Μαθηματικά (Β Λυκείου Θετικών Σπουδών) - Βιβλίο Μαθητή
1.3 ΠΟΛΛΑΠΛΑΣΙΑΣΜΟΣ ΑΡΙΘΜΟΥ ΜΕ ΔΙΑΝΥΣΜΑ 1.5 ΕΣΩΤΕΡΙΚΟ ΓΙΝΟΜΕΝΟ ΔΙΑΝΥΣΜΑΤΩΝ Επιστροφή στην αρχική σελίδα του μαθήματος

1.4 ΣΥΝΤΕΤΑΓΜΕΝΕΣ ΣΤΟ ΕΠΙΠΕΔΟ

Άξονας

Πάνω σε μια ευθεία Εικόνα επιλέγουμε δύο σημεία O και I, έτσι ώστε το διάνυσμα Εικόνα να έχει μέτρο 1 και να βρίσκεται στην ημιευθεία Ox. Λέμε τότε ότι έχουμε έναν άξονα με αρχή το Ο και μοναδιαίο διάνυσμα το Εικόνα και τον συμβολίζουμε με x'x. Η ημιευθεία Ox λέγεται θετικός ημιάξονας Ox, ενώ η Ox' λέγεται αρνητικός ημιάξονας Ox'.

Εικόνα


Αν, τώρα, πάνω στον άξονα Εικόναπάρουμε ένα σημείο Μ, επειδή Εικόνα θα υπάρχει ακριβώς ένας πραγματικός αριθμός x τέτοιος ώστε ΕικόναΤον

αριθμό x τον ονομάζουμε τετμημένη του Μ. Αλλά και αντιστρόφως, από την ισότητα Εικόνα προκύπτει ότι σε κάθε πραγματικό αριθμό x αντιστοιχεί μοναδικό σημείο M του άξονα Εικόνα με τετμημένη x. Το σημείο αυτό συμβολίζεται με Εικόνα

Καρτεσιανό Επίπεδο

Πάνω σε ένα επίπεδο σχεδιάζουμε δύο κάθετους άξονες Εικόνα και y΄y με κοινή αρχή Ο και μοναδιαία διανύσματα τα Εικόνα.
Λέμε τότε ότι έχουμε ένα ορθοκανονικό σύστημα συντεταγμένων στο επίπεδο ή

Εικόνα

απλούστερα ένα σύστημα συντεταγμένων στο επίπεδο ή ακόμα ένα καρτεσιανό επίπεδο και το συμβολίζουμε με Oxy. Το σύστημα Oxy λέγεται ορθοκανονικό, γιατί είναι ορθογώνιο και κανονικό. Ορθογώνιο είναι, γιατί οι άξονες Εικόνα και y΄y είναι κάθετοι, και κανονικό, γιατί τα διανύσματα Εικόνα είναι ισομήκη.

Πάνω στο καρτεσιανό επίπεδο Oxy παίρνουμε ένα σημείο Μ. Από το Μ φέρνουμε την παράλληλη στον y΄y, που τέμνει τον Εικόνα στο Εικόνα και την παράλληλη στον Εικόνα, που τέμνει τον y΄y στο Εικόνα Αν x είναι η τετμημένη του Εικόνα ως προς τον άξονα Εικόνα και y η τετμημένη του Εικόνα ως προς τον άξονα y΄y, τότε ο x λέγεται τετμημένη του Μ και ο y τεταγμένη του Μ. Η τετμημένη και η τεταγμένη λέγονται συντεταγμένες του Μ.Έτσι σε κάθε σημείο Μ του επιπέδου αντιστοιχεί ένα ζεύγος συντεταγμένων.
Αλλά και αντιστρόφως σε κάθε ζεύγος (x,y) πραγματικών αριθμών αντιστοιχεί μοναδικό σημείο του επιπέδου, το οποίο βρίσκεται ως εξής: Πάνω στον άξονα Εικόνα παίρνουμε το σημείο Εικόνα και στον y΄y το σημείο Εικόνα Από τα Εικόνα και Εικόνα φέρνουμε παράλληλες στους άξονες y΄y και Εικόνα αντιστοίχως, που τέμνονται στο Μ. Το σημείο Μ είναι το ζητούμενο. Ένα σημείο Μ με τετμημένη x και τεταγμένη y συμβολίζεται και με Εικόνα ή απλά με Εικόνα

Συντεταγμένες Διανύσματος

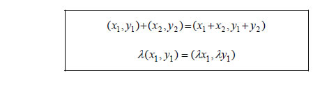
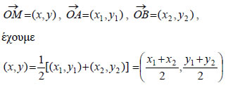
Έστω Oxy ένα σύστημα συντεταγμένων στο επίπεδο και Εικόνα ένα διάνυσμα του επιπέδου. Με αρχή το Ο σχεδιάζουμε το διάνυσμα Εικόνα Αν Εικόνα και Εικόναείναι οι προβολές του Α στους άξονες Εικόνα και y΄y αντιστοίχως, έχουμε:

Εικόνα

Εικόνα
Αν x,y είναι οι συντεταγμένες του A, τότε ισχύει Εικόνα καιΕικόνα Επομένως η ισότητα (1) γράφεται
Εικόνα
Αποδείξαμε δηλαδή ότι το Εικόνα είναι γραμμικός συνδυασμός των Εικόνα
Στην παραπάνω κατασκευή οι αριθμοί x και y είναι μοναδικοί. Θα αποδείξουμε τώρα ότι και η έκφραση του Εικόνα ως γραμμικού συνδυασμού των Εικόνα και Εικόνα είναι μοναδική. Πράγματι, έστω ότι ισχύει και
Εικόνα
Τότε θα έχουμε
Εικόνα
Αν υποθέσουμε ότι Εικόνα δηλαδή ότι Εικόνα τότε θα ισχύει
Εικόνα
Η σχέση αυτή, όμως, δηλώνει ότι Εικόνα που είναι άτοπο, αφού τα Εικόνα και Εικόνα δεν είναι συγγραμμικά. Επομένως Εικόνα που συνεπάγεται ότι και Εικόνα
Ώστε:
"Κάθε διάνυσμα Εικόνα του επιπέδου γράφεται κατά μοναδικό τρόπο στη μορφή Εικόνα".
Τα διανύσματα Εικόνα λέγονται συνιστώσες του διανύσματος Εικόνα κατά τη διεύθυνση των Εικόνα , ενώ οι αριθμοί x, y λέγονται συντεταγμένες του Εικόνα στο σύστημα Oxy. Πιο συγκεκριμένα, ο x λέγεται

τετμημένη του Εικόνα και ο y λέγεται τεταγμένη του Εικόνα. Από τον τρόπο που ορίστηκαν οι συντεταγμένες ενός διανύσματος προκύπτει ότι:
"Δύο διανύσματα είναι ίσα αν και μόνο αν οι αντίστοιχες συντεταγμένες τους είναι ίσες".
Καθένα από τα ίσα διανύσματα με τετμημένη x και τεταγμένη y, θα το συμβολίζουμε με το διατεταγμένο ζεύγος Εικόνα

Συντεταγμένες Γραμμικού Συνδυασμού Διανυσμάτων

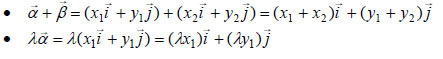
Αν γνωρίζουμε τις συντεταγμένες δύο διανυσμάτων Εικόνα και Εικόνα του καρτεσιανού επιπέδου, τότε μπορούμε να βρούμε τις συντεταγμένες του αθροίσματος Εικόνα του γινομένου Εικόνα και γενικά κάθε γραμμικού συνδυασμού των Εικόνα και Εικόνα. Πράγματι, αν Εικόνα τότε έχουμε:

Εικόνα
Επομένως

Εικόνα

ή ισοδύναμα
Εικόνα

Γενικότερα, για το γραμμικό συνδυασμό Εικόνα έχουμε:

Εικόνα

Για παράδειγμα, αν Εικόνα και Εικόνα τότε
Εικόνα

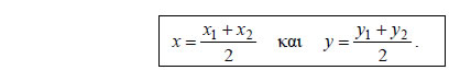
Συντεταγμένες Μέσου Τμήματος

Ας θεωρήσουμε δύο σημεία Εικόνα και Εικόνα του καρτεσιανού επιπέδου και ας υποθέσουμε ότι Εικόνα είναι οι συντεταγμένες του μέσου Μ του ΑΒ.

Εικόνα

Επειδή Εικόνα

Εικόνα

Επομένως ισχύει

Εικόνα

Συντεταγμένες Διανύσματος με Γνωστά Άκρα

Εικόνα

Ας θεωρήσουμε δύο σημεία Εικόνα και Εικόνα του καρτεσιανού επιπέδου και ας υποθέσουμε ότι (x,y) είναι οι συντεταγμένες του διανύσματος Εικόνα
Επειδή, ΕικόναΕικόνακαι Εικόνα έχουμε:

Εικόνα

Επομένως:

Οι συντεταγμένες (x,y) του διανύσματος με άκρα τα σημεία Εικόνα και Εικόνα δίνονται από τις σχέσεις

Εικόνα

Δηλαδή

          τετμημένη του Εικόνα= τετμημένη του Β — τετμημένη του Α

          τεταγμένη του Εικόνα=τεταγμένη του Β — τεταγμένη του Α.

Για παράδειγμα, το διάνυσμα Εικόνα με αρχή το Εικόνα και πέρας το Εικόνα έχει συντεταγμένες Εικόνα και Εικόνα δηλαδή είναι ίσο με το Εικόνα

Μέτρο Διανύσματος

Εικόνα

• Έστω Εικόνα ένα διάνυσμα του καρτεσιανού επιπέδου και Α το σημείο με διανυσματική ακτίνα Εικόνα Αν Εικόνα είναι οι προβολές του Α στους άξονες Εικόνα και y΄y αντιστοίχως, επειδή το σημείο Α έχει τετμημένη x και τεταγμένη y, θα ισχύει Εικόνα Έτσι θα έχουμε:

Εικόνα

Επομένως:

Εικόνα

Για παράδειγμα, αν Εικόνα τότε Εικόνα

Εικόνα

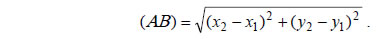
• Ας θεωρήσουμε τώρα δύο σημεία Εικόνα και Εικόνα του καρτεσιανού επιπέδου. Επειδή η απόσταση (AB) των σημείων Α και Β είναι ίση με το μέτρο του διανύσματος Εικόνα σύμφωνα με τον τύπο (1) θα ισχύει:

Εικόνα

Επομένως:

Η απόσταση των σημείων Εικόνα και Εικόνα είναι ίση με

Εικόνα

Για παράδειγμα, η απόσταση των σημείων Εικόνα και Εικόνα είναι ίση με

Εικόνα

ΕΦΑΡΜΟΓΕΣ

1. Αν A(-2,1) και B(1,4) είναι οι δύο κορυφές του παραλληλόγραμμου ABΓΔ και Κ(2,-3) το κέντρο του, να βρεθούν οι συντεταγμένες των κορυφών Γ και Δ.



ΛΥΣΗ

Εικόνα

Αν Εικόνα και Εικόνα είναι οι δύο άλλες κορυφές του παραλληλόγραμμου, επειδή το Κ είναι το μέσον των ΑΓ και ΒΔ, έχουμε:

Εικόνα

Επομένως,

Εικόνα

Άρα, οι συντεταγμένες των κορυφών Γ και Δ είναι (6,-7) και (3,-10) αντιστοίχως.


Εικόνα

2. Να βρεθούν οι συντεταγμένες του κέντρου βάρους G του τριγώνου ABΓ, αν είναι γνωστές οι συντεταγμένες των κορυφών του.



ΛΥΣΗ

Αν Εικόνα είναι οι συντεταγμένες των κορυφών A, B, Γ αντιστοίχως και


Εικόνα είναι οι συντεταγμένες του κέντρου βάρους του ABΓ , επειδή Εικόνα (Εφαρμ. 1 § 1.3), θα έχουμε:

Εικόνα

Άρα


Εικόνα

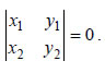
Συνθήκη Παραλληλίας Διανυσμάτων

Έστω Εικόνα δύο διανύσματα του καρτεσιανού επιπέδου.
— Αν τα διανύσματα είναι παράλληλα και υποθέσουμε ότι Εικόνα τότε θα υπάρχει Εικόνα τέτοιος, ώστε Εικόνα Επομένως, θα έχουμε Εικόναή ισοδύναμα:

Εικόνα

οπότε θα ισχύει Εικόνα ή ισοδύναμα Εικόνα

— Αν Εικόνα τότε θα ισχύει Εικόνα

Δείξαμε δηλαδή ότι αν τα διανύσματα Εικόνα είναι παράλληλα, τότε

Εικόνα

• Αντιστρόφως, αν Εικόνα τότε τα διανύσματα Εικόνα θα είναι παράλληλα. Πράγματι, επειδή Εικόνα έχουμε Εικόνα

Επομένως,

— Αν Εικόνα τότε Εικόνα οπότε, αν θέσουμε Εικόνα θα έχουμε

Εικόνα

Άρα, Εικόνα και συνεπώς Εικόνα

— Αν x2= 0 , τότε x1 y2= 0 , οπότε αν x1= 0, τα διανύσματα Εικόνα θα είναι παράλληλα προς τον άξονα των τεταγμένων, άρα και μεταξύ τους παράλληλα, ενώ, αν y2= 0 , τότε το Εικόνα θα είναι το μηδενικό διάνυσμα και άρα, παράλληλο προς το Εικόνα.

Αποδείξαμε λοιπόν ότι

Εικόνα

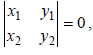
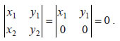
Την ορίζουσα Εικόνα που έχει ως 1η τη γραμμή τις συντεταγμένες του διανύσματος Εικόνα και ως 2η γραμμή τις συντεταγμένες του διανύσματος Εικόνα , τη λέμε ορίζουσα των διανυσμάτων Εικόνα και Εικόνα (με τη σειρά που δίνονται) και θα τη συμβολίζουμε με Εικόνα. Έτσι, η παραπάνω ισοδυναμία διατυπώνεται ως εξής:

Εικόνα

Για παράδειγμα:

— Τα διανύσματα Εικόνα είναι παράλληλα, αφού Εικόνα ενώ

— Τα διανύσματα Εικόνα δεν είναι παράλληλα, αφού Εικόνα

Συντελεστής Διεύθυνσης Διανύσματος

Εικόνα

• Έστω Εικόνα ένα μη μηδενικό διάνυσμα και A το σημείο του επιπέδου για το οποίο ισχύει Εικόνα .Τη γωνία φ , που διαγράφει ο ημιάξονας αν στραφεί γύρω από το Ο κατά τη θετική φορά μέχρι να συμπέσει με την ημιευθεία ΟΑ, την ονομάζουμε γωνία που σχηματίζει το διάνυσμα Εικόναμε τον άξονα x'x. Είναι φανερό ότι

Εικόνα

Για τη γωνία φ , όπως είναι γνωστό από την Τριγωνομετρία, αν το Εικόνα δεν είναι παράλληλο προς τον άξονα y'y , ισχύει

Εικόνα

Το πηλίκο y/x της τεταγμένης προς την τετμημένη του διανύσματος Εικόνα με Εικόνα , το λέμε συντελεστή διεύθυνσης του Εικόνα και τον συμβολίζουμε με Εικόνα ή απλώς με λ. Επομένως:

Εικόνα

Είναι φανερό ότι

— Αν y=0 , δηλαδή αν Εικόνα τότε ο συντελεστής διεύθυνσης του διανύσματος Εικόναείναι ο λ=0.

— Αν x=0 , δηλαδή αν Εικόνα , τότε δεν ορίζεται συντελεστής διεύθυνσης του διανύσματος Εικόνα.

• Ας θεωρήσουμε τώρα δύο διανύσματα Εικόνα με συντελεστές διεύθυνσης λ1 και λ2 αντιστοίχως. Τότε έχουμε τις ισοδυναμίες:

Εικόνα

Επομένως, η συνθήκη παραλληλίας για δύο διανύσματα και Εικόνα με συντελεστές διεύθυνσης λ1 και λ2 διατυπώνεται ως εξής:

Εικόνα

ΕΦΑΡΜΟΓΗ

Να βρεθούν οι τιμές του Εικόνα για τις οποίες τα σημεία ΕικόναΕικόνα είναι συνευθειακά.

ΛΥΣΗ

Τα σημεία Α,Β,Γ είναι συνευθειακά, αν και μόνο αν τα διανύσματα Εικόνα και Εικόνα είναι παράλληλα, δηλαδή, αν και μόνο αν Εικόνα .

Έχουμε λοιπόν

Εικόνα

Ασκήσεις

Α' ΟΜΑΔΑΣ
1.

Ποια είναι η θέση στο καρτεσιανό επίπεδο των σημείων M(x,y) για τα οποία ισχύει:

Εικόνα
2.

Να βρείτε τις αποστάσεις των παρακάτω σημείων από τους άξονες x'x και yy' :

Εικόνα
3.

Δίνεται το διάνυσμα Εικόνα. Για ποια τιμή του λ είναι:

Εικόνα
4.

Δίνονται τα διανύσματαΕικόνα Να βρείτε το Εικόνα ώστε να είναι Εικόνα.

5.

Να βρείτε τον πραγματικό αριθμό x, ώστε τα διανύσματα Εικόνα να είναι ομόρροπα.

6.

Αν Εικόνα, ποιο διάνυσμα είναι συγγραμμικό με το Εικόνα και έχει διπλάσιο μέτρο από το Εικόνα ;

7.
Εικόνα

Στο διπλανό σύστημα συντεταγμένων είναι Εικόνα . Να εκφράσετε ως συνάρτηση την Εικόνα :

Εικόνα
8.

Δίνονται τα σημεία Εικόνα. Να βρείτε (i) Το σημείο του άξονα x'x που ισαπέχει από τα A και B (ii) Το σημείο του άξονα yy' που ισαπέχει από τα A και B .


Β' ΟΜΑΔΑΣ
1.

Αν τα σημεία Εικόνα είναι τα μέσα των πλευρών ΑΒ , ΒΓ , ΓΔ , ΔΕ και ΕΑ , αντιστοίχως, του πενταγώνου ΑΒΓΔΕ , να βρεθούν οι συντεταγμένες των κορυφών του πενταγώνου.

2.

Σε ένα σύστημα συντεταγμένων οι τετμημένες δύο σημείων A και B είναι οι ρίζες της εξίσωσης Εικόνα . Να βρείτε την τιμή του Εικόνα , ώστε το μέσον του τμήματος AB να έχει τετμημένη ίση με 4.

3.

Δίνονται τα σημεία Εικόνα. Να εξετάσετε πότε τα σημεία αυτά είναι τα μέσα των διαδοχικών πλευρών τετραπλεύρου.

4.

Για οποιουσδήποτε πραγματικούς αριθμούς Εικόνα να αποδείξετε ότι: Εικόνα .

5.

Δίνονται δύο μη συγγραμμικά διανύσματα και Εικόνα ενός επιπέδου. Να αποδείξετε ότι οποιοδήποτε διάνυσμα Εικόνα του επιπέδου αυτού μπορεί να εκφραστεί ως γραμμικός συνδυασμός των Εικόνακατά μοναδικό τρόπο.