Μαθηματικά (Β Λυκείου Θετικών Σπουδών) - Βιβλίο Μαθητή
1.1 Η ΕΝΝΟΙΑ ΤΟΥ ΔΙΑΝΥΣΜΑΤΟΣ 1.3 ΠΟΛΛΑΠΛΑΣΙΑΣΜΟΣ ΑΡΙΘΜΟΥ ΜΕ ΔΙΑΝΥΣΜΑ Επιστροφή στην αρχική σελίδα του μαθήματος

1.2 ΠΡΟΣΘΕΣΗ ΚΑΙ ΑΦΑΙΡΕΣΗ ΔΙΑΝΥΣΜΑΤΩΝ

Πρόσθεση Διανυσμάτων

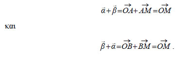
Έστω δύο διανύσματα Εικόνα Με αρχή ένα σημείο Ο παίρνουμε διάνυσμα Εικόνα και στη συνέχεια με αρχή το Α παίρνουμε διάνυσμα ΕικόναΤο διάνυσμαΕικόνα λέγεται άθροισμα ή συνισταμένη των διανυσμάτων Εικόνα και συμβολίζεται με Εικόνα.

Θα αποδείξουμε ότι το άθροισμα των διανυσμάτων Εικόνα είναι ανεξάρτητο της επιλογής του σημείου Ο. Πράγματι, αν O' είναι ένα άλλο σημείο και πάρουμε τα διανύσματα Εικόνα και Εικόνα , επειδή Εικόνα και Εικόνα, έχουμε Εικόνα και Εικόνα. Επομένως, Εικόνα, που συνεπάγεται ότι και Εικόνα.

Εικόνα
Εικόνα

Το άθροισμα δύο διανυσμάτων βρίσκεται και με το λεγόμενο κανόνα του παραλληλόγραμμου. Δηλαδή, αν με αρχή ένα σημείο Ο πάρουμε τα διανύσματα Εικόνα και Εικόνα, τότε το άθροισμα Εικόνα ορίζεται από τη διαγώνιο OM του παραλληλόγραμμου που έχει προσκείμενες πλευρές τις OA και OB.

Ιδιότητες Πρόσθεσης Διανυσμάτων

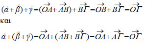
Για την πρόσθεση των διανυσμάτων ισχύουν οι γνωστές ιδιότητες της πρόσθεσης πραγματικών αριθμών. Δηλαδή, αν Εικόνα είναι τρία διανύσματα, τότε:

(1)    Εικόνα (Αντιμεταθετική ιδιότητα)

(2)     Εικόνα (Προσεταιριστική ιδιότητα)

(3)    Εικόνα

(4)     Εικόνα

ΑΠΟΔΕΙΞΗ

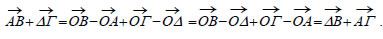
• Από το προηγούμενο σχήμα έχουμε:

Εικόνα

Επομένως, Εικόνα.

Εικόνα

• Από το διπλανό σχήμα έχουμε:

Εικόνα

Επομένως, Εικόνα

• Οι ιδιότητες (3) και (4) είναι προφανείς.    Εικόνα

Η προσεταιριστική ιδιότητα μας επιτρέπει να συμβολίζουμε καθένα από τα ίσα αθροίσματα Εικόνα και Εικόνα με Εικόνα,το οποίο θα λέμε άθροισμα των τριών διανυσμάτων Εικόνα. Το άθροισμα περισσότερων διανυσμάτων Εικόνα ορίζεται επαγωγικά ως εξής:

Εικόνα

Για παράδειγμα, Εικόνα

Εικόνα

Δηλαδή, για να προσθέσουμε ν διανύσματα Εικόνα τα καθιστούμε διαδοχικά, οπότε το άθροισμά τους θα είναι το διάνυσμα που έχει ως αρχή την αρχή του πρώτου και ως πέρας το πέρας του τελευταίου. Επειδή μάλιστα ισχύουν η αντιμεταθετική και η προσεταιριστική ιδιότητα της πρόσθεσης, το άθροισμα δε μεταβάλλεται αν αλλάξει η σειρά των προσθετέων ή αν μερικοί από αυτούς αντικατασταθούν με το άθροισμά τους.

Αφαίρεση Διανυσμάτων

Η διαφορά Εικόνατου διανύσματος Εικόνα από το διάνυσμα Εικόνα ορίζεται ως άθροισμα των διανυσμάτων Εικόνα και - Εικόνα. Δηλαδή

Εικόνα

Σύμφωνα με τα παραπάνω, αν έχουμε δύο διανύσματα Εικόνα και Εικόνα, τότε υπάρχει μοναδικό διάνυσμα Εικόνα, τέτοιο, ώστε Εικόνα. Πράγματι,

Εικόνα

Διάνυσμα Θέσεως

Εικόνα

Έστω Ο ένα σταθερό σημείο του χώρου. Τότε για κάθε σημείο Μ του χώρου ορίζεται το διάνυσμα Εικόνα, το οποίο λέγεται διάνυσμα θέσεως του Μ ή διανυσματική ακτίνα του Μ. Το σημείο Ο, που είναι η κοινή αρχή όλων των διανυσματικών ακτίνων των σημείων του χώρου, λέγεται σημείο αναφοράς στο χώρο.

Αν Ο είναι ένα σημείο αναφοράς, τότε για οποιοδήποτε διάνυσμα Εικόνα έχουμε Εικόνα και επομένως

Εικόνα

Δηλαδή:

"Κάθε διάνυσμα στο χώρο είναι ίσο με τη διανυσματική ακτίνα του πέρατος μείον τη διανυσματική ακτίνα της αρχής".

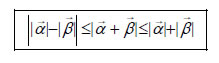
Μέτρο Αθροίσματος Διανυσμάτων

Εικόνα

Στο διπλανό σχήμα βλέπουμε το άθροισμα των διανυσμάτων Εικόνα.Από την τριγωνική ανισότητα γνωρίζουμε όμως ότι
Εικόνα
και επομένως

Εικόνα


ΕΦΑΡΜΟΓΕΣ

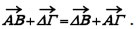
1. Για τέσσερα σημεία Α, Β, Γ, Δ να αποδειχτεί ότιΕικόνα

ΑΠΟΔΕΙΞΗ

Εικόνα

Αν Ο είναι ένα σημείο αναφοράς, τότε έχουμε:

Εικόνα

2. Να αποδειχτεί ότι Εικόνα

ΑΠΟΔΕΙΞΗ

Έχουμε Εικόνα

Ασκήσεις

1.

Οι δυνάμεις Εικόνα ασκούνται στο σώμα Σ. Ποια δύναμη χρειάζεται, ώστε να μην αφήσει το σώμα Σ να μετακινηθεί από τη θέση του;

Εικόνα

2.

Δίνονται τέσσερα σημεία Α, Β, Γ και Δ και έστω Εικόνα και Εικόνα τα αντίστοιχα διανύσματα θέσεως ως προς ένα σημείο αναφοράς Ο. Τι μπορείτε να πείτε για το τετράπλευρο ΑΒΓΔ αν:

Εικόνα

3.

Να εκφράσετε το διάνυσμα Εικόνα σε καθένα από τα παρακάτω σχήματα ως συνάρτηση των άλλων διανυσμάτων που δίνονται:

Εικόνα

4.

Αν για δύο τρίγωνα ΑΒΓ και ΑΔΕ ισχύει Εικόνα, να δείξετε ότι το τετράπλευρο ΒΔΓΕ είναι παραλληλόγραμμο.

5.

Δίνονται τέσσερα σημεία Α,Β,Γ,Δ και έστω Ο, το μέσο του τμήματος ΑΓ. Να αποδείξετε ότι Εικόνα

6.

Δίνεται κανονικό εξάγωνo ΑΒΓΔΕΖ. Αν Εικόνα και Εικόνα, να εκφράσετε το διάνυσμα Εικόνα ως συνάρτηση των Εικόνα

7.

Για ένα τυχαίο εξάγωνο Εικόνα να αποδείξετε ότι

Εικόνα