Μαθηματικά (Β Λυκείου Θετικών Σπουδών) - Βιβλίο Μαθητή
2.2 ΓΕΝΙΚΗ ΜΟΡΦΗ ΕΞΙΣΩΣΗΣ ΕΥΘΕΙΑΣ 3.1 Ο ΚΥΚΛΟΣ Επιστροφή στην αρχική σελίδα του μαθήματος

2.3 ΕΜΒΑΔΟΝ ΤΡΙΓΩΝΟΥ

Απόσταση Σημείου από Ευθεία

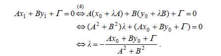
Έστω ε μια ευθεία του καρτεσιανού επιπέδου, με εξίσωση Ax + By + Γ = 0 και M 0(x0,y0) ένα σημείο εκτός αυτής. Θέλουμε να υπολογίσουμε την απόσταση

Εικόνα

d(M0, ε) του σημείου M0 από την ευθεία ε. Αν M1(x1,y1) είναι η προβολή του M0 πάνω στην ε, τότε θα ισχύει

Εικόνα

Όμως το διάνυσμα Εικόνα είναι παράλληλο προς το Εικόνα, αφού και τα δύο είναι κάθετα στην ευθεία ε. Άρα, θα υπάρχει Εικόνα, τέτοιο, ώστε

Εικόνα

οπότε, λόγω της (1), θα ισχύει

Εικόνα

Επιπλέον, λόγω της (2), έχουμε Εικόνα, οπότε

Εικόνα

Όμως το M1(x1,y1) ανήκει στην ε. Άρα, θα ισχύει

Εικόνα

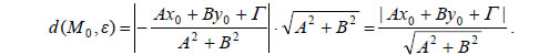
Επομένως, λόγω της (3), θα έχουμε

Εικόνα

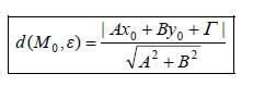
Αποδείξαμε δηλαδή ότι:

Εικόνα

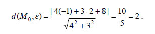
Για παράδειγμα, η απόσταση του σημείου M0( -1,2) από την ευθεία ε : 4x + 3y + 8 =0 είναι ίση με

Εικόνα

Υπολογισμός Εμβαδού

Εικόνα

Έστω A(x1,y1), B(x2,y2) και Γ(x3,y3) τρία σημεία του καρτεσιανού επιπέδου. Θέλουμε να υπολογίσουμε το εμβαδόν του τριγώνου ΑΒΓ.

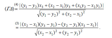
Αν ΓΔ είναι το ύψος του ΑΒΓ από την κορυφή Γ, τότε θα ισχύει

Εικόνα

Το (ΑΒ) είναι η απόσταση των σημείων A(x1,y1) και B(x2,y2). Επομένως,

Εικόνα

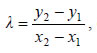
Το (ΓΔ) είναι η απόσταση του σημείου Γ από την ευθεία . Για να την υπολογίσουμε, θα βρούμε πρώτα την εξίσωση της ΑΒ.

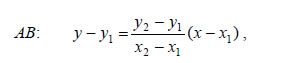
Η ΑΒ, αν δεν είναι παράλληλη προς τον άξονα y'y, θα έχει συντελεστή διεύθυνσης Εικόνα οπότε θα έχει εξίσωση

Εικόνα

η οποία γράφεται ισοδύναμα

Εικόνα

Αν, όμως, η ΑΒ είναι παράλληλη προς τον άξονα y'y, τότε θα έχει εξίσωση x = x1, η οποία παίρνει και αυτή τη μορφή (3).

Η εξίσωση (3), μετά την εκτέλεση των πράξεων, γράφεται

Εικόνα

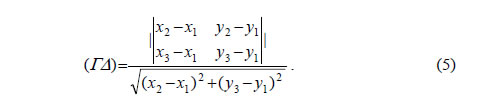
Επομένως, η απόσταση (ΓΔ) του Γ από την ευθεία ΑΒ είναι ίση με

Εικόνα

Άρα,

Εικόνα

Έτσι, η ισότητα (1), λόγω του (2) και (5), γράφεται

Εικόνα

Όμως, η 1η γραμμή της ορίζουσας είναι οι συντεταγμένες του διανύσματος Εικόνα και η 2η γραμμή οι συντεταγμένες του διανύσματος Εικόνα. Επομένως, η ορίζουσα αυτή είναι ίση με την ορίζουσα Εικόνα των διανυσμάτων Εικόνα και Εικόνα. Έτσι, η σχέση (6) γράφεται

Εικόνα

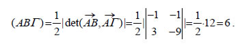
Για παράδειγμα, αν A(0,1), B(-1,0) και Γ(3,-8) είναι οι κορυφές ενός τριγώνου ΑΒΓ, τότε Εικόνα, οπότε το εμβαδόν του ΑΒΓ είναι

Εικόνα





ΕΦΑΡΜΟΓΕΣ

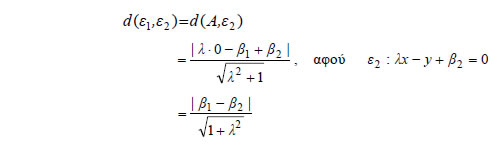
1. Να αποδειχτεί ότι η απόσταση των ευθειών ε1: y= λx + β1 και ε2: y= λx + β2 δίνεται από τον τύπο

Εικόνα

ΑΠΟΔΕΙΞΗ

Η απόσταση των ε1 και ε2 είναι ίση με την απόσταση οποιουδήποτε σημείου της ευθείας ε1 από την ευθεία ε2.

Για x=0, από την πρώτη εξίσωση βρίσκουμε ότι y=β1. Άρα, το σημείο A(0,β1)

ανήκει στην ε1 , οπότε έχουμε

Εικόνα

2. Θεωρούμε τα σημεία Α(-3,0), Β(-2,0) και Γ(-4,2). Να βρεθεί ο γεωμετρικός τόπος των σημείων Μ(x,y) για τα οποία ισχύει: (ΜΒΓ)=2(ΑΒΓ)

ΛΥΣΗ

Εικόνα

Το εμβαδόν του τριγώνου ΑΒΓ είναι ίσο με

Εικόνα

ενώ του (ΜΒΓ) είναι ίσο με

Εικόνα

Επομένως, το M(x,y) είναι σημείο του γεωμετρικού τόπου, αν και μόνο αν ισχύει

Εικόνα

Άρα, ο ζητούμενος γεωμετρικός τόπος αποτελείται από τις ευθείες

Εικόνα

οι οποίες είναι παράλληλες προς τη ΒΓ.

ΑΣΚΗΣΕΙΣ

Α' ΟΜΑΔΑΣ
1.

Να βρείτε την απόσταση του σημείου A(-2,3) από την ευθεία

(i)    x+y+1=0       (ii) y=2x-3
(iii)   x/2 + y/3= 1      (iv) 5x + 3y +1= 0

2.

Δίνονται οι ευθείες ε1:5x -8y -51=0 και ε2:5x -8y +68=0.
(i) Να δείξετε ότι Εικόνα

(ii) Να υπολογίσετε τις αποστάσεις της αρχής των αξόνων από τις ε1 και ε2

(iii) Να υπολογίσετε την απόσταση των ε1 και ε2.

3.

Δίνονται οι ευθείες ε1:4x -3y -9=0 και ε2:4x -3y -24=0.
(i) Να δείξετε ότι Εικόνα


(ii) Να βρείτε ένα σημείο της ε1 και στη συνέχεια να υπολογίσετε την απόσταση των ε1 και ε2.

4.

Ποιο σημείο της ευθείας 2x -3y=30 ισαπέχει από τα σημεία A(1,3)και B(7,9) ;

5.

Να βρείτε την εξίσωση της ευθείας η οποία έχει συντελεστή διεύθυνσης λ= -3 και απέχει από την αρχή των αξόνων απόσταση ίση με 5 μονάδες.

6.

Η ευθεία ε:3x -2y +1=0 είναι μεσοπαράλληλη δύο παράλληλων ευθειών ε1 και ε2, που απέχουν 8 μονάδες. Να βρείτε τις εξισώσεις των ευθειών αυτών.

7.

Να βρείτε το εμβαδόν του τριγώνου με κορυφές:
(i) A(0,0), B(6,0), Γ(4,3)   (ii) A( -2,4), B(2, -6), Γ(5,4)
(iii) A(1,2), B(3,4), Γ( -5, -4)

8.

Δίνονται τα σημεία A(5,1) και B(1,3). Να βρείτε το σημείο M του άξονα x'x , για το οποίο το εμβαδόν του τριγώνου MAB είναι ίσο με 7.

9.

Δίνονται τα σημεία A(3,4) και B(5, -2). Να βρείτε το σημείο M, τέτοιο, ώστε MA=MB και (MAB)=10.

10.

Ενός παραλληλόγραμμου ΑΒΓΔ οι τρεις κορυφές του έχουν συντεταγμένες ( -3,1), ( -2,3) και (4, -5). Να υπολογίσετε το εμβαδόν του παραλληλόγραμμου.


Β' ΟΜΑΔΑΣ
1.

1. Να βρείτε την εξίσωση της ευθείας, η οποία διέρχεται από την αρχή των αξόνων και ισαπέχει από τα σημεία A( -2,0) και B(0,2) .

2.

Να βρείτε το σημείο του άξονα x'x, το οποίο ισαπέχει από την αρχή των αξόνων O και από την ευθεία 5x+12y -60=0 .

3.

Να βρείτε τις εξισώσεις των ευθειών οι οποίες διέρχονται από το σημείο M(1,2) και σχηματίζουν με τους άξονες τρίγωνο με εμβαδόν E=4 .

4.

Να βρείτε τις εξισώσεις των ευθειών οι οποίες διέρχονται από την αρχή των αξόνων 0 και απέχουν από το σημείο A( -1,3) απόσταση ίση με 1.

5.

Να βρείτε τα σημεία της ευθείας x -y+2=0, τα οποία απέχουν από την ευθεία 12x -5y+60=0 απόσταση ίση με 1.

6.

Να δείξετε ότι τα σημεία A(α,β), Β(γ,δ) και Γ(α-γ, β-δ) είναι συνευθειακά, αν και μόνο αν αδ=βγ.

7.

Δίνονται τα σημεία A(α,0) και Β(0,β). Αν η μεσοκάθετος του ΑΒ τέμνει τους άξονες στα σημεία P(p,0) και Q(0,q) , να δείξετε ότι:
(i) aq + βp=2pq    (ii) ap + βq=0.
Στη συνέχεια να εκφράσετε τα p και q συναρτήσει των α και β.

8.

Να βρείτε τις εξισώσεις των διχοτόμων των γωνιών που σχηματίζουν οι ευθείες 3x-4y+1=0 και 5x+12y+4=0.

9.

Να βρείτε την εξίσωση της ευθείας η οποία διέρχεται από το σημείο τομής των ευθειών x -y+1=0 και 2x -3y+5=0 και απέχει από το σημείο A(3,2) απόσταση ίση με 7/5.

10.

Δίνονται τα σημεία A( -1, -2) και B(3,1). Να βρείτε το σύνολο των σημείων M για τα οποία ισχύει (MAB)=8


ΓΕΝΙΚΕΣ ΑΣΚΗΣΕΙΣ

1.

Να βρείτε την εξίσωση της ευθείας, η οποία διέρχεται από το σημείο M(1,0) και τέμνει τις ευθείες y=x+2 και y=x στα σημεία A και B αντιστοίχως, έτσι, ώστε (AB)=2 .

2.

Να αποδείξετε ότι οι ευθείες λx+(λ -1)y=2λ και (λ+1)x+ λy=2λ+1 τέμνονται για όλες τις τιμές του Εικόνα . Ποιος είναι ο γεωμετρικός τόπος των σημείων τομής τους;

3.

Αν οι τρεις ευθείες ακx+βκy=1, με κ=1,2,3,, διέρχονται από το ίδιο σημείο, να αποδείξετε ότι τα σημεία κκ) , κ=1,2,3, είναι συγγραμμικά.

4.

Να βρείτε την ευθεία η οποία συνδέει το σημείο Α(α,β) με το σημείο τομής των ευθειών Εικόνα .

5.

Αν οι ευθείες Εικόνα είναι παράλληλες με Α > α και β > 0 , να δείξετε ότι η απόσταση μεταξύ των ευθειών είναι Εικόνα .

6.

Να δείξετε ότι:
(i) Η εξίσωση x2 -4xy +y2=0 παριστάνει δύο ευθείες.
(ii) Καθεμιά σχηματίζει με την x -y=0 γωνία Εικόνα .

7.

Να βρείτε συνθήκη, ώστε:
(i) Η ευθεία αx + βy +γ=0 να ορίζει με τους άξονες ισοσκελές τρίγωνο
(ii) Ο άξονας x'x να διχοτομεί τη γωνία των ευθειών με εξισώσεις ε11x +β1y=0 και ε22x +β2y=0 .

8.

Να βρείτε συνθήκη μεταξύ των α,β,γ, έτσι ώστε η ευθεία αx+βy+γ =0
(i) Να τέμνει το θετικό ημιάξονα Ox και τον αρνητικό Oy'
(ii) Να μην έχει κανένα σημείο της στο (Ι) τεταρτημόριο.


ΕΡΩΤΗΣΕΙΣ ΚΑΤΑΝΟΗΣΗΣ

1.

Σε καθέναν από τους παρακάτω ισχυρισμούς να κυκλώσετε το Α, αν είναι αληθής, και το Ψ, αν είναι ψευδής:

Εικόνα
2.

Να αντιστοιχίσετε κάθε σημείο της πρώτης στήλης στην ευθεία της δεύτερης στήλης στην οποία ανήκει:

Εικόνα
3.

Να κυκλώσετε τη σωστή κάθε φορά απάντηση:
• Οι ευθείες 2x -y-4=0 και x -3y+3=0 τέμνονται στο σημείο:

Εικόνα

• Αν η ευθεία Ax+By+Γ=0 έχει συντελεστή διεύθυνσης , τότε συμπεραίνουμε ότι:

Εικόνα

• Μια ευθεία κάθετη στην ευθεία ε:y = x είναι η :

Εικόνα

4.

Δίνεται η ευθεία ε:y=3x +8. Να γράψετε :
• Δύο ευθείες παράλληλες στην ε
• Δύο ευθείες κάθετες στην ε
• Την ευθεία την παράλληλη στην ε που διέρχεται από την αρχή των αξόνων
• Την ευθεία την κάθετη στην ε που διέρχεται από την αρχή των αξόνων.

5.

Να κυκλώσετε την ευθεία που απέχει τη μεγαλύτερη απόσταση από την αρχή των αξόνων:

Εικόνα

6.

Οι ευθείες 2x+y+2=0 και 2x-y+2=0 , είναι:
Α. Παράλληλες                                      Β. Κάθετες
Γ. Συμμετρικές ως προς τον άξονα x'x      Δ. Συμμετρικές ως προς τον άξονα y'y.