Μαθηματικά (Β Λυκείου Θετικών Σπουδών) - Βιβλίο Μαθητή
1.5 ΕΣΩΤΕΡΙΚΟ ΓΙΝΟΜΕΝΟ ΔΙΑΝΥΣΜΑΤΩΝ 2.2 ΓΕΝΙΚΗ ΜΟΡΦΗ ΕΞΙΣΩΣΗΣ ΕΥΘΕΙΑΣ Επιστροφή στην αρχική σελίδα του μαθήματος

2Η ΕΥΘΕΙΑ ΣΤΟ ΕΠΙΠΕΔΟ

Εισαγωγή

Η ιδέα της χρησιμοποίησης ενός συστήματος συντεταγμένων για τον προσδιορισμό της θέσης ενός σημείου πάνω σε μια επιφάνεια προέρχεται από την Γεωγραφία και ήταν γνωστή στους αρχαίους γεωγράφους. Στην εφαρμογή αυτής της ιδέας στη Γεωμετρία στηρίζεται η έννοια της εξίσωσης μιας καμπύλης, δηλαδή της αλγεβρικής ισότητας που ικανοποιείται από τις συντεταγμένες των σημείων της καμπύλης (και μόνο αυτών). Η έννοια αυτή θεωρείται σήμερα τόσο απλή, ώστε η διδασκαλία της να αρχίζει από το Γυμνάσιο. Στην πραγματικότητα όμως η εξέλιξή της χρειάστηκε πολύ χρόνο και υπήρξε το αποτέλεσμα μιας σύνθεσης ανάμεσα στη Γεωμετρία και στην Άλγεβρα, με επαναστατικές συνέπειες για τα Μαθηματικά και τις Θετικές Επιστήμες.

Η ανάγκη και τα πρώτα ίχνη ενός "συστήματος αναφοράς" εμφανίζονται στην αρχαία ελληνική Γεωμετρία κατά τη μελέτη των κωνικών τομών (δηλαδή της παραβολής, της υπερβολής και της έλλειψης, τις οποίες θα μελετήσουμε παρακάτω). Ο Απολλώνιος στο 1ο βιβλίο των "Κωνικών", αφού ορίζει αυτές τις καμπύλες στερεομετρικά ως τομές του κώνου από ένα επίπεδο, χρησιμοποιεί δύο συγκεκριμένες ευθείες του σχήματος, για να αποδείξει χαρακτηριστικές ιδιότητες κάθε καμπύλης.

Εικόνα

Για παράδειγμα, στην παραβολή του διπλανού σχήματος αποδεικνύει ότι αν φέρουμε την κάθετη ΚΛ ("τεταγμένως καταγόμενη") από σημείο της καμπύλης προς τη διάμετρο ΖΗ, τότε το τετράγωνο με πλευρά ΚΛ είναι ισοδύναμο με το ορθογώνιο που έχει πλευρές ΖΛ, ΖΘ, όπου ΖΘ ένα τμήμα κάθετο στην ΖΗ στην κορυφή καμπύλης (το μήκος του οποίου προσδιορίζεται από το είδος του κώνου και από τη θέση του τέμνοντος επιπέδου).

Εικόνα

Η σχέση Εικόνα "ισοδυναμεί" βέβαια με τη σύγχρονη εξίσωση Εικόνα της παραβολής, όπου οι συντεταγμένες των σημείων της ως προς ένα ορθογώνιο σύστημα συντεταγμένων με άξονες τον άξονα συμμετρίας της παραβολής και την κάθετη σ'αυτόν στην κορυφή της.

Η βασική διαφορά ανάμεσα στην αρχαία και στη σύγχρονη μέθοδο βρίσκεται στο γεγονός ότι η τελευταία χρησιμοποιεί τη συμβολική αναπαράσταση των γεωμετρικών σχέσεων και αξιοποιεί την ευελιξία του αλγεβρικού λογισμού (που εκφράζεται με τη χρήση αρνητικών συντεταγμένων κτλ.). Αυτό το αποφασιστικό βήμα έγινε γύρω στο 1630 από τους R. Descartes και P. Fermat, οι οποίοι επιχείρησαν να χρησιμοποιήσουν στη μελέτη δύσκολων προβλημάτων της αρχαίας ελληνικής Γεωμετρίας τη συμβολική Άλγεβρα που είχε δημιουργηθεί στη διάρκεια του 16ου αιώνα από τους Cardano, Viete κ.ά. Στα έργα των Descartes και Fermat δεν υπάρχουν οι άξονες συντεταγμένων ή οι εξισώσεις των καμπύλων που χρησιμοποιούμε σήμερα, αλλά περιγράφεται με συστηματικό τρόπο η διαδικασία αναγωγής ενός γεωμετρικού προβλήματος σε αλγεβρικό (ή αντίστροφα). Ιδιαίτερη επίδραση είχε το έργο του Descarte "La Gιomιtrie" (1637), στο οποίο –ακριβώς για να γίνει πιο αποτελεσματική η χρήση του αλγεβρικού λογισμού στη Γεωμετρία– εισάγονται νέοι συμβολισμοί (όπως, για παράδειγμα, η εκθετική γραφή των δυνάμεων), που φέρνουν ουσιαστικά την Άλγεβρα στη σημερινή μορφή της.

Ύστερα από την πρώτη σύνθεση της Άλγεβρας και της Γεωμετρίας, οι εξελίξεις υπήρξαν ραγδαίες και οδήγησαν στην κεντρική έννοια της σύγχρονης Αναλυτικής Γεωμετρίας:

"Η εξίσωση μιας καμπύλης, από βοηθητικό μέσο για τη λύση ενός γεωμετρικού προβλήματος, γίνεται μέσο ορισμού και αναπαράστασης αυτής της καμπύλης".

Ο J. Wallis, στο βιβλίο του "Tractatus de sectionibus conicis" (1655), ορίζει την έλλειψη, την παραβολή και την υπερβολή τόσο με τον κλασικό τρόπο, ως τομές κώνου, όσο και με εξισώσεις 2ου βαθμού, ενώ ο I. Newton το 1676 χρησιμοποιεί με συστηματικό τρόπο δύο άξονες και αρνητικές συντεταγμένες, για να μελετήσει και να ταξινομήσει τις καμπύλες τρίτου βαθμού. Στην εργασία επίσης του Newton "Artis analyticae specimina vel geometria analytica" (που δημοσιεύτηκε το 1779) χρησιμοποιείται για πρώτη φορά ο όρος "Αναλυτική Γεωμετρία". Οι εξελίξεις αυτές, που έλαβαν χώρα παράλληλα με τη δημιουργία του διαφορικού και ολοκληρωτικού λογισμού, διαμόρφωσαν ένα νέο κλάδο των Μαθηματικών. Ο 2ος τόμος του κλασικού έργου του L. Euler "Introductio in analysin infinitorum" (1748) αποτελεί ένα πλήρες διδακτικό εγχειρίδιο

Αναλυτικής Γεωμετρίας, στο οποίο οι καμπύλες του επιπέδου και οι επιφάνειες του χώρου ορίζονται και εξετάζονται αποκλειστικά μέσω των εξισώσεών τους ως προς ένα πλαγιογώνιο σύστημα συντεταγμένων.

2.1 ΕΞΙΣΩΣΗ ΕΥΘΕΙΑΣ

Εξίσωση Γραμμής

Εικόνα

Αν έχουμε μια εξίσωση με δύο αγνώστους, για παράδειγμα την y=x2, τότε λύση της εξίσωσης αυτής λέγεται κάθε ζεύγος αριθμών (x,y) που την επαληθεύει.

Έτσι, για παράδειγμα, τα ζεύγη (1,1), (2,4), (3,9), (0,0), (1/2,1/4), (√3,3) είναι λύσεις της y=x2. Αν τώρα σε ένα σύστημα συντεταγμένων παραστήσουμε με σημεία όλες τις λύσεις της εξίσωσης y=x2, τότε θα προκύψει η γραμμή C, του διπλανού σχήματος που, όπως γνωρίζουμε από προηγούμενες τάξεις λέγεται παραβολή.

Επειδή οι συντεταγμένες (x,y) των σημείων M(x,y) της παραβολής C, και μόνο αυτές, επαληθεύουν την εξίσωση y=x2, γι'αυτό η εξίσωση y=x2 λέγεται εξίσωση της παραβολής C. Γενικά:

Μια εξίσωση με δύο αγνώστους x,y λέγεται εξίσωση μιας γραμμής C, όταν οι συντεταγμένες των σημείων της C, και μόνο αυτές, την επαληθεύουν.

Στη συνέχεια, αντί να λέμε, για παράδειγμα, "δίνεται η παραβολή C με εξίσωση y=x2 ", θα λέμε "δίνεται η παραβολή Εικόνα " ή απλώς "δίνεται η παραβολή y=x2 "

Με τις εξισώσεις των γραμμών μπορούμε με αλγεβρικές μεθόδους να μελετήσουμε τις γεωμετρικές ιδιότητες των γραμμών αυτών ή να

αντιμετωπίσουμε διάφορα άλλα συναφή προβλήματα. Αυτό είναι και το βασικό αντικείμενο της Αναλυτικής Γεωμετρίας.

Συντελεστής Διεύθυνσης Ευθείας

Η ευθεία γραμμή είναι η απλούστερη και η πιο συχνά χρησιμοποιούμενη γραμμή. Στην αναζήτηση της εξίσωσης μιας ευθείας θα μας διευκολύνει η έννοια του συντελεστή διεύθυνσης ευθείας.

• Έστω Oxy ένα σύστημα συντεταγμένων στο επίπεδο και ε μια ευθεία που τέμνει τον άξονα x'x στο σημείο Α.

Εικόνα

Τη γωνία ω που διαγράφει ο άξονας x'x όταν στραφεί γύρω από το Α κατά τη θετική φορά μέχρι να συμπέσει με την ευθεία ε τη λέμε γωνία που σχηματίζει η ε με τον άξονα x'x. Αν η ευθεία ε είναι παράλληλη προς τον άξονα x'x, τότε λέμε ότι σχηματίζει με αυτόν γωνία ω=0. Σε κάθε περίπτωση για τη γωνία ω ισχύει Εικόνα ή σε ακτίνια Εικόνα. Ως συντελεστή διεύθυνσης μιας ευθείας ε ορίζουμε την εφαπτομένη της γωνίας ω που σχηματίζει η ε με τον άξονα x'x. Προφανώς ο συντελεστής διεύθυνσης μιας ευθείας είναι θετικός, αν η γωνία ω που σχηματίζει με τον άξονα x'x είναι οξεία και αρνητικός, αν είναι αμβλεία. Αν η ευθεία σχηματίζει με τονx'x μηδενική γωνία, δηλαδή είναι παράλληλη στον άξονα x'x, ο συντελεστής διεύθυνσης είναι ίσος με μηδέν.

Στην περίπτωση που η γωνία της ευθείας ε με τον άξονα x'x είναι , δηλαδή η ευθεία ε είναι κάθετη στον άξονα x'x, δεν ορίζουμε συντελεστή διεύθυνσης για την ευθεία αυτή.

Εικόνα

Όταν είναι γνωστά ένα σημείο μιας ευθείας και ο συντελεστής διεύθυνσης της ευθείας, τότε μπορούμε να σχεδιάσουμε την ευθεία. Για παράδειγμα, για να σχεδιάσουμε την ευθεία που διέρχεται από το σημείο Α(-2,1) και έχει

συντελεστή διεύθυνσης Εικόνα, αρκεί από το Α να κινηθούμε 3 μονάδες προς τα αριστερά και στη συνέχεια 2 μονάδες προς τα πάνω. Προσδιορίζουμε έτσι το σημείο B(-5,3), οπότε η ζητούμενη ευθεία είναι η AB.

• Έστω τώρα ένα διάνυσμα Εικόνα παράλληλο σε μια ευθεία ε. Αν φ και ω είναι οι γωνίες που σχηματίζουν το Εικόνα και η ε με τον x'x αντιστοίχως, τότε θα ισχύει φ=ω ή φ=π+ω και επομένως εφφ=εφω. Άρα:

"Όταν μια ευθεία και ένα διάνυσμα είναι παράλληλα, έχουν τον ίδιο συντελεστή διεύθυνσης".

Εικόνα

Αν είναι γνωστές οι συντεταγμένες δύο σημείων μιας μη κατακόρυφης ευθείας ε, δηλαδή μιας ευθείας που δεν είναι κάθετη στον άξονα x'x, τότε μπορούμε να βρούμε και το συντελεστή διεύθυνσης της ευθείας αυτής. Πράγματι, αν Εικόνα και Εικόνα είναι δύο σημεία της ευθείας ε, τότε ο συντελεστής διεύθυνσης της ε είναι ίσος με το συντελεστή διεύθυνσης του διανύσματος Εικόνα, δηλαδή ίσος με Εικόνα. Επομένως:


Ο συντελεστής διεύθυνσης λ μιας ευθείας που διέρχεται από τα σημείαΕικόνα και Εικόνα, με Εικόνα είναι
                                                        Εικόνα

Για παράδειγμα, ο συντελεστής διεύθυνσης της ευθείας που διέρχεται από τα σημεία Α(1,-2) και Β(-1,4) είναι Εικόνα

Συνθήκες Καθετότητας και Παραλληλίας Ευθειών

Με τη βοήθεια του συντελεστή διεύθυνσης ευθείας, μπορούμε να διατυπώσουμε τις συνθήκες παραλληλίας και καθετότητας δύο ευθειών στο επίπεδο. Πράγματι, αν ε12 είναι δύο ευθείες με αντίστοιχους συντελεστές διεύθυνσης λ12 και τα διανύσματα Εικόνα είναι παράλληλα προς τις ε1 και ε2 αντιστοίχως, έχουμε τις ισοδυναμίες1

Εικόνα

Επομένως, αν οι ευθείες ε1 και ε2 έχουν συντελεστές διεύθυνσης λ1 και λ2 αντιστοίχως, τότε:

Εικόνα

Εξίσωση Ευθείας

Μια ευθεία στο επίπεδο καθορίζεται, όταν δίνονται ένα σημείο της και ο συντελεστής διεύθυνσής της ή δύο σημεία της. Θα βρούμε την εξίσωση της ευθείας σε καθεμιά από τις δύο αυτές περιπτώσεις

Εικόνα

• Έστω Oxy ένα σύστημα συντεταγμένων στο επίπεδο και Α(x0,y0) ένα σημείο του επιπέδου. Ζητάμε την εξίσωση της ευθείας ε που διέρχεται από το Α και έχει συντελεστή διεύθυνσης λ.

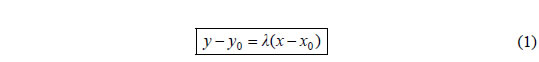
Ένα σημείο M(x,y) διαφορετικό του Α(x0,y0) ανήκει στην ε, αν και μόνο αν το διάνυσμα Εικόνα είναι παράλληλο στην ε, δηλαδή αν και μόνο αν το Εικόνα και η ε έχουν τον ίδιο συντελεστή διεύθυνσης. Επειδή Εικόνα, έχουμε Εικόνα . Επομένως, το σημείο M(x,y) ανήκει στην ε αν και μόνο αν Εικόνα ή Εικόνα . Η τελευταία εξίσωση επαληθεύεται και από το σημείο Α(x0,y0). Άρα η εξίσωση της ευθείας ε είναι:

1Με το συμβολισμό Εικόνα εννοούμε ότι οι ευθείες ε1 και ε2 είναι παράλληλες ή συμπίπτουν.

Εικόνα

Για παράδειγμα, η ευθεία που διέρχεται από το σημείο Α(-1,2) και έχει συντελεστή διεύθυνσης λ=-3 έχει εξίσωση y-2=-3(x+1), δηλαδή y=-3x-1.

εικόνα

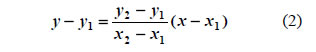
• Έστω ε η ευθεία που διέρχεται από τα σημεία Εικόνα και Εικόνα. Αν Εικόνα, τότε ο συντελεστής διεύθυνσης της ευθείας είναι Εικόνα και επομένως η εξίσωσηΕικόνα γίνεται:

Εικόνα

Οι εξισώσεις (1) και (2) δεν μπορούν να χρησιμοποιηθούν, όταν η ευθεία ε είναι κατακόρυφη, αφού στην περίπτωση αυτή δεν ορίζεται ο συντελεστής διεύθυνσης της ευθείας. Όμως η εξίσωση μιας κατακόρυφης ευθείας που διέρχεται από το σημείο Α(x0,y0) μπορεί να βρεθεί αμέσως, αφού κάθε σημείο της Μ έχει τετμημένη x0 και άρα η εξίσωσή της είναι:


Εικόνα

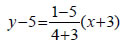
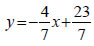
Για παράδειγμα, η ευθεία που διέρχεται από τα σημεία Α(-3,5) και Β(4,1) έχει εξίσωση Εικόνα, η οποία μετά τις πράξεις γίνεταιΕικόνα και η κατακόρυφη ευθεία που διέρχεται από το σημείο Α(-3,5) έχει εξίσωση x= -3.


Ειδικές περιπτώσεις

Εικόνα

• Η εξίσωση ευθείας που τέμνει τον άξονα y'y στο σημείο A(0,β) και έχει συντελεστή διεύθυνσης λ είναι Εικόνα, η οποία τελικά γράφεται

Εικόνα
Εικόνα

• Αν μια ευθεία διέρχεται από την αρχή των αξόνων και έχει συντελεστή διεύθυνσης λ, τότε η εξίσωσή της είναι y -0=λ(x-0) ή

Εικόνα





Εικόνα

Έτσι, οι διχοτόμοι των γωνιών Εικόνα και Εικόνα έχουν εξισώσεις y=x και y= -x αντιστοίχως.






Εικόνα

• Τέλος, αν μια ευθεία διέρχεται από το σημείο Α(x0,y0) και είναι παράλληλη στον άξονα x'x, δηλαδή είναι όπως λέμε μια οριζόντια ευθεία, έχει εξίσωση y-y0=0(x-x0) , δηλαδή

Εικόνα





ΕΦΑΡΜΟΓΕΣ

Εικόνα

1. Δίνεται τρίγωνο με κορυφές τα σημεία A(-1,2), B(1,5) και Γ(4,1). Να βρεθούν οι εξισώσεις:

  1. Του ύψους που άγεται από την κορυφή Α
  2. Της διαμέσου που άγεται από την κορυφή Β
  3. Της μεσοκαθέτου της πλευράς ΑΓ.

ΛΥΣΗ

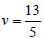
(i) Επειδή Εικόνα ο συντελεστής

διεύθυνσης του ύψους του τριγώνου από το Α είναι Εικόνα. Επομένως, η εξίσωση του ύψους είναι Εικόνα.

(ii)Το μέσον Μ του τμήματος ΑΓ έχει συντεταγμένες Εικόνα. Επομένως, ο συντελεστής διεύθυνσης της διαμέσου ΒΜ είναι Εικόνα και άρα η εξίσωση της ΒΜ είναι y -5= -7(x - 1), η οποία γράφεται ισοδύναμα y= -7x + 12.

(iii)Επειδή η ευθεία ΑΓ έχει συντελεστή διεύθυνσης Εικόνα η οποιαδήποτε κάθετος σε αυτήν έχει συντελεστή διεύθυνσης 5, επομένως η εξίσωση της μεσοκαθέτου είναιΕικόνα ή ισοδύναμα y= 5x - 6.


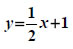
2. Δίνονται η ευθεία ε με εξίσωση Εικόνα και το σημείο A(2,1). Να βρεθούν οι συντεταγμένες του συμμετρικού του σημείου Α ως προς την ευθεία ε.

ΛΥΣΗ

Εικόνα

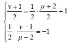
Αν A'(μ,ν) είναι το συμμετρικό του Α ως προς την ε, τότε το μέσον Μ του AA' ανήκει στην ε και το γινόμενο των συντελεστών διεύθυνσης των ε και AA' είναι -1, αφού Εικόνα. Οι συντεταγμένες του μέσου Μ είναι Εικόνα και ο συντελεστής διεύθυνσης του AA' είναι Εικόνα. Έτσι έχουμε το σύστημα Εικόνα, το οποίο μετά την εκτέλεση των πράξεων γράφεται

Εικόνα

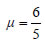
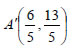
Από τη λύση του συστήματος αυτού βρίσκουμε Εικόνα και Εικόνα . Επομένως, το συμμετρικό σημείο του Α ως προς την ε είναι το Εικόνα.



Ασκήσεις

Α' ΟΜΑΔΑΣ
1.

Να βρείτε το συντελεστή διεύθυνσης:

(i)    Της ευθείας, η οποία διέρχεται από τα σημεία A(-1,4) και B(1,6)
(ii)   Της ευθείας, η οποία τέμνει τους άξονες στα σημεία Γ(-1,0) και Δ(0,2)
(iii)  Της ευθείας, η οποία διέρχεται από το Ο και είναι κάθετη στην ΓΔ.

2.

Να βρείτε τη γωνία, που σχηματίζουν με τον άξονα x'x οι ευθείες που διέρχονται από τα σημεία:

(i)    A(-1,4) και B(1,6)     (ii)A(-1,3) και B(0,4)
(iii)   A(1,3) και B(1,-1)     (iv)A(2,3) και B(-2,3)

3.

Να βρείτε την εξίσωση της ευθείας που διέρχεται από το σημείο A(1, -1)και

(i)    Είναι παράλληλη προς το διάνυσμα Εικόνα
(ii)   Είναι παράλληλη προς το διάνυσμα Εικόνα
(iii)  Σχηματίζει με τον άξονα x'x γωνία Εικόνα .

4.

Θεωρούμε τρίγωνο ΑΒΓ με κορυφές A(-1, 0), B(3, 2), Γ(-3, 4). Να βρείτε:

(i)   Τις εξισώσεις των υψών του
(ii)   Τις εξισώσεις των μεσοκαθέτων των πλευρών του.

5.

Να δείξετε ότι το τετράπλευρο ΑΒΓΔ με κορυφές Α(3, 1), B(5, 5), Γ(1, 3) και Δ( -1, -1). είναι ρόμβος. Ποιες είναι οι εξισώσεις των διαγωνίων του;

6.

Να δείξετε ότι τα σημεία A(1, -1), B(2, 0) και Γ(-1, -3) είναι συνευθειακά.

7.

Να βρείτε την εξίσωση της ευθείας που διέρχεται από τα σημεία A(ασυνθ, αημθ) και Β(-αημθ, ασυνθ).

8.

Δίνονται τα σημεία A(2, 3), B(-4, 5) και Γ(3, -4). Να βρείτε την εξίσωση της ευθείας που διέρχεται από την κορυφή A και το κέντρο βάρους G του τριγώνου ΑΒΓ.

Β' ΟΜΑΔΑΣ
1.

Να βρείτε τις εξισώσεις των ευθειών, που διέρχονται από το σημείο A( -1, 2) και σχηματίζουν με τους άξονες ισοσκελές τρίγωνο.

2.

Να βρείτε τις εξισώσεις των πλευρών και τις συντεταγμένες των κορυφών B και Γ του τριγώνου ABΓ, του οποίου τα δύο ύψη έχουν εξισώσεις Εικόνα και y= -x+2 αντιστοίχως και η κορυφή A έχει συντεταγμένες (1,4).

3.

Να βρείτε την εξίσωση της ευθείας που διέρχεται από το σημείο M(2,1) και τέμνει τις ευθείες y=x + 1 και y= -x + 1 στα σημεία A και B αντιστοίχως, έτσι ώστε το M να είναι μέσο του AB.

4.

Δίνονται τα σημεία Εικόνα

(i)   Να βρεθεί η εξίσωση της ευθείας PQ.
(ii)   Αν η ευθεία PQ τέμνει τους άξονες x'x και y'y στα σημεία A και B αντιστοίχως, να δείξετε ότι AP=BQ.

5.

Να δείξετε ότι η εξίσωση της ευθείας που τέμνει τους άξονες στα σημεία A(α,0) και B(0,β), είναι η Εικόνα

6.

Να βρείτε την εξίσωση της ευθείας που είναι παράλληλη στην ευθεία Εικόνα και τέμνει τους άξονες x'x και yy' στα σημεία A και B, ώστε το άθροισμα της τετμημένης του A και της τεταγμένης του B να είναι ίσο με 15.