Μαθηματικά (Β Λυκείου Θετικών Σπουδών) - Βιβλίο Μαθητή
1.4 ΣΥΝΤΕΤΑΓΜΕΝΕΣ ΣΤΟ ΕΠΙΠΕΔΟ 2.1 Η ΕΥΘΕΙΑ ΣΤΟ ΕΠΙΠΕΔΟ Επιστροφή στην αρχική σελίδα του μαθήματος

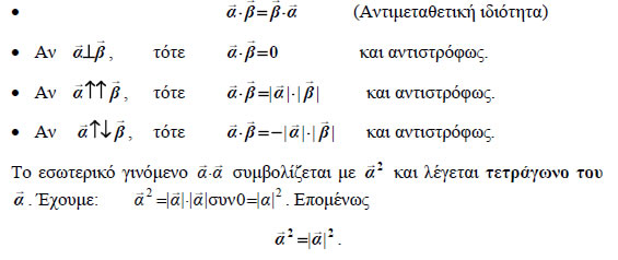
1.5 ΕΣΩΤΕΡΙΚΟ ΓΙΝΟΜΕΝΟ ΔΙΑΝΥΣΜΑΤΩΝ

Εικόνα

Γνωρίζουμε ότι το έργο που παράγεται από μια δύναμη Εικόνα όταν μετατοπίζει το σημείο εφαρμογής της από το Ο στο Α είναι ίσο με το γινόμενο Εικόνα. Το γινόμενο αυτό συμβολίζεται με Εικόνα και λέγεται εσωτερικό γινόμενο της δύναμης Εικόνα με το διάνυσμα Εικόνα . Γενικότερα, έχουμε τον ακόλουθο ορισμό:



ΟΡΙΣΜΟΣ

• Ονομάζουμε εσωτερικό γινόμενο δύο μη μηδενικών διανυσμάτων Εικόνα και το συμβολίζουμε με Εικόνα τον πραγματικό αριθμό

                           Εικόνα

όπου φ η γωνία των διανυσμάτων Εικόνα.
Εικόνα

Εικόνα

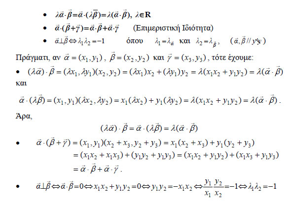
Άμεσες συνέπειες του παραπάνω ορισμού είναι οι εξής:

Εικόνα

Ειδικότερα, για τα μοναδιαία διανύσματα Εικόνα του καρτεσιανού επίπεδου ισχύουν:

Εικόνα


Αναλυτική Έκφραση Εσωτερικού Γινομένου

Εικόνα

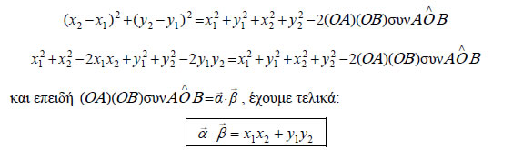
Θα δούμε τώρα πώς μπορούμε να εκφράσουμε το εσωτερικό γινόμενο δύο διανυσμάτων Εικόνα συναρτήσει των συντεταγμένων τους. Με αρχή το Ο παίρνουμε τα διανύσματα Εικόνα. Από το νόμο των συνημιτόνων στο τρίγωνο ΟΑΒ έχουμε την ισότητα

Εικόνα

η οποία ισχύει και στην περίπτωση που τα σημεία Ο,Α,Β είναι συνευθειακά.
Όμως είναι

Εικόνα

Επομένως, έχουμε διαδοχικά:

Εικόνα

Δηλαδή:

"Το εσωτερικό γινόμενο δύο διανυσμάτων είναι ίσο με το άθροισμα των γινομένων των ομώνυμων συντεταγμένων τους".

Για παράδειγμα, το εσωτερικό γινόμενο των Εικόνα είναι: Εικόνα .

Με τη βοήθεια της αναλυτικής έκφρασης του εσωτερικού γινομένου θα αποδείξουμε ότι ισχύουν οι επόμενες ιδιότητες:

Εικόνα

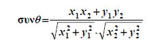
Συνημίτονο Γωνίας δύο Διανυσμάτων

Αν Εικόνα είναι δύο μη μηδενικά διανύσματα του επιπέδου που σχηματίζουν γωνία θ, τότε Εικόνα και επομένως,

Εικόνα

Είναι όμως

Εικόνα

Επομένως

Εικόνα

Για παράδειγμα, αν θ είναι η γωνία των διανυσμάτων Εικόνα , τότε:

Εικόνα

ΕΦΑΡΜΟΓΕΣ

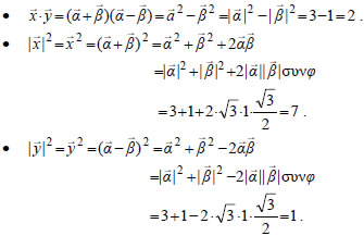
1. Αν Εικόνα , να αποδειχτεί ότι:
Εικόνα

Πότε ισχύουν οι ισότητες;

ΑΠΟΔΕΙΞΗ

Εικόνα

Η ισότητα ισχύει μόνο, αν Εικόνα, δηλαδή, μόνο αν Εικόνα .

Εικόνα

Η ισότητα ισχύει, όπως και προηγουμένως, μόνο όταν Εικόνα .


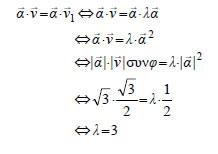
2. Έστω δύο διανύσματα Εικόνα που έχουν μέτρα Εικόνα και σχηματίζουν γωνία φ=π/6 . Να βρεθεί η γωνία των διανυσμάτων Εικόνα και Εικόνα.

ΛΥΣΗ

Αν θ είναι η γωνία των Εικόνα , τότε Εικόνα . Αρκεί, επομένως, να υπολογίσουμε το Εικόνα και τα μέτρα των Εικόνα .

Έχουμε λοιπόν

Εικόνα

Άρα, Εικόνα ,οπότε Εικόνα

3. Να αποδειχτεί ότι Εικόνα

ΑΠΟΔΕΙΞΗ

Εικόνα

Αν στον τριγωνομετρικό κύκλο τα διανύσματα Εικόνα και Εικόνα σχηματίζουν με τον άξονα x'x γωνίες α και β αντιστοίχως, τότε θα είναι Εικόνα και Εικόνα .

Επομένως, θα έχουμε:

Εικόνα

Άρα,

Εικόνα

Προβολή Διανύσματος σε Διάνυσμα

Έστω Εικόνα δύο διανύσματα του επιπέδου με Εικόνα . Με αρχή ένα σημείο Ο παίρνουμε τα διανύσματα Εικόνα . Από το Μ φέρνουμε κάθετο στη διεύθυνση του Εικόνα και έστω Εικόνα το ίχνος της καθέτου.

Εικόνα

Το διάνυσμα Εικόνα λέγεται προβολή του Εικόνα και συμβολίζεται με Εικόνα. Δηλαδή,

Εικόνα

Αποδεικνύεται ότι η προβολή του Εικόνα είναι ανεξάρτητη από την επιλογή του σημείου Ο.

Για το εσωτερικό γινόμενο των Εικόνα έχουμε:

Εικόνα

Επομένως:

Εικόνα

ΕΦΑΡΜΟΓΕΣ

Εικόνα

1. Να βρεθεί η προβολή του διανύσματος Εικόνα , αν Εικόνα και η γωνία των διανυσμάτων και Εικόνα είναι ίση με Εικόνα.

ΛΥΣΗ

Έστω Εικόνα . Τότε θα ισχύει Εικόνα . Επειδή Εικόνα, έχουμε:

Εικόνα

Άρα, Εικόνα .


2.Δίνονται τα διανύματα Εικόνα . Να αναλυθεί το Εικόνα σε δύο κάθετες συνιστώσες, από τις οποίες η μία να είναι παράλληλη στο Εικόνα .

ΛΥΣΗ

Εικόνα

Έστω ε η ευθεία η κάθετη στη διεύθυνση του Εικόνα . Από το πέρας Μ του Εικόνα φέρνουμε τις κάθετες MM1 και MM2 στη διεύθυνση του Εικόνα και στην ε αντιστοίχως και έστω Εικόνα . Έχουμε

Εικόνα

Το διάνυσμα Εικόνα είναι η προβολή του Εικόνα και επειδή Εικόνα , υπάρχει Εικόνα , τέτοιο ώστε Εικόνα . Όμως Εικόνα και επομένως έχουμε διαδοχικά:

Εικόνα

Συνεπώς,Εικόνα .

Ασκήσεις

Α' ΟΜΑΔΑΣ
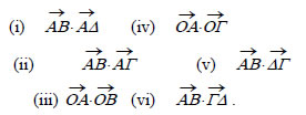
1.

Αν Εικόνα , τότε
(i) Να βρείτε τα εσωτερικά γινόμενα Εικόνα
(ii) Να βρείτε τη σχέση που συνδέει τους Εικόνα , ώστε το εσωτερικό γινόμενο των διανυσμάτων Εικόνα να είναι ίσο με μηδέν. Ποια η σχέση όλων των διανυσμάτων Εικόνα στην περίπτωση αυτή;

2.

Αν Εικόνα , να υπολογίσετε τις παραστάσεις: Εικόνα,Εικόνα

3.

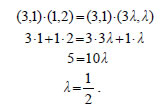
Αν Εικόνα , να βρείτε τον Εικόνα, ώστε:
(i) Τα διανύσματα Εικόνα να είναι κάθετα
(ii) Τα διανύσματα Εικόνα να είναι κάθετα.

4.

Να βρείτε τα διανύσματα που είναι κάθετα στο Εικόνα και έχουν μέτρο ίσο με 1.

5.

Αν Εικόνα να υπολογίσετε τον Εικόνα, ώστε τα διανύσματα Εικόνα να είναι κάθετα.

6.

Αν Εικόνα , να βρείτε τον Εικόνα ώστε να ισχύει:
Εικόνα

7.

Αν Εικόνα να υπολογίσετε τη γωνία των διανυσμάτων Εικόνα.

8.

Αν τα διανύσματα Εικόνα είναι μη μηδενικά, να αποδείξετε ότι:
Εικόνα

9.

Να αποδείξετε ότι τα διανύσματα Εικόνα είναι κάθετα.

10.

Να αποδείξετε ότι για δύο μη μηδενικά διανύσματα Εικόνα , το διάνυσμα Εικόνα είναι κάθετο στο Εικόνα .

11.

Δίνονται τα σημεία Εικόνα. Να υπολογίσετε
(i) Το εσωτερικό γινόμενο Εικόνα
(ii) Τι συμπεραίνετε για τα διανύσματα Εικόνα;

12.

Δίνονται τα διανύσματα Εικόνα. Να αναλύσετε το Εικόνα σε δύο κάθετες συνιστώσες, από τις οποίες η μία να είναι παράλληλη προς το Εικόνα .

13.

Να υπολογίσετε τα μήκη των διαγωνίων ενός παραλληλογράμμου που κατασκευάζεται με τα διανύσματα Εικόνα και Εικόνα



14.
 
Για τα διανύσματα του διπλανού σχήματος να υπολογίσετε την παράσταση Εικόνα . Εικόνα
15.

Να εξετάσετε πότε ισχύει:
Εικόνα


Β' ΟΜΑΔΑΣ
1.

Τα διανύσματα και Εικόνα είναι μη μηδενικά και μη συγγραμμικά. Να αποδείξετε ότι για όλους τους πραγματικούς αριθμούς Εικόνα ισχύει:

Εικόνα

Πότε ισχύει το Εικόνα

2.

Να αποδείξετε ότι:
Εικόνα

3.

Δίνονται τα μη μηδενικά και μη συγγραμμικά διανύσματα Εικόνα . Να αποδείξετε ότι:

(i) Ο φορέας του διανύσματος Εικόνα διχοτομεί τη γωνία των διανυσμάτων Εικόνα .
(ii) Ο φορέας του διανύσματος Εικόνα διχοτομεί την παραπληρωματική γωνία των διανυσμάτων Εικόνα .

4.

Αν Εικόνα , να υπολογίσετε το άθροισμα Εικόνα

5.

Αν τα διανύσματα Εικόνα είναι κάθετα και έχουν μέτρα ίσα με τη μονάδα, να δείξετε ότι Εικόνα .

6.

Να αποδείξετε ότι Εικόνα

7.

Σε ημικύκλιο με διάμετρο AB και κέντρου O παίρνουμε σημείο M .

Εικόνα

(i) Να εκφράσετε τα διανύσματα Εικόνα ως συνάρτηση των Εικόνα
(ii) Να βρείτε το γινόμενο Εικόνα . Τι συμπεραίνετε για τη γωνία των διανυσμάτων Εικόνα.Ποια πρόταση της Ευκλείδειας Γεωμετρίας έχει αποδειχτεί;

8.
Εικόνα
Σε τρίγωνο ABΓ τα δύο ύψη του BE και ΓΖ τέμνονται στο H. Έστω Εικόνα, Εικόνα
(i) Να εκφράσετε τα διανύσματα Εικόνα και Εικόνα ως συνάρτηση των Εικόνα
(ii) Να αποδείξετε ότι Εικόνα και Εικόνα
(iii) Από το προηγούμενο ερώτημα προκύπτει ότι Εικόνα
Με τη βοήθεια της ισότητας αυτής να δείξετε ότι Εικόνα . Ποια πρόταση της Ευκλείδειας Γεωμετρίας έχει αποδειχτεί ;
9.
Εικόνα

Δίνεται τρίγωνο ΑΒΓ και εξωτερικώς αυτού κατασκευάζουμε τα τετράγωνα ΑΒΕΖ και ΑΓΗΘ . Να εκφράσετε τα διανύσματα Εικόνα ως συνάρτηση των Εικόνα και να υπολογίσετε το εσωτερικό γινόμενο Εικόνα . Τι συμπεραίνετε για τα τμήματα ΒΘ και ΕΓΖ ;

10.
Εικόνα

Δίνεται παραλληλόγραμμο ΑΒΓΔ και κύκλος κέντρου O που διέρχεται από την κορυφή A και τέμνει τις ευθείες AB, και στα Β',Γ' και Δ' αντιστοίχως. Να αποδείξετε ότιΕικόνα.

11.

Δίνεται κύκλος (O,R) και σημείο M του επιπέδου του. Αν μεταβλητή ευθεία που διέρχεται από το M τέμνει τον κύκλο στα A και B , να αποδείξετε ότι το γινόμενο Εικόνα είναι σταθερό. (Το γινόμενο αυτό λέγεται δύναμη του σημείου M ως προς τον κύκλο O ).


ΓΕΝΙΚΕΣ ΑΣΚΗΣΕΙΣ

1.

Αν υπάρχουν πραγματικοί αριθμοί κ,λ,μ με Εικόνα , τέτοιοι, ώστε

Εικόνα


να αποδείξετε ότι τα σημεία Α, Β, Γ και Δ είναι συνευθειακά και αντιστρόφως.

2.

Αν για το σημείο M του επιπέδου ενός τριγώνου ΑΒΓ ισχύουν οι σχέσεις Εικόνα , να αποδείξετε ότι το M είναι το μέσον της πλευράς ΒΓ.

3.

Έστω O και A δύο σταθερά σημεία του επιπέδου με Εικόνα . Ποια γραμμή γράφουν τα σημεία M του επιπέδου για τα οποία είναι Εικόνα ;

4.

Δίνονται δύο μη μηδενικά διανύσματα Εικόνα . Αν υπάρχει Εικόνα , τέτοιος, ώστε Εικόνα, να αποδείξετε ότι το εμβαδόν του παραλληλόγραμμου ΟΑΓΒ με Εικόνα είναι μικρότερο ή ίσο του Εικόνα

5.

Έστω O το περίκεντρο τριγώνου ΑΒΓ (δηλαδή το σημείο για το οποίο ισχύει OA=OB=OΓ ), και έστω, Εικόνα τα διανύσματα θέσεως των κορυφών Α, Β, Γ αντιστοίχως με σημείο αναφοράς το O .
(i) Να δείξετε ότι το σημείο H με διάνυσμα θέσεως Εικόνα είναι το ορθόκεντρο του τριγώνου ΑΒΓ.
(ii) Να βρείτε το διάνυσμα θέσεως του βαρύκεντρου του τριγώνου ΑΒΓ με σημείο αναφοράς το O.
(iii) Να αποδείξετε ότι το περίκεντρο O , το βαρύκεντρο G και το ορθόκεντρο H ενός τριγώνου ΑΒΓ είναι συνευθειακά σημεία και ότι G διαιρεί το τμήμα σε λόγο 1/2 .

6.

Τα διανύσματα Εικόνα και Εικόνα του επιπέδου ικανοποιούν τη σχέσηΕικόνα
(i) Να αποδείξετε ότι Εικόνα
(ii) Αν Εικόνα να εκφράσετε το διάνυσμα Εικόνα ως συνάρτηση των και Εικόνα.

7.
Εικόνα

Τετραπλεύρου ΑΒΓΔ οι πλευρές ΑΒ και ΓΔ τέμνονται στο Ε και οι πλευρές ΒΓ και ΑΔ τέμνονται στο Ζ. Αν Εικόνα και Εικόνα, τότε
(i) Να εκφράσετε ως συνάρτηση των Εικόνα τις διανυσματικές ακτίνες ως προς το E των σημείων K , Λ και M που είναι μέσα των ΒΔ, ΑΓ, και ΕΖ αντιστοίχως.
(ii) Να δείξετε ότι τα σημεία K , Λ και M είναι συνευθειακά.

8.

Δίνεται τρίγωνο ΑΒΓ και τα σημεία Δ, Ε και Ζ των πλευρών του ΒΓ, ΓΑ και ΑΒ αντιστοίχως, ώστε να ισχύει Εικόνα. Να αποδείξετε ότι τα τρίγωνα ΑΒΓ και ΔΕΖ έχουν το ίδιο βαρύκεντρο.

ΕΡΩΤΗΣΕΙΣ ΚΑΤΑΝΟΗΣΗΣ

1.

Δίνεται ότι το τετράπλευρο ΑΒΓΔ είναι ρόμβος. Καθεμία από τις παρακάτω ισότητες είναι σωστή ή λάθος. Αν είναι σωστή, κυκλώστε το γράμμα Σ, αν είναι λάθος κυκλώστε το Λ.

Εικόνα
2.

Αν Α, Β, Γ και Δ είναι τέσσερα σημεία, να συμπληρώσετε τις ισότητες:

Εικόνα
3.

Αν O είναι το σημείο τομής των διαγωνίων του παραλληλόγραμμου ΑΒΓΔ , να συμπληρώσετε τις ισότητες:

Εικόνα
4.
Εικόνα

Για τα διανύσματα του διπλανού σχήματος να βάλετε σε κύκλο τη σωστή απάντηση.

Εικόνα
5.

Σε ένα σύστημα συντεταγμένων στο επίπεδο δίνεται το σημείο A( -3, -2) . Να συμπληρώσετε τις ισότητες:

Εικόνα
6.

Δίνονται τα σημεία A(3,1), B(6,5), Γ( -4, -2), Δ(3, -3) και Ε( -3, 5). Να συνδέσετε με μια γραμμή κάθε διάνυσμα της πρώτης στήλης με τις συντεταγμένες του στη δεύτερη στήλη

Εικόνα
7.

Δίνονται τα σημεία A(3,2), B( -4, 5), Γ( -3, -2), Δ(3, -4) . Να συνδέσετε με μια γραμμή κάθε τμήμα της πρώτης στήλης με τις συντεταγμένες του μέσου του στη δεύτερη στήλη.

Εικόνα
8.

Να βάλετε σε κύκλο τον αριθμό που αντιστοιχεί στη σωστή απάντηση.
(i) Δίνεται το διάνυσμα Εικόνα και τα σημεία A(4, -1), B( -2, 7) , Γ(0,3) και Δ(1,5) . Ποιο από τα διανύσματα είναι ίσο με το Εικόνα :

Εικόνα

(ii) Δίνεται το διάνυσμα Εικόνα . Ποιο από τα διανύσματα είναι παράλληλο με το Εικόνα :

Εικόνα
9.
Εικόνα

Δίνονται τετράγωνο ΑΒΓΔ με κέντρο O και πλευρά α . Να βρείτε ως συνάρτηση του α τα εσωτερικά γινόμενα:

Εικόνα
10.

Τα διανύσματα Εικόνα έχουν μέτρα 2 και 3 αντιστοίχως. Να βρείτε το γινόμενο Εικόνα, αν η γωνία των διανυσμάτων αυτών είναι: ΕικόναΕικόνα

Εικόνα
11.

Να βάλετε σε κύκλο τη σωστή απάντηση:

Εικόνα
12.

Να συνδέσετε με μια γραμμή κάθε ζεύγος διανυσμάτων της πρώτης στήλης με το είδος της γωνίας τους που αναφέρονται στη δεύτερη στήλη.

Εικόνα
13.

Για τα διανύσματα του παρακάτω σχήματος να βάλετε σε κύκλο τη σωστή απάντηση:

Εικόνα
Εικόνα