Μαθηματικά (Β Λυκείου Θετικών Σπουδών) - Βιβλίο Μαθητή
2.1 Η ΕΥΘΕΙΑ ΣΤΟ ΕΠΙΠΕΔΟ 2.3 ΕΜΒΑΔΟΝ ΤΡΙΓΩΝΟΥ Επιστροφή στην αρχική σελίδα του μαθήματος

2.2 ΓΕΝΙΚΗ ΜΟΡΦΗ ΕΞΙΣΩΣΗΣ ΕΥΘΕΙΑΣ

Η Εξίσωση Ax + By + Γ =0, με Α Εικόνα0 ή Β Εικόνα0

Εικόνα

• Έστω ε μια ευθεία στο καρτεσιανό επίπεδο.
— Αν η ευθεία ε τέμνει τον άξονα yy' στο σημείο Σ(0,β) και έχει συντελεστή διεύθυνσης λ, τότε θα έχει εξίσωση Εικόνα η οποία γράφεται Εικόνα

• Αν η ευθεία ε είναι κατακόρυφη και διέρχεται από το σημείο P(x0,y0), τότε θα έχει εξίσωση x=x0, η οποία γράφεται ισοδύναμα

Εικόνα

Εικόνα

Βλέπουμε, δηλαδή, ότι και στις δύο περιπτώσεις η εξίσωση της ευθείας ε παίρνει τη μορφή Ax + By + Γ =0 με Εικόνα

• Αντιστρόφως, έστω η εξίσωση με Ax + By + Γ =0 με Εικόνα
— Αν Εικόνα τότε η εξίσωση γράφεται Εικόνα , που είναι εξίσωση ευθείας με συντελεστή διεύθυνσης Εικόνα και η οποία τέμνει τον άξονα yy' στο σημείο Εικόνα
— Αν B=0, τότε, λόγω της υπόθεσης, είναι Εικόνα και η εξίσωση γράφεται Εικόνα που είναι εξίσωση ευθείας κάθετης στον άξονα x'x στο σημείο του Εικόνα.

Σε όλες λοιπόν τις περιπτώσεις η εξίσωση Εικόνα παριστάνει ευθεία. Αποδείξαμε, δηλαδή, ότι ισχύει το επόμενο θεώρημα:


ΘΕΩΡΗΜΑ

Κάθε ευθεία του επιπέδου έχει εξίσωση της μορφής

                           Εικόνα       (1)

και αντιστρόφως, κάθε εξίσωση της μορφής (1) παριστάνει ευθεία γραμμή.

Για παράδειγμα, η εξίσωση 2x + y -6 = 0 παριστάνει ευθεία. Η εξίσωση αυτή γράφεται στη μορφή y= - 2x +6 και βλέπουμε ότι έχει συντελεστή διεύθυνσης λ= -2 και τέμνει τον άξονα yy' στο σημείο (0,6).

Διάνυσμα Παράλληλο ή Κάθετο σε Ευθεία

Έστω Oxy ένα σύστημα συντεταγμένων στο επίπεδο και ε μια ευθεία του επιπέδου με εξίσωση Ax +By + Γ =0 . Είδαμε προηγουμένως ότι:

— Αν Εικόνα τότε η ε έχει συντελεστή διεύθυνσης Εικόνα και επομένως είναι παράλληλη προς το διάνυσμα Εικόνα

— Αν B=0, τότε η ε είναι παράλληλη προς τον άξονα yy' και επομένως παράλληλη και πάλι προς το διάνυσμα Εικόνα Σε κάθε περίπτωση λοιπόν ισχύει ότι:


Η ευθεία με εξίσωση Ax +By + Γ =0 είναι παράλληλη στο διάνυσμα Εικόνα

Εικόνα

Όμως, το διάνυσμα Εικόνα είναι κάθετο στο διάνυσμα Εικόνα , αφού

Εικόνα

Επομένως:

Η ευθεία με εξίσωση Ax +By + Γ =0 είναι κάθετη στο διάνυσμα Εικόνα.

Για παράδειγμα, η ευθεία 2x -y +4 = 0 είναι παράλληλη στο διάνυσμα Εικόνα και κάθετη στο διάνυσμα Εικόνα




ΕΦΑΡΜΟΓΕΣ

1. Δίνεται η εξίσωση:

Εικόνα

(i) Να αποδειχτεί ότι

—Για κάθε τιμή της παραμέτρου λ η εξίσωση (1) παριστάνει ευθεία γραμμή

—Όλες οι ευθείες που ορίζονται από την εξίσωση (1) (Οικογένεια ευθειών) διέρχονται από το ίδιο σημείο.

(ii) Ποια από τις παραπάνω ευθείες είναι κάθετη στην ευθεία ζ : y = 2x;


ΑΠΟΔΕΙΞΗ

(i) Η εξίσωση (1) γράφεται ισοδύναμα

Εικόνα

Επειδή δεν υπάρχει τιμή του λ για την οποία να μηδενίζονται και ο συντελεστής του x και ο συντελεστής του y, η εξίσωση (2) παριστάνει ευθεία για κάθε τιμή του Εικόνα

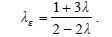
Για να δείξουμε ότι όλες οι ευθείες της οικογένειας (1) διέρχονται από το ίδιο σημείο, αρκεί να βρούμε ένα σημείο K(x0,y0) του οποίου οι συντεταγμένες να επαληθεύουν την (1) για όλες τις τιμές του λ. Το ζητούμενο σημείο θα είναι εκείνο του οποίου οι συντεταγμένες μηδενίζουν τις παραστάσειςΕικόνα , δηλαδή η λύση του συστήματος


Από την επίλυση του συστήματος βρίσκουμε ότι x0= -3 και y0= 1. Επομένως, όλες οι ευθείες της οικογένειας (1) διέρχονται από το σημείο K(-3,1).

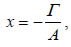
(ii) Έστω ε ευθεία της οικογένειας (1) που είναι κάθετη στην ευθεία ζ. Τότε θα ισχύει

Εικόνα

όμως, λόγω της (2), ο συντελεστής διεύθυνσης της ευθείας ε είναι ίσος με

Εικόνα

Επομένως, από την (3) έχουμε

Εικόνα

οπότε η ευθεία ε θα έχει εξίσωση -2x -4y -2= 0 που γράφεται

Εικόνα

2. Δίνεται τρίγωνο ΑΒΓ με κορυφές Α(2,3), Β(4,1) και Γ(5λ-1,λ), Εικόνα. Να αποδείξετε ότι το κέντρο βάρους του τριγώνου κινείται σε μια ευθεία, καθώς το λ μεταβάλλεται στο R.


ΛΥΣΗ

Αν G(x,y) το κέντρο βάρους του τριγώνου, τότε Εικόνα καιΕικόνα Έχουμε λοιπόν το σύστημα Εικόνα

Απαλείφουμε το λ από τις εξισώσεις και βρίσκουμε 3x -15y + 15=0 ή ισοδύναμα x -5y +5 =0. Άρα, το κέντρο βάρους του τριγώνου ABΓ κινείται στην ευθεία x -5y +5 =0.

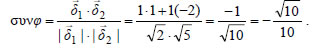
3. Να βρεθεί η οξεία γωνία των ευθειών ε1 : x - y +1 =0 και ε2 : 2x + y -3 =0.


ΛΥΣΗ

Οι ευθείες ε1 και ε2 έχουν συντελεστές διεύθυνσης λ1 = 1 και λ2= -2. Άρα, είναι παράλληλες προς τα διανύσματα και Εικόνα. Επομένως, η οξεία γωνία θ των ευθειών ε1 και ε2 είναι ίση ή παραπληρωματική της γωνίας φ των διανυσμάτων Εικόνα. Όμως, είναι:

Εικόνα

Επομένως Εικόνα, οπότε Εικόνα.

Ασκήσεις

Α' ΟΜΑΔΑΣ
1.

Να αποδείξετε ότι για κάθε πραγματική τιμή του μ η εξίσωση (μ - 1)x + μy +μ 2=0 παριστάνει ευθεία γραμμή. Πότε η ευθεία αυτή είναι παράλληλη προς τον άξονα x'x, πότε προς τον y'y και πότε διέρχεται από την αρχή των αξόνων;

2.

Να βρείτε την εξίσωση της ευθείας η οποία διέρχεται από το σημείο A( -2,3) και είναι κάθετη στην ευθεία 2x -3y +6 =0. Ποιο είναι το σημείο τομής των δύο ευθειών;

3.

Να βρείτε την εξίσωση της ευθείας η οποία διέρχεται από το σημείο τομής των ευθειών 2x - 5y +3 =0 και x - 3y -7 =0 και είναι κάθετη στην ευθεία 4x +y =1.

4.

Τα σημεία A( -4,6) και Γ( -1,1) είναι οι απέναντι κορυφές ενός παραλληλόγραμμου ΑΒΓΔ. Οι πλευρές ΒΓ και ΓΔ του παραλληλόγραμμου ανήκουν στις ευθείες με εξισώσεις x + 3y = 2 και x − y +2 = 0 αντιστοίχως. Να υπολογίσετε:

(i)   Τις συντεταγμένες της κορυφής Δ.
(ii)   Το συνημίτονο της οξείας γωνίας των διαγωνίων του παραλληλόγραμμου.

5.

Να βρείτε την τιμή του Εικόνα,ώστε οι ευθείες (λ -1)x + λy + 8= 0 και λx + 3y + 1 -2λ =0 να είναι κάθετες.

6.

Να βρείτε την τιμή του Εικόνα, ώστε η ευθεία 3x + 3y +κ =0 να διέρχεται από το σημείο τομής των ευθειών 3x + 4y+ 6=0 και 6x +5y -9=0.


Β' ΟΜΑΔΑΣ
1.

Να σχεδιάσετε τις γραμμές τις οποίες παριστάνουν οι εξισώσεις:

(i)    x2 - y 2 + 4y -4 =0      (ii) x2 - y 2 - 4x + 2y +3 =0

2.

Να αποδείξετε ότι όλες οι ευθείες της μορφής

Εικόνα

διέρχονται από το ίδιο σημείο.

3.

Να αποδείξετε ότι οι ευθείες x +4y= 5,  3x -2y= 1  και  7x -8y +1 =0 διέρχονται από το ίδιο σημείο.

4.

Να βρείτε την οξεία γωνία την οποία σχηματίζουν οι ευθείες y= μx και (1 + μ)x =(1 - μ)y.

5.

Να βρείτε την εξίσωση της ευθείας η οποία διέρχεται από την αρχή των αξόνων και από το σημείο τομής των ευθειών Εικόνα

6.

Δίνεται η ευθεία 3x + y =3 και το σημείο A(1,2). Να βρείτε τις συντεταγμένες της προβολής του A στην ευθεία αυτή.

7.

Δίνεται η ευθεία Εικόνα. Να βρείτε την εξίσωση της ευθείας η οποία είναι κάθετη στην ε στο σημείο που αυτή τέμνει τον άξονα x'x.