Μαθηματικά (Β Λυκείου Θετικών Σπουδών) - Βιβλίο Μαθητή
1.2 ΠΡΟΣΘΕΣΗ ΚΑΙ ΑΦΑΙΡΕΣΗ ΔΙΑΝΥΣΜΑΤΩΝ 1.4 ΣΥΝΤΕΤΑΓΜΕΝΕΣ ΣΤΟ ΕΠΙΠΕΔΟ Επιστροφή στην αρχική σελίδα του μαθήματος

1.3 ΠΟΛΛΑΠΛΑΣΙΑΣΜΟΣ ΑΡΙΘΜΟΥ ΜΕ ΔΙΑΝΥΣΜΑ

Ορισμός Πολλαπλασιασμού Αριθμού με Διάνυσμα

Έστω λ ένας πραγματικός αριθμός με Εικόνα και Εικόνα ένα μη μηδενικό διάνυσμα. Ονομάζουμε γινόμενο του λ με το Εικόνα και το συμβολίζουμε με Εικόνα ή Εικόνα ένα διάνυσμα το οποίο:

• είναι ομόρροπο του Εικόνα , αν λ>0 και αντίρροπο του Εικόνα, αν λ

• έχει μέτρο Εικόνα

Αν είναι Εικόνα, τότε ορίζουμε ως Εικόνα το μηδενικό διάνυσμα Εικόνα

Εικόνα
Εικόνα

Για παράδειγμα, αν το διάνυσμα Εικόνα του διπλανού σχήματος έχει μέτρο 2, τότε το διάνυσμα 3Εικόνα είναι ομόρροπο με το Εικόνα και έχει μέτρο Εικόνα, ενώ το διάνυσμα -3Εικόνα είναι αντίρροπο με το Εικόνα, αλλά έχει και αυτό μέτρο ίσο με Εικόνα


Το γινόμενο Εικόνα το συμβολίζουμε και με Εικόνα



Ιδιότητες Πολλαπλασιασμού Αριθμού με Διάνυσμα

Για το γινόμενο πραγματικού αριθμού με διάνυσμα ισχύουν οι επόμενες ιδιότητες:

(1)    Εικόνα

(2)    Εικόνα

(3)    Εικόνα

ΑΠΟΔΕΙΞΗ*

Εικόνα

(1) Υποθέτουμε ότι τα διανύσματα Εικόνα είναι μη μηδενικά και ότι Εικόνα. Παίρνουμε ένα σημείο Ο και σχεδιάζουμε τα διανύσματα Εικόνα. Τότε είναι Εικόνα. Σχεδιάζουμε επιπλέον τα διανύσματα Εικόνα και Εικόνα. Επειδή

Εικόνα

τα τρίγωνα ΟΑΒ και ΟΑ΄Β΄ είναι όμοια και επομένως η πλευρά Α΄Β΄ είναι παράλληλη με την ΑΒ και ισχύει

Εικόνα
Εικόνα

Αυτό σημαίνει ότιΕικόνα.

Επομένως, επειδή Εικόνα έχουμε Εικόνα

Η ιδιότητα ισχύει προφανώς και όταν ένα τουλάχιστον από τα διανύσματα Εικόνα είναι το μηδενικό ή όταν ο αριθμός λ είναι μηδέν.


Η απόδειξη των ιδιοτήτων (2) και (3) αφήνεται ως άσκηση. Εικόνα




Ως συνέπεια του ορισμού του γινομένου αριθμού με διάνυσμα και των παραπάνω ιδιοτήτων έχουμε:

Εικόνα

Γραμμικός Συνδυασμός Διανυσμάτων

Ας θεωρήσουμε δύο διανύσματα Εικόνα. Από τα διανύσματα αυτά "παράγονται", για παράδειγμα, τα διανύσματα Εικόνα κτλ. Καθένα από τα διανύσματα αυτά λέγεται γραμμικός συνδυασμός των Εικόνα. Γενικά, ονομάζεται γραμμικός συνδυασμός δύο διανυσμάτων Εικόνα κάθε διάνυσμα της μορφής Εικόνα, όπου Εικόνα

Ανάλογα ορίζεται και ο γραμμικός συνδυασμός τριών ή περισσότερων διανυσμάτων. Έτσι, για παράδειγμα, το διάνυσμα Εικόνα είναι ένας γραμμικός συνδυασμός των Εικόνα

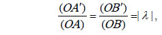
Συνθήκη Παραλληλίας Διανυσμάτων

Όπως είδαμε, αν δύο διανύσματα Εικόνα, όπου Εικόνα συνδέονται με τη σχέση Εικόνα τότε τα διανύσματα αυτά είναι παράλληλα. Ισχύει όμως και το αντίστροφο. Δηλαδή, αν τα διανύσματα Εικόνα είναι παράλληλα και Εικόνατότε υπάρχει μοναδικός αριθμός λ τέτοιος ώστε Εικόνα. Πράγματι, αν θέσουμε Εικόνα τότεΕικόνα. Συνεπώς:

• Αν Εικόνα τότε Εικόνα

• Αν Εικόνα τότε Εικόνα

• Αν Εικόνα τότε Εικόνα

Σε κάθε λοιπόν περίπτωση υπάρχει λ και μάλιστα μοναδικός (ιδιότητα iv), τέτοιος, ώστε Εικόνα. Επομένως:

ΘΕΩΡΗΜΑ

Αν Εικόνα είναι δύο διανύσματα, με Εικόνα τότε

Εικόνα

Για παράδειγμα, στο παρακάτω σχήμα αν Δ και Ε είναι τα μέσα των πλευρών ΑΒ και ΑΓ του τριγώνου ΑΒΓ, έχουμε:

Εικόνα

Εικόνα

Αφού λοιπόν Εικόνα συμπεραίνουμε ότι Εικόνα και Εικόνα που σημαίνει ότι Εικόνα Ξαναβρίσκουμε δηλαδή τη γνωστή μας από την Ευκλείδεια Γεωμετρία σχέση Εικόνα

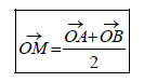
Διανυσματική Ακτίνα Μέσου Τμήματος

Εικόνα

Ας πάρουμε ένα διάνυσμα Εικόνα και ένα σημείο αναφοράς Ο. Για τη διανυσματική ακτίνα Εικόνατου μέσου Μ του τμήματος ΑΒ έχουμε:

Εικόνα

Επομένως,

Εικόνα. Άρα

Εικόνα

ΕΦΑΡΜΟΓΕΣ

Εικόνα

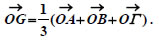
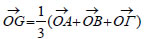
1. Να αποδειχτεί ότι ένα σημείο G είναι το βαρύκεντρο ενός τριγώνου ΑΒΓ, αν και μόνο αν ισχύει Εικόνα και ότι για οποιοδήποτε σημείο Ο ισχύει Εικόνα



ΑΠΟΔΕΙΞΗ

Γνωρίζουμε από την Ευκλείδεια Γεωμετρία ότι αν G είναι το κέντρο βάρους του τριγώνου ΑΒΓ, τότε Εικόνα , όπου ΑΔ η διάμεσος του τριγώνου. Επομένως, ισχύει Εικόνα, οπότε έχουμε

Εικόνα


Αντιστρόφως, αν για ένα σημείο G ισχύει Εικόνα τότε θα έχουμε Εικόνα όπου Δ το μέσον της ΒΓ, οπότε θα ισχύει Εικόνα Έτσι, το σημείο G ανήκει στη διάμεσο ΑΔ και ισχύει ΑG = 2GΔ. Άρα, το G είναι το κέντρο βάρους του τριγώνου ΑΒΓ.
Από τη σχέση Εικόνα έχουμε: Εικόνα Άρα

Εικόνα

2.Να αποδειχτεί ότι τα ευθύγραμμα τμήματα που ορίζουν τα μέσα των απέναντι πλευρών ενός τετραπλεύρου και τα μέσα των διαγωνίων του διέρχονται από το ίδιο σημείο και διχοτομούνται από το σημείο αυτό.



ΑΠΟΔΕΙΞΗ

Εικόνα

Έστω Εικόνα τα διανύσματα θέσεως των κορυφών Α, Β, Γ, Δ, αντιστοίχως, ενός τετράπλευρου ABΓΔ ως προς ένα σημείο αναφοράς Ο.
Τα διανύσματα θέσεως των μέσων Η της ΒΓ και Θ της ΑΔ είναι Εικόνα και Εικόνα αντιστοίχως και το διάνυσμα θέσεως του μέσου G του ΗΘ είναι το
Εικόνα
Ομοίως βρίσκουμε ότι το διάνυσμα θέσεως των μέσων των τμημάτων ΕΖ και ΙΚ είναι το Εικόνα Άρα τα τμήματα ΗΘ, ΕΖ και ΙΚ
διέρχονται από το ίδιο σημείο και διχοτομούνται από αυτό.

Ασκήσεις

Α' ΟΜΑΔΑΣ
1.

Αν Εικόνα είναι ένα διάνυσμα, τι μπορείτε να πείτε για το μέτρο και την κατεύθυνση του διανύσματος Εικόνα

2.

Να βρείτε το διάνυσμα Εικόνα σε καθεμιά από τις περιπτώσεις:

Εικόνα

3.
Εικόνα

Αν στο διπλανό σχήμα είναι Εικόνα , να αποδείξετε ότι
Εικόνα

4.
Εικόνα

Στο διπλανό σχήμα έχουμε:
Εικόνα
(i) Να εκφράσετε συναρτήσει των Εικόνα τα διανύσματα Εικόνα
(ii) Από τις εκφράσεις των Εικόνα ποιο συμπέρασμα προκύπτει για τα σημεία Α, Ε και Γ;

5.

Στο παρακάτω σχήμα να αποδείξετε ότι τα σημεία A, Γ και Ε είναι συνευθειακά.

Εικόνα

6.

Αν Εικόνα να αποδείξετε ότι τα σημεία Κ, Λ και Μ είναι συνευθειακά.

7.

Αν Εικόνα είναι διάμεσοι τριγώνου ABΓ, να αποδείξετε ότι Εικόνα

8.

Αν K, Λ, Μ είναι τα μέσα των πλευρών ΒΓ, ΓΑ, ΑΒ, αντιστοίχως, τριγώνου ΑΒΓ να αποδείξετε ότι για οποιοδήποτε σημείο Ο ισχύει: Εικόνα

9.

Αν Μ και Ν είναι τα μέσα των διαγωνίων AΓ και ΒΔ, αντιστοίχως, ενός τετραπλεύρου ΑΒΓΔ, να αποδείξετε ότι Εικόνα

10.

Δίνεται το μη μηδενικό διάνυσμα Εικόνα και σημείο Γ τέτοιο ώστε να ισχύει Εικόνα και Εικόνα Να αποδείξετε ότι Εικόνα

11.

Δίνεται τρίγωνο ΑΒΓ. Αν Εικόνα και Εικόνα να αποδείξετε ότι Εικόνα

Β' ΟΜΑΔΑΣ
1.

Έστω Εικόνα δύο μη συγγραμμικά διανύσματα.
(i) Αν Εικόνα να δείξετε ότι x = y = 0.
(ii) Αν Εικόνα να δείξετε ότι Εικόνα και Εικόνα
(iii) Να βρείτε για ποιες τιμές του Εικόνα τα διανύσματα Εικόνακαι Εικόνα είναι συγγραμμικά.

2.

Θεωρούμε ένα παραλληλόγραμμο ABΓΔ και τα σημεία Ε και Ζ, ώστε Εικόνα και Εικόνα με Εικόνα Αν Εικόνα να αποδείξετε ότι τα σημεία Ε, Γ και Ζ είναι συνευθειακά.

3.

Να αποδείξετε ότι αν ισχύουν δύο από τις σχέσεις ΕικόναΕικόνα τότε θα ισχύει και η τρίτη (το σημείο K είναι διαφορετικό από το Λ).

4.

Αν Εικόνα και Εικόνα είναι οι διανυσματικές ακτίνες των σημείων Α, Β και Μ αντιστοίχως και Εικόνα να αποδείξετε ότι αν το Μ είναι εσωτερικό του ΑΒ, τότε Εικόνα ενώ αν το Μ είναι εξωτερικό του ΑΒ, τότε Εικόνα

Εικόνα

5.

Δίνεται τρίγωνο ΑΒΓ και ένα σημείο Σ. Βρίσκουμε τα συμμετρικά Δ, Ε και Ζ του Σ ως προς τα μέσα Κ, Λ και Μ των πλευρών ΒΓ, ΑΓ και ΑΒ αντιστοίχως. Αν G και G' τα βαρύκεντρα των τριγώνων ABΓ και ΔΕΖ, να αποδείξετε ότι τα σημεία Σ, G και G' είναι συνευθειακά.

6.

Δίνεται τετράπλευρο ΑΒΓΔ και έστω Μ και Ν τα μέσα των διαγωνίων του ΑΓ και ΒΔ αντιστοίχως. Να αποδείξετε ότι αν Εικόνα τότε το τετράπλευρο αυτό είναι παραλληλόγραμμο.

7.

Αν G και G' είναι τα βαρύκεντρα δύο τριγώνων ABΓ και A΄Β΄Γ΄ να αποδείξετε ότι Εικόνα

8.

Δίνονται τα σημεία Α, Β και Γ. Να αποδείξετε ότι για οποιοδήποτε σημείο Μ το διάνυσμα Εικόνα είναι σταθερό.

9.
Εικόνα

Τα σημεία Α, Β, Γ και Δ ενός επιπέδου έχουν διανύσματα θέσεως Εικόνα και Εικόνα αντιστοίχως, όπου τα διανύσματα Εικόνα είναι μη συγγραμμικά. Να βρείτε το διάνυσμα θέσεως Εικόνα του σημείου τομής των ευθειών ΑΒ και ΓΔ.