Άλγεβρα (Α Λυκείου) - Βιβλίο Μαθητή
Κεφάλαιο 3: Εξισώσεις Κεφάλαιο 5: Πρόοδοι Επιστροφή στην αρχική σελίδα του μαθήματος

4ΑΝΙΣΩΣΕΙΣ

4.1 ΑΝΙΣΩΣΕΙΣ 1ου ΒΑΘΜΟΥ

Οι ανισώσεις: αx + β>0 και αx + β<0

Γνωρίσαμε στο Γυμνάσιο τη διαδικασία επίλυσης μιας ανίσωσης της μορφής αx + β>0 ή της μορφής αx + β<0 , με α και β συγκεκριμένους αριθμούς.

Γενικότερα έχουμε:

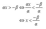
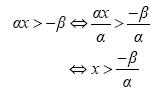
αx + β > 0 ⇔ αx + β - β >-β
αx >-β

Διακρίνουμε τώρα τις εξής περιπτώσεις:

  • Αν α>0, τότε:

pic41

  • Αν α<0, τότε:

pic42

  • Αν α = 0, τότε η ανίσωση γίνεται 0x>-β, η οποία
  • αληθεύει για κάθε x∈ℝ, αν είναι β>0, ενώ
  • είναι αδύνατη, αν είναι β≤0 .

Για παράδειγμα:

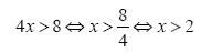
  • Η ανίσωση 4x>8 γράφεται:

pic43

Επομένως η ανίσωση αυτή αληθεύει για x ∈(2, +∞)

pic44

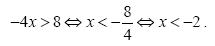
  • Η ανίσωση -4x>8 γράφεται:

pic46

Επομένως η ανίσωση αυτή αληθεύει για x ∈(-∞,-2).

pic45

  • Η ανίσωση 0x>-2 αληθεύει για κάθε x ∈ ℝ , ενώ η ανίσωση 0x>2 είναι αδύνατη.

ΕΦΑΡΜΟΓΗ

 

i) Να λυθούν οι ανισώσεις:

pic47

ii) Να βρεθούν οι κοινές λύσεις των δύο ανισώσεων.

ΛΥΣΗ

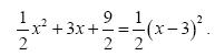
i) Για την πρώτη ανίσωση έχουμε:

pic48

Άρα η ανίσωση αληθεύει για κάθε πραγματικό αριθμό x<5 .

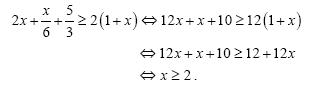
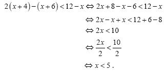
Για τη δεύτερη ανίσωση έχουμε:

pic49

Άρα η ανίσωση αληθεύει για κάθε πραγματικό αριθμό x ≥ 2

ii) Επειδή η πρώτη ανίσωση αληθεύει για x<5 και η δεύτερη για x ≥ 2, οι ανισώσεις συναληθεύουν για κάθε πραγματικό αριθμό x με 2 ≤ x < 5 , δηλαδή οι ανισώσεις συναληθεύουν όταν x ∈[2,5).

Για τον προσδιορισμό των κοινών λύσεων των δύο ανισώσεων μας διευκολύνει να παραστήσουμε τις λύσεις τους στον ίδιο άξονα (Σχήμα), απ’ όπου προκύπτει ότι 2 ≤ x < 5

pic410

Ανισώσεις με απόλυτες τιμές

Με τη βοήθεια των ιδιοτήτων της απόλυτης τιμής και της έννοιας της απόστασης δύο αριθμών, μπορούμε να επιλύουμε ανισώσεις που περιέχουν απόλυτες τιμές. Στη συνέχεια θα δούμε μερικά παραδείγματα επίλυσης τέτοιων ανισώσεων.

ΠΑΡΑΔΕΙΓΜΑ 1ο

Να λυθεί η ανίσωση: |x - 2| < 3 .

ΛΥΣΗ

Η επίλυση της ανίσωσης |x - 2| < 3,με τη βοήθεια της ιδιότητας

|x - xο|<ρ ⇔ xο - ρ<x<xο + ρ

γίνεται ως εξής:

|x - 2| < 3 ⇔2 - 3 < x < 2 + 3
⇔-1 < x < 5

Μπορούμε όμως να λύσουμε την παραπάνω ανίσωση και με τη βοήθεια της ιδιότητας

|x| < ρ⇔-ρ < x < ρ

ως εξής:

pic411

Άρα η ανίσωση αληθεύει για x ∈(-1,5).

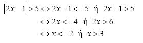
ΠΑΡΑΔΕΙΓΜΑ 2ο

Να λυθεί η ανίσωση: |2x -1| > 5

ΛΥΣΗ

Από την ιδιότητα |x| > ρ ⇔x < -ρ ή x > ρ έχουμε :

pic412

Άρα η ανίσωση αληθεύει για x ∈(-∞,-2)∪(3,+∞).

Ασκήσεις

Α' ΟΜΑΔΑΣ
1.

Να λύσετε τις ανισώσεις:

pic413

2.

Να βρείτε τις τιμές του x για τις οποίες συναληθεύουν οι ανισώσεις

pic414

3.

Να εξετάσετε αν συναληθεύουν οι ανισώσεις:

pic415

4.

Να βρείτε τα x ∈ℤ για τα οποία συναληθεύουν οι ανισώσεις:

pic416

5.

Να λύσετε τις ανισώσεις:

i) |x| < 3 ii) |x -1| ≤ 4 iii) |2x +1| < 5

6.

Να λύσετε τις ανισώσεις:

i) |x| ≥ 3 ii) |x - 1| > 4 iii) |2x +1| ≥ 5.

7.

Να λύσετε τις εξισώσεις:

i) |2x - 6| = 2x - 6 ii) |3x -1| = 1 - 3x.

8.

Να λύσετε τις ανισώσεις:

pic417

9.

Να λύσετε την ανίσωση pic418

10.

Να βρείτε την ανίσωση της μορφής |x - x0| < ρ, που έχει ως λύσεις τους αριθμούς του διαστήματος (-7,3).

11.

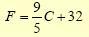
Η σχέση που συνδέει τους βαθμούς Κελσίου (oC) με τους βαθμούς Φαρενάϊτ (oF) είναι η pic419 . Στη διάρκεια μιας νύχτας η θερμοκρασία σε μια πόλη κυμάνθηκε από 41oF μέχρι 50oF. Να βρείτε το διάστημα μεταβολής της θερμοκρασίας σε oC.

B' ΟΜΑΔΑΣ
1.

Να βρείτε τις τιμές x για τις οποίες ισχύει:

i) 3 ≤ 4x -1 ≤ 6 ii) -4 ≤ 2 - 3x ≤ -2.

2.

Να βρείτε τις τιμές x για τις οποίες ισχύει:

i) 2 ≤ |x| ≤ 4 ii) 2 ≤ |x - 5| ≤ 4.

3.

Έστω Α και Β τα σημεία που παριστάνουν σε έναν άξονα τους αριθμούς -3 και 5 και Μ το μέσο του τμήματος ΑΒ.

i) Ποιος αριθμός αντιστοιχεί στο σημείο Μ;

ii) Να διατυπώσετε γεωμετρικά το ζητούμενο της ανίσωσης |x - 5| ≤ |x + 3| και να βρείτε τις λύσεις της.

iii) Να επιβεβαιώσετε αλγεβρικά τα συμπεράσματά σας.

4.

Έστω Α και Β τα σημεία που παριστάνουν σε έναν άξονα τους αριθμούς 1 και 7 και Μ το μέσο του τμήματος ΑΒ.

i) Ποιος αριθμός αντιστοιχεί στο σημείο Μ;

ii) Να διατυπώσετε γεωμετρικά το ζητούμενο της εξίσωσης |x - 1| + |x - 7| = 6 και να βρείτε τις λύσεις της.

iii) Να επιβεβαιώσετε αλγεβρικά τα συμπεράσματά σας, αφού προηγουμένως συντάξετε πίνακα προσήμου των παραστάσεων x - 1 και x - 7 .

4.2 ΑΝΙΣΩΣΕΙΣ 2ου ΒΑΘΜΟΥ

Μορφές τριωνύμου

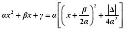
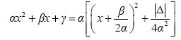
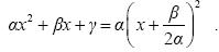
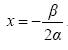
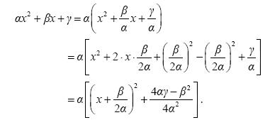
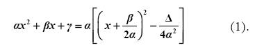
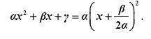
Η παράσταση αx2 + βx + γ, α ≠ 0 λέγεται τριώνυμο 2ου βαθμού ή, πιο απλά, τριώνυμο. Η διακρίνουσα Δ της αντίστοιχης εξίσωσης αx2 + βx + γ = 0 λέγεται και διακρίνουσα του τριωνύμου. Οι ρίζες της εξίσωσης αx2 + βx + γ = 0, δηλαδή οι pic420ονομάζονται και ρίζες του τριωνύμου.

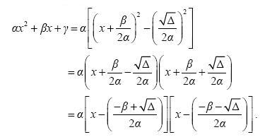
Το τριώνυμο αx2 + βx + γ, α ≠ 0 μετασχηματίζεται ως εξής:

pic421

Επομένως:

pic422

Διακρίνουμε τώρα τις εξής περιπτώσεις:

  • Δ>0 . Τότε ισχύειpic423, οπότε έχουμε:

pic424

Επομένως:

αx2 + βx + γ = α(x - x1)(x - x2) ,

όπου x1, x2 οι ρίζες του τριωνύμου.

Άρα, όταν Δ>0, τότε το τριώνυμο μετατρέπεται σε γινόμενο του α επί δύο πρωτοβάθμιους παράγοντες.

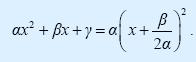
  • Δ = 0 . Τότε από την ισότητα (1) έχουμε:

pic425

Άρα, όταν Δ = 0, τότε το τριώνυμο μετατρέπεται σε γινόμενο του α επί ένα τέλειο τετράγωνο.

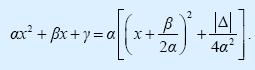
  • Δ<0 . Τότε ισχύει |Δ| = -Δ, οπότε έχουμε:

pic426

Επειδή για κάθε x ∈ ℝ , η παράσταση μέσα στην αγκύλη είναι θετική, το τριώνυμο δεν αναλύεται σε γινόμενο πρωτοβάθμιων παραγόντων.

Συνοψίζοντας τα παραπάνω συμπεράσματα για τις μορφές του τριωνύμου αx2 + βx + γ, α ≠ 0 με διακρίνουσα Δ έχουμε:

  • Αν Δ>0 ,τότε:

αx2 + βx + γ = α(x - x1 )(x - x2),

όπου x1, x2 οι ρίζες του τριωνύμου.

  • Αν Δ = 0, τότε:

pic427

  • Αν Δ<0, τότε:

pic428

Για παράδειγμα:

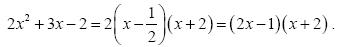
  • Το τριώνυμο 2x2 + 3x - 2 έχει Δ = 9 + 16 = 25>0 και ρίζες pic429 και x2 = -2. Επομένως:

pic430

  • Το τριώνυμο pic431. Eπομένως:

pic432

  • Το τριώνυμο 2x2 - 6x + 5 έχει Δ= - 4<0 . Επομένως:

pic433

Πρόσημο των τιμών του τριωνύμου

Για να μελετήσουμε το πρόσημο των τιμών του τριωνύμου αx2 + βx + γ, α ≠ 0, θα χρησιμοποιήσουμε τις μορφές του ανάλογα με τη διακρίνουσα.

  • Αν Δ>0, τότε, όπως είδαμε προηγουμένως, ισχύει:

αx2 + βx + γ= α (x - x1 )(x - x2)    (1)

Υποθέτουμε ότι x1<x2 και τοποθετούμε τις ρίζες σε έναν άξονα.

Παρατηρούμε ότι:

  • Αν x < x1 < x2 (Σχήμα) , τότε x - x1 < 0 και x - x2 < 0, οπότε (x - x1)(x - x2) > 0. Επομένως, λόγω της (1), το τριώνυμο είναι ομόσημο του α .
pic434
  • Αν x1 < x < x2 (Σχήμα), τότε x - x1 > 0 και x - x2 < 0, οπότε (x - x1)(x - x2) < 0. Επομένως, λόγω της (1), το τριώνυμο είναι ετερόσημο του α .
pic435
  • Αν x1 < x2 < x (Σχήμα), τότε x - x1 > 0 και x - x2 > 0, οπότε (x - x1)(x - x2) > 0. Επομένως, λόγω της (1), το τριώνυμο είναι ομόσημο του α .
pic436
  • Αν Δ = 0, τότε ισχύει:

pic437

Επομένως, το τριώνυμο είναι ομόσημο του α για κάθε πραγματικό pic438 , ενώ μηδενίζεται για pic439

  • Αν Δ<0, τότε ισχύει:

pic440

Όμως η παράσταση μέσα στην αγκύλη είναι θετική για κάθε πραγματικό αριθμό x. Επομένως το τριώνυμο είναι ομόσημο του α σε όλο το ℝ.

Τα παραπάνω συνοψίζονται στον πίνακα:

Το τριώνυμο αx2 + βx + γ, α ≠ 0 γίνεται:

  • Ετερόσημο του α , μόνο όταν είναι Δ>0 και για τις τιμές του x, που βρίσκονται μεταξύ των ριζών.
  • Μηδέν, όταν η τιμή του x είναι κάποια από τις ρίζες του τριωνύμου.
  • Ομόσημο του α σε κάθε άλλη περίπτωση.
 

Ανισώσεις της μορφής αx2 + βx + γ > 0 ή αx2 + βx + γ < 0

Τα προηγούμενα συμπεράσματα χρησιμοποιούνται στην επίλυση ανισώσεων της μορφής αx2 + βx + γ > 0 ή αx2 + βx + γ < 0, α ≠ 0 , τις οποίες ονομάζουμε ανισώσεις δευτέρου βαθμού. Ο τρόπος επίλυσης αυτών φαίνεται στα παρακάτω παραδείγματα.

ΠΑΡΑΔΕΙΓΜΑ 1o

Να λυθούν οι ανισώσεις

i) 2x2 - 3x - 2 > 0 (ii) 2x2 - 3x - 2 < 0

ΛΥΣΗ

Ζητάμε τις τιμές του x, για τις οποίες το τριώνυμο 2x2 - 3x - 2 είναι θετικό στην περίπτωση (i) και αρνητικό στην περίπτωση (ii).

Το τριώνυμο έχει ρίζες τους αριθμούς pic441 και 2 και, επειδή α = 2>0, το πρόσημό του φαίνεται στον παρακάτω πίνακα.

x

-∞ pic441 2 +∞

f(x)

+ 0 - 0 +

Από τον πίνακα αυτόν προκύπτει ότι:

i)     Η ανίσωση 2x2 - 3x - 2 > 0 έχει λύσεις τα x∈ ℝ για τα οποία ισχύει x <pic441 ή x>2 , δηλαδή τα pic442 Οι λύσεις αυτές εποπτικά φαίνονται στο παρακάτω σχήμα.

pic443

ii) Η ανίσωση 2x2 - 3x - 2 < 0 έχει λύσεις τα x ∈ℝ για τα οποία ισχύει pic441 < x < 2, δηλαδή τα pic444. Οι λύσεις αυτές εποπτικά φαίνονται στο παρακάτω σχήμα.

pic445

ΠΑΡΑΔΕΙΓΜΑ 2o

Να λυθεί η ανίσωση 2x2 - 3x - 2 ≤ 0

ΛΥΣΗ

Ζητάμε τις τιμές του x, που είναι λύσεις της ανίσωσης 2x2 - 3x - 2<0 ή ρίζες της εξίσωσης 2x2 - 3x - 2 = 0. Επομένως σύμφωνα με το 1o παράδειγμα οι λύσεις της ανίσωσης 2x2 - 3x - 2 ≤ 0 είναι τα x∈ℝ , με pic441≤ x ≤ 2 δηλαδή τα pic446. Οι λύσεις αυτές εποπτικά φαίνονται στο παρακάτω σχήμα.

pic447

ΠΑΡΑΔΕΙΓΜΑ 3o

Να λυθούν οι ανισώσεις

i) x2 - 2x + 1 > 0 ii) x2 - 2x + 1 < 0

ΛΥΣΗ

Η διακρίνουσα του τριωνύμου x2 - 2x + 1 είναι Δ = 0, οπότε έχει διπλή ρίζα την x = 1. Άρα το τριώνυμο είναι ομόσημο του α = 1, δηλαδή θετικό, για κάθε x∈ℝ με x ≠ 1.

Επομένως οι λύσεις της ανίσωσης (i) είναι όλοι οι πραγματικοί αριθμοί x, με x ≠ 1, ενώ η ανίσωση (ii) είναι αδύνατη.

Οι λύσεις της (i) εποπτικά φαίνονται στο παρακάτω σχήμα.

pic448

ΠΑΡΑΔΕΙΓΜΑ 4o

Να λυθεί η ανίσωση x2 + x + 1 > 0

ΛΥΣΗ

Η διακρίνουσα του τριωνύμου x2 + x + 1 είναι Δ = -3<0, οπότε το τριώνυμο είναι ομόσημο του α = 1, δηλαδή θετικό, για κάθε x∈ℝ . Επομένως οι λύσεις της ανίσωσης είναι όλοι οι πραγματικοί αριθμοί.

ΕΦΑΡΜΟΓΕΣ

Να βρεθούν οι τιμές του x∈ℝ για τις οποίες συναληθεύουν οι ανισώσεις:

x2 - 4x - 5 < 0 και x2 - x - 6 > 0.

ΛΥΣΗ

Λύνουμε κάθε ανίσωση χωριστά και μετά βρίσκουμε τις κοινές λύσεις

Έχουμε:

  • x2 - 4x - 5<0 ⇔ (x - 5)(x +1)<0 ⇔ -1< x < 5
  • x2 - x - 6 > 0⇔(x + 2)(x - 3) > 0 ⇔x < -2 ή x > 3

pic449

Άρα οι ανισώσεις συναληθεύουν για x∈(3,5).

Δίνεται η εξίσωση x2 - (α + 1)x + α + 4 = 0, α∈ℝ

i) Να βρεθεί η διακρίνουσα της εξίσωσης και να μελετηθεί το πρόσημό της.

ii) Για ποιες τιμές του α η εξίσωση έχει δύο ρίζες άνισες;

iii) Για ποιες τιμές του α η εξίσωση έχει διπλή ρίζα;

iv) Για ποιες τιμές του α η εξίσωση είναι αδύνατη στο ℝ ;

ΛΥΣΗ

i) Έχουμε:

Δ = [-(α +1)]2 - 4 · 1 · (α + 4) = α2 - 2α - 15.

Παρατηρούμε ότι η διακρίνουσα είναι ένα τριώνυμο του α με διακρίνουσα

Δ' = (-2 )2 - 4 · 1 · (-15) = 64>0.

Επομένως η διακρίνουσα Δ έχει ρίζες:

pic450

και το πρόσημό της φαίνεται στον παρακάτω πίνακα.

α

-∞ -3 5 +∞

Δ

+ 0 - 0 +

Από τον πίνακα αυτό προκύπτει ότι:

ii) Η εξίσωση έχει δύο ρίζες άνισες αν Δ > 0 , δηλαδή αν α < -3 ή α > 5.

iii) Η εξίσωση έχει μία διπλή ρίζα αν Δ = 0 , δηλαδή αν α = -3 ή α = 5.

iv) Η εξίσωση είναι αδύνατη αν Δ < 0, δηλαδή -3 < α < 5.

Ασκήσεις

Α' ΟΜΑΔΑΣ
1.

Να μετατρέψετε σε γινόμενα παραγόντων τα τριώνυμα:

i) x2 - 3x + 2 ii) 2x2 - 3x - 2.

2.

Να απλοποιήσετε τις παραστάσεις:

pic451

3.

Για τις διάφορες τιμές του x∈ℝ, να βρείτε το πρόσημο των τριωνύμων:

i) x2 - 2x -15 ii) 4x2 - 4x + 1 iii) x2 - 4x + 13.

4.

Για τις διάφορες τιμές του x∈ℝ, να βρείτε το πρόσημο των τριωνύμων:

i) -x2 + 4x - 3 ii) -9x2 + 6x -1 iii) -x2 + 2x - 2.

5.

Να λύσετε τις ανισώσεις:

i) 5x2 ≤ 20x ii) x2 + 3x ≤ 4 .

6.

Να λύσετε τις ανισώσεις:

i) x2 - x - 2 > 0 ii) 2x2 - 3x - 5 < 0

7.

Να λύσετε τις ανισώσεις:

i) x2 + 4 > 4x ii) x2 + 9 ≤ 6x .

8.

Να λύσετε τις ανισώσεις:

i) x2 + 3x + 5 ≤ 0 ii) 2x2 - 3x + 20 > 0.

9.

Να λύσετε την ανίσωση pic452

10.

Να βρείτε τις τιμές του x∈ℝ για τις οποίες ισχύει: 2x - 1 < x2 - 4 < 12 .

11.

Να βρείτε τις τιμές του x∈ℝ για τις οποίες συναληθεύουν οι ανισώσεις x2 - 6x + 5 < 0 και x2 - 5x + 6 > 0.

B' ΟΜΑΔΑΣ
1.

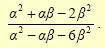
i) Να μετατρέψετε σε γινόμενα παραγόντων τις παραστάσεις:

α2 + αβ - 2β2 και α2 - αβ - 6β2.

ii) Να απλοποιήσετε την παράσταση pic453

2.

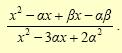
Να παραγοντοποιήσετε το τριώνυμο 2x2 + (2β - α)x - αβ.

3.

Να απλοποιήσετε την παράσταση pic454

4.

Δίνεται η εξίσωση λx2 + 3λx + λ + 5 = 0, λ∈ℝ . Να βρείτε τις τιμές του λ για τις οποίες η εξίσωση:

i) έχει ρίζες ίσες ii) έχει ρίζες άνισες iii) είναι αδύνατη.

5.

Να βρείτε τις τιμές του λ∈ℝ για τις οποίες η ανίσωση x2 + 3λx + λ > 0 αληθεύει για κάθε x∈ℝ.

6.

Δίνεται το τριώνυμο (λ + 2)x2 - 2λx + 3λ, λ ≠ -2.

i) Να βρείτε τη διακρίνουσα Δ του τριωνύμου και να λύσετε την ανίσωση Δ<0.

ii) Να βρείτε τις τιμές του λ για τις οποίες η ανίσωση (λ + 2)x2 - 2λx + 3λ<0, λ ≠ -2 αληθεύει για κάθε x∈ℝ.

7.

Στο διπλανό σχήμα το ΑΒΓΔ είναι τετράγωνο πλευράς ΑΒ = 3 και το Μ είναι ένα σημείο της διαγωνίου ΑΓ . Να βρείτε τις θέσεις του σημείου Μ πάνω στη διαγώνιο ΑΓ για τις οποίες το άθροισμα των εμβαδών των σκιασμένων τετραγώνων είναι μικρότερο από 5.

pic455

8.

i) Να αποδείξετε ότι α2 - αβ + β2 > 0 για όλα τα α, β∈ℝ με α, β ≠ 0.

ii) Να καθορίσετε το πρόσημο της παράστασης pic456για τις διάφορες τιμές των α, β ≠ 0 .

4.3 ΑΝΙΣΩΣΕΙΣ ΓΙΝΟΜΕΝΟ & ΑΝΙΣΩΣΕΙΣ ΠΗΛΙΚΟ

Πρόσημο γινομένου

Έστω ότι θέλουμε να μελετήσουμε ένα γινόμενο P(x) = Α(x) · Β(x) · … · Φ(x) ως προς το πρόσημό του, όπου οι παράγοντες Α(x), Β(x) , … , Φ(x) είναι της μορφής αx + β (πρωτοβάθμιοι) ή της μορφής αx2 + βx + γ (τριώνυμα).

Βρίσκουμε το πρόσημο κάθε παράγοντα χωριστά και στη συνέχεια το πρόσημο του P(x), όπως φαίνεται στο παράδειγμα που ακολουθεί.

ΠΑΡΑΔΕΙΓΜΑ

Να βρεθεί για τις διάφορες τιμές του x∈ℝ το πρόσημο του γινομένου

P(x) = (x - 1) (x2 + x - 6)(2x2 + x + 1) .

ΛΥΣΗ

Αρχικά βρίσκουμε το πρόσημο του κάθε παράγοντα χωριστά ως εξής:

  • Επειδή

x - 1 ≥ 0 ⇔x ≥ 1,

το x - 1 είναι θετικό για x > 1, μηδέν για x = 1 και αρνητικό για x < 1.

  • Επειδή

x2 + x - 6 ≥ 0⇔(x + 3)(x - 2) ≥ 0 ⇔ x ≤ -3 ή x ≥ 2,

το x2 + x - 6 είναι θετικό για x < -3 και για x > 2 , μηδέν για x = -3 και για x = 2 και αρνητικό για -3 < x < 2 .

  • Επειδή το 2x2 + x +1 έχει διακρίνουσα Δ = 1 - 8 = -7<0, το τριώνυμο αυτό είναι θετικό για κάθε x∈ℝ .

Ο προσδιορισμός, τώρα, του προσήμου του γινομένου P(x) γίνεται με τη βοήθεια του παρακάτω πίνακα, εφαρμόζοντας τον κανόνα των προσήμων.

x

-∞ -3 1 2 +∞

x -1

- | - 0 + | +

x2 + x - 6

+ 0 - | - 0 +

2x2 + x + 1

+ | + | + | +

P(x)

- 0 + 0 - 0 +

Ώστε το γινόμενο P(x) είναι θετικό για -3 < x < 1 και για x > 2, ενώ είναι αρνητικό για x < -3 και για 1 < x < 2. Τέλος είναι μηδέν για x = -3, για x = 1 και για x = 2 .

Ανισώσεις της μορφής Α(x) · Β(x) · … · Φ(x) > 0 (< 0)

Άμεση εφαρμογή των παραπάνω έχουμε στην επίλυση ανισώσεων της μορφής Α(x) · Β(x) · … · Φ(x) > 0 (< 0), όπως είναι για παράδειγμα η ανίσωση

(x - 1)(x2 + x - 6)(2x2 + x + 1)<0

Προκειμένου να λύσουμε την ανίσωση αυτή αρκεί να βρούμε τις τιμές του x∈ℝ για τις οποίες το γινόμενο P(x) = (x - 1)(x2 + x - 6)(2x2 + x + 1)είναι αρνητικό.

Από την πρώτη και την τελευταία γραμμή του πίνακα προσήμου του P(x) διαπιστώνουμε ότι η ανίσωση αληθεύει όταν x∈(-∞, -3)∪(1,2) .

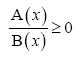
Ανισώσεις της μορφής pic457

Όπως γνωρίζουμε το πηλίκο και το γινόμενο δύο αριθμών είναι ομόσημα.

Επομένως:

pic458

αφού, καμία από τις λύσεις της Α(x) · Β(x) > 0 και της Α(x) · Β(x) < 0 δεν μηδενίζει το Β(x).

Για παράδειγμα , έστω ότι θέλουμε να λύσουμε την ανίσωση

pic459

Η ανίσωση αυτή είναι ισοδύναμη με την

(x - 1)(x2 + x - 6)(2x2 + x + 1)>0,

δηλαδή με την P(x) > 0 , η οποία, από τον πίνακα προσήμου του P(x) αληθεύει όταν x∈(-3,1)∪(2, +∞) .

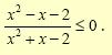
ΣΧΟΛΙΟ

Μία ανίσωση της μορφήςpic460 αληθεύει για εκείνους τους πραγματικούς αριθμούς x για τους οποίους ισχύουν συγχρόνως

Α(x) · Β(x)≥0 και Β(x) ≠ 0.

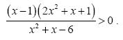
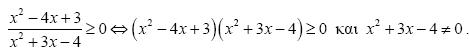
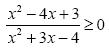
Έστω για παράδειγμα η ανίσωση pic461. Έχουμε:

pic462

Οι ρίζες του τριωνύμου x2 - 4x + 3 είναι οι 1 και 3, ενώ του τριωνύμου x2 + 3x - 4 είναι οι 1 και -4.

Συντάσσουμε τον πίνακα προσήμου του γινομένου:

P(x) = (x2 - 4x + 3)(x2 + 3x - 4)

x

-∞ -4 1 3 +∞

x2 - 4x + 3

+ | + 0 - 0 +

x2 + 3x - 4

+ 0 - 0 + | +

P(x)

+ | - | - | +

Άρα η ανίσωση αληθεύει όταν x ∈(-∞, -4)∪[3, +∞) .

Ασκήσεις

Α' ΟΜΑΔΑΣ
1.

Να βρείτε το πρόσημο του γινομένου

P(x) = (2 - 3x)(x2 - x - 2)(x2 - x +1) .

2.

Να βρείτε το πρόσημο του γινομένου

P(x) = (-x2 + 4)(x2 - 3x + 2)(x2 + x + 1)

3.

Να λύσετε την ανίσωση (x - 1)(x2 + 2)(x2 - 9) > 0 .

4.

Να λύσετε την ανίσωση (3 - x)(2x2 + 6x)(x2 + 3) ≤ 0 .

5.

Να λύσετε την ανίσωση (2 - x- x2)(x2 + 2x + 1) ≤ 0 .

6.

Να λύσετε την ανίσωση (x - 3)(2x2 + x - 3)(x - 1 - 2x2) > 0 .

7.

Να λύσετε τις ανισώσεις:

pic463

8.

Να λύσετε την ανίσωση pic464

B' ΟΜΑΔΑΣ
1.

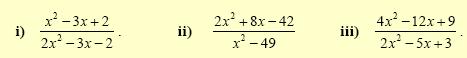
Να λύσετε τις ανισώσεις:

pic465

2.

Να λύσετε την ανίσωση:pic466

3.

Να λύσετε τις ανισώσεις:

pic467

4.

Να λύσετε την ανίσωση pic468

5.

Μία εταιρεία παράγει ηλεκτρικούς λαμπτήρες. Για ένα συγκεκριμένο τύπο λαμπτήρων το τμήμα έρευνας αγοράς της εταιρείας εκτιμά ότι αν η τιμή πώλησης των λαμπτήρων είναι x ευρώ ανά λαμπτήρα, τότε το εβδομαδιαίο κόστος Κ και τα αντίστοιχα έσοδα Ε (σε χιλιάδες ευρώ) δίνονται από τους τύπους Κ = 7 - x και Ε = 5x - x2. Να βρείτε τις τιμές πώλησης των λαμπτήρων για τις οποίες η εταιρεία έχει κέρδος.

6.

Ένα φάρμακο είναι αποτελεσματικό αν η συγκέντρωσή του στο κυκλοφορικό σύστημα υπερβαίνει μία ορισμένη τιμή, που καλείται ελάχιστο θεραπευτικό επίπεδο. Υποθέτουμε ότι η συγκέντρωση σ ενός φαρμάκου, t ώρες ύστερα από τη λήψη του, δίνεται από τον τύπο pic469. Αν για το συγκεκριμένο φάρμακο το ελάχιστο θεραπευτικό επίπεδο είναι 4 mgr /lt, να βρείτε πότε η συγκέντρωσή του θα ξεπεράσει το επίπεδο σ.

ΕΡΩΤΗΣΕΙΣ ΚΑΤΑΝΟΗΣΗΣ 1ου ΚΕΦΑΛΑΙΟΥ

I.

Σε καθεμιά από τις παρακάτω περιπτώσεις να επιλέξετε τη σωστή απάντηση.

 
1.

Αν η ανίσωση -x2 + 2x + γ ≥ 0 είναι αδύνατη τότε:

Α) γ > -1 Β) γ = -1 Γ) γ < -1 Δ) γ ≥ -1.

 
2.

Αν η ανίσωση x2 - 2x + γ > 0 αληθεύει για κάθε x∈ℝ, τότε:

Α) γ < 1 Β) γ = 1 Γ) γ > 1 Δ) γ ≤ 1.

 
3.

Αν η ανίσωση -2x2 + 3λx - λ2 ≤ 0 αληθεύει για κάθε x∈ℝ, τότε:

Α) λ > 0 Β) λ < 0 Γ) λ = 1 Δ) λ = 0.

 
4.

Η εξίσωση |x - 1| + |x - 5| = 4 αληθεύει αν και μόνο αν:

Α) x < 1 Β) x > 5 Γ) 1 ≤ x ≤ 5 Δ) 1 < x < 5.

 
5.

Η εξίσωση |x - 1| = x - 1:

Α) Είναι αδύνατηΒ) Έχει μοναδική λύση τη x = 1

Γ) Έχει άπειρες λύσειςΔ) Είναι ταυτότητα.

 
II.

Σε καθεμιά από τις παρακάτω περιπτώσεις να κυκλώσετε το γράμμα Α, αν ο ισχυρισμός είναι αληθής και το γράμμα Ψ, αν ο ισχυρισμός είναι ψευδής.

 
1.

Η ανίσωση x2 + λx + λ2 > 0 με λ ≠ 0, αληθεύει για όλα τα x∈ℝ.

Α Ψ
2.

Η ανίσωση λ2x2 + 4λx + 5 ≤ 0 με λ ≠ 0, αληθεύει για όλα τα x∈ℝ.

Α Ψ
3.

Οι ανισώσεις x2(x - 1) ≥ 0 και x - 1 ≥ 0 έχουν τις ίδιες λύσεις.

Α Ψ
4.

Οι ανισώσεις x2(x - 1) ≤ 0 και x - 1 ≤ 0 έχουν τις ίδιες λύσεις.

Α Ψ
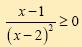
5.

Οι ανισώσεις pic470 και 2x - 1 > x + 1 έχουν τις ίδιες λύσεις.

Α Ψ
6.

Οι ανισώσεις pic471 και x - 1 ≥ 0 έχουν τις ίδιες λύσεις.

Α Ψ
7.

Οι ανισώσεις pic471 και (x - 1) (x - 2)2 ≥ 0 έχουν τις ίδιες λύσεις.

Α Ψ
8.

Οι ανισώσεις pic472 ≥ 0 και (x - 2)(x -1) ≥ 0 έχουν τις ίδιες λύσεις.

Α Ψ
9.

Οι ανισώσεις pic472 < 0 και (x - 2)(x -1) ≥ 0 έχουν τις ίδιες λύσεις.

Α Ψ
10.

Οι ανισώσεις pic473 και (x + 1)2 < (x - 1)(x + 1) έχουν τις ίδιες λύσεις.

Α Ψ
ΙΙΙ.

Να αντιστοιχίσετε καθένα από τα τριώνυμα της Α' ομάδας με την ισοδύναμη μορφή του από τη Β' ομάδα.

 

Α΄ ΟΜΑΔΑ

  Β΄ ΟΜΑΔΑ
1 -2x2 + 6 x - 4   Α (x -1)( x - 2)
2 x2 - 3x + 2   Β -(x - 1)(x - 2)
3 -x2 + 3x - 2   Γ 2(x - 1)(x - 2)
4 2x2 - 6x + 4   Δ -2(x - 1)(x - 2 )
IV.

Να εντοπίσετε το λάθος στους παρακάτω συλλογισμούς:

 
1.

Η ανίσωση (2x - 6)(x - 1) > 0 γράφεται ισοδύναμα:

(2x - 6 )(x - 1) > 0 ⇔2x - 6 > 0 και x - 1 > 0 ⇔x > 3 και x > 1 ⇔x > 3 .

Όμως ο αριθμός 0 , αν και είναι μικρότερος του 3, επαληθεύει τη δοθείσα ανίσωση.

 
2.

Η ανίσωση pic474 γράφεται ισοδύναμα:

pic475

Όμως ο αριθμός -1, αν και είναι μεταξύ του -2 και του 2, δεν επαληθεύει τη δοθείσα ανίσωση.

 
 
3.

Η ανίσωση (x + 2)2 (x - 1) ≥ 0 γράφεται ισοδύναμα:

(x + 2)2(x - 1) ≥ 0 ⇔x - 1 ≥ 0 ⇔x ≥ 1.

Όμως ο αριθμός -2, αν και είναι μικρότερος του 1, επαληθεύει τη δοθείσα ανίσωση.