έχει διάμετρο που ορίζουν τα σημεία O(0,0) και A(2,0).

Εικόνα

Στο ίδιο σύστημα συντεταγμένων να παραστήσετε γραφικά τις συναρτήσεις:

i) ƒ(x) = φ(x) + 2 και g(x) = φ(x) - 2

ii) h(x) = φ(x + 3) και q(x) = φ(x - 3)

iii) F(x) = φ(x + 3) + 2 και G(x) = φ(x - 3) - 2.

5. Δίνεται η συνάρτηση φ(x) = 2x2 -1. Να βρείτε τον τύπο της συνάρτησης ƒ της οποίας η γραφική παράσταση προκύπτει από δύο διαδοχικές μετατοπίσεις της γραφικής παράστασης της φ:

i) κατά 2 μονάδες προς τα δεξιά και κατά 1 μονάδα προς τα πάνω.

ii) κατά 3 μονάδες προς τα δεξιά και κατά 2 μονάδες προς τα κάτω.

iii) κατά 2 μονάδες προς τα αριστερά και κατά 1 μονάδες προς τα πάνω.

iv) κατά 3 μονάδες προς τα αριστερά και κατά 2 μονάδες προς τα κάτω.

ΕΡΩΤΗΣΕΙΣ ΚΑΤΑΝΟΗΣΗΣ 2ουΚΕΦΑΛΑΙΟΥ

I.

Σε καθεμιά από τις παρακάτω περιπτώσεις να κυκλώσετε το γράμμα Α, αν ο ισχυρισμός είναι αληθής και το γράμμα Ψ, αν ο ισχυρισμός είναι ψευδής.

 
1. Υπάρχει συνάρτηση της οποίας η γραφική παράσταση διέρχεται από τα σημεία Α (1,2) και Β(1,3). Α Ψ
2. Οι ευθείες y = α2 x - 2 και y = -x + 1 τέμνονται. Α Ψ
1. Αν μία συνάρτηση f είναι γνησίως αύξουσα, τότε η - ƒ είναι γνησίως φθίνουσα. Α Ψ
2. Μία γνησίως μονότονη συνάρτηση έχει το πολύ μία ρίζα. Α Ψ
3. Υπάρχει γνησίως μονότονη συνάρτηση που διέρχεται από τα σημεία Α (1,2), Β(2,1) και Γ (3,3). Α Ψ
4. Αν μια συνάρτηση ƒ είναι γνησίως φθίνουσα και έχει ρίζα τον αριθμό 1, τότε θα ισχύει ƒ(0) < 0 . Α Ψ
5. Αν μια συνάρτηση ƒ είναι γνησίως μονότονη και η γραφική της παράσταση διέρχεται από τα σημεία Α (1,2) και Β (2,5), τότε η ƒ είναι γνησίως αύξουσα. Α Ψ
6. Αν η μέγιστη τιμή μιας συνάρτησης ƒ είναι ίση με 1, τότε η εξίσωση ƒ(x) = 2 είναι αδύνατη. Α Ψ
7. Η συνάρτηση F:=[-1,2]→R με ƒ(x) = 3x2 είναι άρτια. Α Ψ
8. Αν μια συνάρτηση είναι άρτια ή περιττή και έχει ρίζα τον αριθμό ρ, τότε θα έχει ρίζα και τον αριθμό -ρ. Α Ψ
9. Αν μία συνάρτηση ƒ είναι άρτια, τότε η ƒ δεν είναι γνησίως μονότονη. Α Ψ
10. Αν μία συνάρτηση ƒ είναι άρτια, τότε η -ƒ είναι περιττή. Α Ψ
II. Να επιλέξετε τη σωστή απάντηση για την παρακάτω συνάρτηση ƒ.
 

Η συνάρτηση ƒ, της οποίας η γραφική παράσταση προκύπτει από δύο διαδοχικές μετατοπίσεις της γραφικής παράστασης της συνάρτησης φ(x) = 3x4 μιας οριζόντιας κατά 1 μονάδα προς τα αριστερά και μιας κατακόρυφης κατά 2 μονάδες προς τα πάνω, έχει τύπο :

Α) f (x) = 3(x-1)4 + 2            Β) f (x) = 3(x-1)4 - 2

Γ) f (x) = 3(x+1)4 + 2            Δ) f (x) = 3(x+1)4 - 2