Άλγεβρα (Α Λυκείου) - Βιβλίο Μαθητή
Κεφάλαιο 4: Ανισώσεις Κεφάλαιο 6: Βασικές Έννοιες των Συναρτήσεων Επιστροφή στην αρχική σελίδα του μαθήματος

Πρόοδοι

5.1 Ακολουθίες

Η έννοια της ακολουθίας

Ας υποθέσουμε ότι καταθέτουμε στην τράπεζα ένα κεφάλαιο 10000 ευρώ με ανατοκισμό ανά έτος και με επιτόκιο 2%. Αυτό σημαίνει ότι σε ένα χρόνο οι τόκοι που θα αποδώσει το κεφάλαιο προστίθενται σε αυτό και το ποσό που προκύπτει ξανατοκίζεται για τον επόμενο χρόνο με το ίδιο επιτόκιο. Η διαδικασία αυτή μπορεί να συνεχιστεί όσα χρόνια θέλουμε. Επομένως, το κεφάλαιο των 10000 ευρώ θα γίνει:

pic51

Συνεχίζοντας με τον ίδιο τρόπο βρίσκουμε ότι το ποσό των 10000 ευρώ θα γίνει:

Σε 3 χρόνια 10000 (1,02)3 ευρώ, σε 4 χρόνια 10000·(1,02)4 ευρώ κτλ. και σε ν χρόνια θα γίνει 10000(1,02 )ν ευρώ.

Έτσι έχουμε τον πίνακα:

pic52

Παρατηρούμε ότι κάθε θετικός ακέραιος ν αντιστοιχίζεται στον πραγματικό αριθμό 10000·(1,02)ν.

Η παραπάνω αντιστοίχιση ονομάζεται ακολουθία πραγματικών αριθμών.

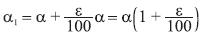
Γενικά ακολουθία πραγματικών αριθμών είναι μια αντιστοίχιση των φυσικών αριθμών 1,2,3,…,ν,… στους πραγματικούς αριθμούς. Ο αριθμός στον οποίο αντιστοιχεί ο 1 καλείται πρώτος όρος της ακολουθίας και τον συμβολίζουμε συνήθως με α1, ο αριθμός στον οποίο αντιστοιχεί ο 2 καλείται δεύτερος όρος της ακολουθίας και τον συμβολίζουμε συνήθως με α2 κ.λ.π. Γενικά ο αριθμός στον οποίο αντιστοιχεί ένας φυσικός αριθμός ν καλείται ν-οστός ή γενικός όρος της ακολουθίας και το συμβολίζουμε συνήθως με αν. Δηλαδή, 1→ α1, 2→ α2, 3→α3, …, ν→αν, … Την ακολουθία αυτή τη συμβολίζουμε (αν).

Παραδείγματα.

  1. Η αντιστοίχιση 1→12, 2→22,... ν→ν2,... είναι η ακολουθία (αν) πρώτο όρο α1=12, δεύτερο όρο α2=22 κλπ. και γενικό όρο αν2.
  2. Η ακολουθία (αν) με γενικό όρο αν= (-1)ν έχει όρους: α1=-1, α2=1, α3= -1,…
  3. pic53

Ακολουθίες που ορίζονται αναδρομικά

Στην ακολουθία 12, 22, 32, ..., ν2,... ο γενικός της όρος αν = ν2 μας επιτρέπει να βρούμε τον οποιονδήποτε όρο της. Είναι π.χ. α20 = 202 = 400, α100 = 1002 = 10000 κτλ.

Υπάρχουν όμως και ακολουθίες που για το γενικό τους όρο είναι δύσκολο να βρεθεί ένας μαθηματικός τύπος

Ας θεωρήσουμε π.χ. την ακολουθία (αν), της οποίας ο πρώτος όρος είναι το 1, ο δεύτερος όρος είναι επίσης το 1 και κάθε άλλος όρος, από τον τρίτο και μετά, είναι ίσος με το άθροισμα των δυο προηγούμενων όρων:

α1=1 , α2=1 , αν+2= αν+1ν

Έχουμε:

pic55

Παρατηρούμε ότι μπορούμε με διαδοχικά βήματα να βρούμε τον οποιονδήποτε όρο της ακολουθίας. Αυτό σημαίνει ότι η ακολουθία (αν) είναι τελείως ορισμένη.

Λέμε ότι η ακολουθία (αν) ορίζεται αναδρομικά και η ισότητα αν+2 = αν+1ν λέγεται αναδρομικός τύπος της ακολουθίας. Γενικότερα, για να ορίζεται μια ακολουθία αναδρομικά, απαιτείται να γνωρίζουμε:

  1. Τον αναδρομικό της τύπο και
  2. Όσους αρχικούς όρους μας χρειάζονται, ώστε ο αναδρομικός τύπος να αρχίσει να δίνει όρους.

Σχόλιο: Υπάρχουν ακολουθίες, για τις οποίες μέχρι τώρα δε γνωρίζουμε ούτε έναν τύπο για το γενικό τους όρο ούτε έναν αναδρομικό τύπο. Μια τέτοια ακολουθία είναι π.χ. η ακολουθία των πρώτων αριθμών:

2, 3, 5, 7, 11, 13,...

ΠΑΡΑΔΕΙΓΜΑΤΑ

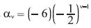
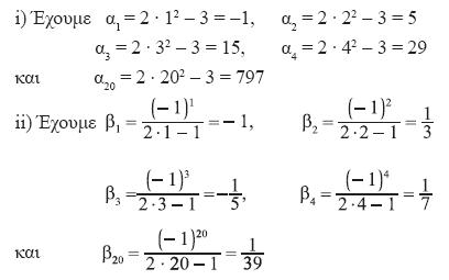
1ο Να γράψετε τους τέσσερις πρώτους όρους και τους 20ους όρους των ακολουθιών

pic59

ΛΥΣΗ

pic510

 

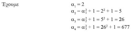
2ο Δίνεται η ακολουθία με α1 = 2 και αν = αν2 + 1. Να βρεθούν οι πρώτοι τέσσερις όροι της ακολουθίας

ΛΥΣΗ

pic512

3ο Δίνεται η ακολουθία αν = 3ν+5. Να οριστεί η ακολουθία αυτή και αναδρομικά.

ΛΥΣΗ

pic513

Άρα αν+1= 3+αν που είναι ο αναδρομικός τύπος της ακολουθίας. Επειδή α1 = 3 ·1+5 = 8, η ακολουθία ορίζεται αναδρομικά ως εξής:

α1= 8 και αν+1= 3+αν

ΑΣΚΗΣΕΙΣ

Α' ΟΜΑΔΑΣ
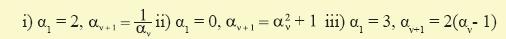
1. Να βρείτε τους πέντε πρώτους όρους των ακολουθιών:
 

pic514

2. Να βρείτε τους πέντε πρώτους όρους των ακολουθιών:

pic515

3.

Να ορίσετε αναδρομικά τις ακολουθίες:

pic516

4.

Να βρείτε το ν όρο των ακολουθιών:

pic517

5.2 Αριθμητική πρόοδος

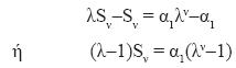
-Στην ακολουθία 1, 3, 5, 7,... των περιττών αριθμών, κάθε όρος προκύπτει από τον προηγούμενό του με πρόσθεση του αριθμού 2. Δηλαδή για την ακολουθία αυτή ισχύει:

αν+1 = αν + 2     ή     αν+1 - αν = 2

Η ακολουθία (αν) λέγεται αριθμητική πρόοδος με διαφορά 2.

-Στην ακολουθία 15, 10, 5, 0, -5, -10,... κάθε όρος προκύπτει από τον προηγούμενό του με πρόσθεση του αριθμού -5. Δηλαδή για την ακολουθία αυτή ισχύει:

αν+1ν-5     ή     αν+1ν=-5

Όπως και προηγουμένως, η ακολουθία (αν) λέγεται αριθμητική πρόοδος με διαφορά -5.

Γενικότερα ορίζουμε ότι:

Μια ακολουθία λέγεται αριθμητική πρόοδος, αν κάθε όρος της προκύπτει από τον προηγούμενό του με πρόσθεση του ίδιου πάντοτε αριθμού.

Τον αριθμό αυτό τον συμβολίζουμε με ω και τον λέμε διαφορά της προόδου.

Επομένως, η ακολουθία (αν) είναι αριθμητική πρόοδος με διαφορά ω, αν και μόνο αν ισχύει:

pic532b

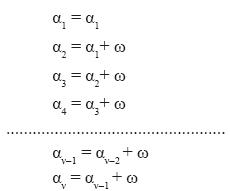
Αν σε μια αριθμητική πρόοδο γνωρίζουμε τον πρώτο όρο της α1 και τη διαφορά της ω τότε ο αναδρομικός της τύπος αν+1 = αν+ω μας επιτρέπει να βρούμε με διαδοχικά βήματα τον οποιονδήποτε όρο της.

Μπορούμε όμως να υπολογίσουμε κατευθείαν το νο= όρο αν μιας αριθμητικής προόδου ως συνάρτηση των α1 , ω και ν ως εξής: Από τον ορισμό της αριθμητικής προόδου έχουμε:

pic532

Προσθέτοντας κατά μέλη της ν αυτές ισότητες και εφαρμόζοντας την ιδιότητα της διαγραφής βρίσκουμε αν = α+ (ν-1)ω

Επομένως

O νος όρος μιας αριθμητικής προόδου με πρώτο όρο α1 και διαφορά ω είναι

αν1+(ν-1)ω

 

Έτσι π.χ. στην αριθμητική πρόοδο 3, 5, 7, 9 ................ η οποία έχει α1 = 3 και ω=5-3=2, ο νος όρος της είναι αν = 3+(ν-1) 2. Επομένως ο 20ος όρος της είναι α20 = 3+19 · 2 = 41, ο 100ος όρος της είναι α100 = 3+99·2 = 201 κτλ.

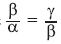
Αριθμητικός μέσος

Αν πάρουμε τρεις διαδοχικούς όρους α, β, γ μιας αριθμητικής προόδου με διαφορά ω, τότε ισχύει:

pic534

Αλλά και αντιστρόφως, αν για τρεις αριθμούς α, β, γ ισχύει pic535 τότε έχουμε

pic536

που σημαίνει ότι οι α, β, γ είναι διαδοχικοί όροι αριθμητικής προόδου. Ο β λέγεται αριθμητικός μέσος των α και γ

Αποδείξαμε λοιπόν ότι:

Τρεις αριθμοί α,β,γ είναι διαδοχικοί όροι αριθμητικής προόδου
αν και μόνο αν ισχύει pic537

 

Άθροισμα ν διαδοχικών όρων αριθμητικής προόδου

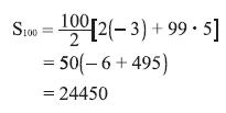
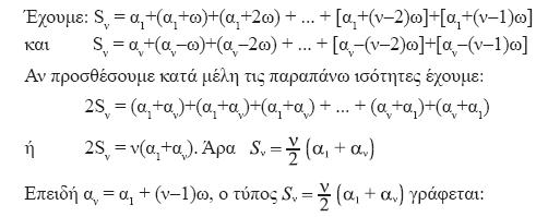
Ας θεωρήσουμε την αριθμητική πρόοδο 1, 2, 3, 4,... και ας βρούμε το άθροισμα των 100 πρώτων όρων της

S100=1+2+3+...+98+99+100

Αντί να προσθέσουμε τους αριθμούς αυτούς με τον συνήθη τρόπο, μπορούμε να βρούμε συντομότερα το άθροισμά τους ως εξής:

Γράφουμε δυο φορές το παραπάνω άθροισμα, αλλά με αντίθετη τη σειρά των προσθετέων και προσθέτουμε τις δυο ισότητες κατά μέλη:

pic539

Εφαρμόζοντας τον παραπάνω τρόπο σε μια οποιαδήποτε αριθμητική πρόοδο, θα αποδείξουμε ότι:

Το άθροισμα των πρώτων ν όρων αριθμητικής προόδου (αν) με διαφορά ω είναι

pic540

 

ΑΠΟΔΕΙΞΗ *

pic541

pic542

ΠΑΡΑΔΕΙΓΜΑΤΑ

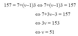
1ο Να βρεθεί το άθροισμα 7+10+13 +...+ 157

ΛΥΣΗ

Πρόκειται για το άθροισμα διαδοχικών όρων μιας αριθμητικής προόδου με α1 = 7, αν = 157 και ω = 3. Για να το υπολογίσουμε, χρειαζόμαστε το πλήθος ν των προσθετέων. Από τον τύπο του νου όρου αν = α1+(ν-1)ω έχουμε

pic543

Επομένως το ζητούμενο άθροισμα είναι

pic544

 

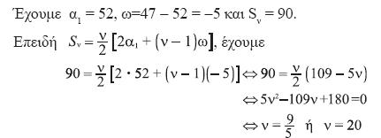
2ο Πόσοι όροι της αριθμητικής προόδου 52, 47, 42,... έχουν άθροισμα ίσο με 90;

ΛΥΣΗ

pic545

Επειδή όμως v∈ ℕ*, συμπεραίνουμε ότι ν = 20. Άρα 20 όροι της δοθείσης αριθμητικής προόδου έχουν άθροισμα ίσο με 90.

 

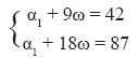
3ο Ο 10ος όρος μιας αριθμητικής προόδου είναι ο 42 και ο 19ος όρος της είναι ο 87. Να υπολογισθεί το άθροισμα των πρώτων 100 όρων της προόδου αυτής.

ΛΥΣΗ

Από τον τύπο αν = α1+(ν-1)ω έχουμε 42 =α1+ 9ω και 87= α1+ 18ω. Επομένως οι α και ω είναι οι λύσεις του συστήματος

pic546

Από την επίλυση του συστήματος αυτού βρίσκουμε ότι είναι α, = -3 και ω = 5.

pic547

ΑΣΚΗΣΕΙΣ

Α' ΟΜΑΔΑΣ
1. Να βρείτε το νo όρο των αριθμητικών προόδων:
 

pic548

2.

Να βρείτε το ζητούμενο όρο σε καθεμιά από τις αριθμητικές προόδους:

 

pic549

3.

i) Αν ο 6ος όρος μιας αριθμητικής προόδου είναι 12 και ο 10ος όρος είναι 16, να βρείτε τον 1ο όρο και τη διαφορά της προόδου.

 
  1. Ομοίως, αν είναι α5 = 14 και α12 = 42
  2. Ομοίως, αν είναι α3 = 20 και α7 = 32.
4.
  1. Ο 5ος όρος μιας αριθμητικής προόδου είναι -5 και ο 15ος όρος της είναι -2. Να βρείτε τον 50ο όρο της προόδου.
  2. Αν σε μια αριθμητική πρόοδο είναι α7 = 55 και α22 = 145, να βρείτε τον α18.
5.
  1. Ποιος όρος της αριθμητικής προόδου με α1 = 2 και ω = 5 ισούται με 97;
  2. Ποιος όρος της αριθμητικής προόδου με α1 = 80 και ω = -3 ισούται με -97;
6.
  1. Να βρείτε τον αριθμητικό μέσο των 10 και -40
  2. Να βρείτε για ποια τιμή του x ο αριθμητικός μέσος των 5x+1 και 11 είναι ο 3x-2.
7.

Αν δυο αριθμοί διαφέρουν κατά 10 και ο αριθμητικός τους μέσος είναι ο 25, να βρείτε τους δυο αυτούς αριθμούς.

8.

Να βρείτε το άθροισμα των πρώτων 40 όρων των αριθμητικών προόδων:

 

i)7,9,11,... ii) 0, 2, 4,.... iii) 6, 10, 14,... iv)-7,-2,+3,...

9.

Να βρείτε το άθροισμα των πρώτων 80 όρων των αριθμητικών προόδων:

 

pic550

10.

Να υπολογίσετε τα αθροίσματα:

 

i) 1+5+9 + .. + 197    ii) 9+12+15+ ... + 90    iii) -7-10-13-...-109

11.

Πόσους πρώτους όρους πρέπει να πάρουμε από καθεμιά από τις παρακάτω αριθμητικές προόδους για να έχουν άθροισμα 180;

 

i) 4, 8, 12,... ii) 5, 10, 15,...

12.

Μια στέγη σχήματος τραπεζίου έχει 15 σειρές κεραμίδια. Η πρώτη σειρά έχει 53 κεραμίδια και κάθε επόμενη σειρά έχει δυο κεραμίδια λιγότερα. Πόσα κεραμίδια έχει η 15η σειρά και πόσα κεραμίδια έχει συνολικά η στέγη;

B' ΟΜΑΔΑΣ
1. Ο νος όρος μιας ακολουθίας είναι αν = 12-4ν. Να δείξετε ότι η ακολουθία αυτή είναι αριθμητική πρόοδος και να γράψετε τον πρώτο όρο της α1 και τη διαφορά της ω.
2.

Να βρείτε το άθροισμα:

ί) των πρώτων 200 περιττών αριθμών, ii) των πρώτων 300 θετικών άρτιων

iii) όλων των περιττών αριθμών μεταξύ 16 και 380.

3.

Να βρείτε το άθροισμα:

  1. των πολλαπλασίων του 5 μεταξύ 1 και 199,
  2. των πολλαπλασίων του 3 μεταξύ 10 και 200
4.

Να βρείτε το άθροισμα:

  1. των πρώτων 30 όρων της ακολουθίας αν = 5ν-4,
  2. των πρώτων 40 όρων της ακολουθίας αν = -5ν-3.
5.

Να βρείτε το άθροισμα των ακεραίων από 1 μέχρι 200 που δεν είναι πολλαπλάσια του 4 ή του 9.

6.

Να βρείτε το ελάχιστο πλήθος πρώτων όρων της αριθμητικής προόδου 1, 3, 5, 7,... που απαιτούνται, ώστε το άθροισμα του να ξεπερνάει το 4000.

7.
Να συμπληρώσετε το διπλανό πίνακα, στον οποίο τα α1, ω, ν, αν και Sν ανήκουν σε κάθε γραμμή στην ίδια αριθμητική πρόοδο pic555
 
 
8.

Ένα ρολόι χτυπάει τις ακέραιες ώρες. Πόσα χτυπήματα ακούγονται σε ένα 24/ωρο;

9.

Ένα στάδιο έχει 33 σειρές καθισμάτων. Στην κάτω-κάτω σειρά βρίσκονται 800 θέσεις και στην πάνω-πάνω σειρά βρίσκονται 4160 θέσεις. Το πλήθος των θέσεων αυξάνει από σειρά σε σειρά κατά τον ίδιο πάντα αριθμό θέσεων. Να βρείτε πόσες θέσεις έχει συνολικά το στάδιο και πόσες θέσεις έχει η μεσαία σειρά.

10.

Μεταξύ των αριθμών 3 και 80 θέλουμε να βρούμε άλλους 10 αριθμούς που όλοι μαζί να είναι διαδοχικοί όροι μιας αριθμητικής προόδου. Να βρεθούν οι αριθμοί αυτοί. [Τέτοια προβλήματα λέγονται προβλήματα παρεμβολής όρων].

11.

Να υπολογίσετε το άθροισμα: pic556

12.

Ένας αγρότης, για να κάνει μία γεώτρηση στο κτήμα του, συμφώνησε τα εξής με τον ιδιοκτήτη του γεωτρύπανου: Το 1 μέτρο θα κοστίσει 20 ευρώ και αυξανομένου του βάθους, θα αυξάνεται και η τιμή κάθε μέτρου κατά 5 ευρώ. Ο αγρότης διαθέτει 4700 ευρώ. Σε πόσο βάθος μπορεί να πάει η γεώτρηση στο κτήμα του;

5.3 Γεωμετρική πρόοδος

- Στην ακολουθία 3, 6, 12, 24,... κάθε όρος της προκύπτει από τον προηγούμενό του με πολλαπλασιασμό επί 2. Δηλαδή για την ακολουθία αυτή ισχύει:

pic557

Η ακολουθία (αν) λέγεται γεωμετρική πρόοδος με λόγο 2.

- Στην ακολουθία 27, -9, 3,-1, ... κάθε όρος της προκύπτει από τον προηγούμενό του με πολλαπλασιασμό επί pic558.Δηλαδή για την ακολουθία αυτή ισχύει:

pic559

Όπως και προηγουμένως, η ακολουθία (αν) λέγεται γεωμετρική πρόοδος με λόγο pic558


Γενικότερα ορίζουμε ότι:

Μια ακολουθία λέγεται γεωμετρική πρόοδος, αν κάθε όρος της προκύπτει από τον προηγούμενο με πολλαπλασιασμό επί τον ίδιο πάντοτε μη μηδενικό αριθμό.

Τον αριθμό αυτό τον συμβολίζουμε με λ και τον λέμε λόγο της προόδου. Σε μια γεωμετρική πρόοδο (αν) υποθέτουμε πάντα ότι α1 # 0, οπότε, αφού είναι και λ ≠ 0, ισχύει αν ≠ 0 για κάθε v∈ ℕ*. Επομένως, η ακολουθία (αν) είναι γεωμετρική πρόοδος με λόγο λ, αν και μόνο αν ισχύει:

pic560

 

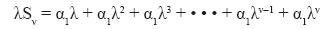
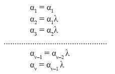
Αν σε μια γεωμετρική πρόοδο γνωρίζουμε τον πρώτο όρο της α. και το λόγο της λ, τότε ο αναδρομικός της τύπος αν+1ν· λ μας επιτρέπει να βρούμε με διαδοχικά βήματα τον οποιονδήποτε όρο της. Μπορούμε όμως να υπολογίσουμε κατευθείαν το ν° όρο αν μιας γεωμετρικής προόδου ως συνάρτηση των α1, λ και ν ως εξής:

Από τον ορισμό της γεωμετρικής προόδου έχουμε:

pic561

Πολλαπλασιάζοντας κατά μέλη τις ν αυτές ισότητες και εφαρμόζοντας την ιδιότητα της της διαγραφής, βρίσκουμε αν1λν-1

Επομένως

Ο νος όρος μιας γεωμετρικής προόδου με πρώτο όρο α1 και λόγο λ είναι

αν1 · λν-1

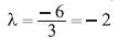
Έτσι π.χ. στη γεωμετρική πρόοδο 3, -6, 12, -24,... η οποία έχει α1 = 3 και pic563ο νος όρος της είναι αν = 3 · (-2)ν-1. Επομένως ο 5ος όρος της είναι α5=3(-2)4=48 ο δέκατος όρος της είναι α10=3(-2)9=-1536 κτλ.

Γεωμετρικός μέσος

Αν πάρουμε τρεις διαδοχικούς όρους α, β, γ μιας γεωμετρικής προόδου με λόγο λ, τότε ισχύει

pic566

Αλλά και αντιστρόφως, αν για τρεις αριθμούς α, β, γ ≠0 ισχύει β2 = αγ, τότε pic567 που σημαίνει ότι οι α, β, γ είναι διαδοχικοί όροι μιας γεωμετρικής προόδου. Ο θετικός αριθμός pic568λέγεται γεωμετρικός μέσος των α και γ.

Αποδείξαμε λοιπόν ότι:

Τρεις μη μηδενικοί αριθμοί α, β, γ είναι διαδοχικοί όροι γεωμετρικής προόδου,
αν και μόνο αν ισχύει β2=αγ

Άθροισμα ν διαδοχικών όρων γεωμετρικής προόδου

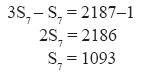
Ας θεωρήσουμε τη γεωμετρική πρόοδο 1, 3, 9, 27, ... στην οποία είναι α1 = 1 και λ = 3, και ας βρούμε το άθροισμα S7 των 7 πρώτων όρων της. Έχουμε

S7=1+3+9+27+81+243+729         (1)

Αντί να προσθέσουμε τους αριθμούς αυτούς με τον συνήθη τρόπο, μπορούμε να βρούμε συντομότερα το άθροισμά τους ως εξής: Πολλαπλασιάζουμε τα μέλη της (1) με το λόγο λ=3 και έχουμε

3S7=3+9+27+81+243+729+2187         (2)

Αφαιρούμε από τα μέλη της (2) τα μέλη της (1) και έχουμε:

pic570

Εφαρμόζοντας τον παραπάνω τρόπο σε μια οποιαδήποτε γεωμετρική πρόοδο, θα αποδείξουμε ότι:

Το άθροισμα των πρώτων ν όρων μιας γεωμετρικής προόδου (αν) με λόγο λ≠1 είναι
pic571

 

ΑΠΟΔΕΙΞΗ

Έστω pic572(1)

Πολλαπλασιάζουμε τα μέλη της (1) με το λόγο λ και έχουμε

pic573(2)

Αφαιρούμε από τα μέλη της (2) τα μέλη της (1) και έχουμε:

pic574

Επομένως, αφού λ ≠ 1, έχουμε:

pic575

Παρατήρηση: Στην περίπτωση που ο λόγος της προόδου είναι λ-1, τότε το άθροισμα των όρων της είναι Sv = ν · α1 αφού όλοι οι όροι της προόδου είναι ίσοι με α1.

ΠΑΡΑΔΕΙΓΜΑΤΑ

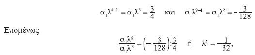
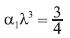
Να βρεθεί ο ν όρος μιας γεωμετρικής προόδου της οποίας ο 4ος όρος είναι pic576 και ο 9οςpic577

ΛΥΣΗ

Έστω α1, ο πρώτος όρος της γεωμετρικής προόδου και λ ο λόγος της. Τότε έχουμε:

pic578

από την οποία προκύπτει ότι

pic579

Αντικαθιστούμε την τιμή αυτή του λ στην pic580 και έχουμε

pic581

Άρα ο ν όρος της γεωμετρικής προόδου, σύμφωνα με τον τύπο αν1λν-1 είναι pic582

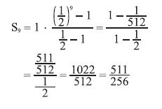
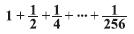
Να υπολογιστεί το άθροισμα pic586

ΛΥΣΗ

Πρόκειται για το άθροισμα διαδοχικών όρων μιας γεωμετρικής προόδου με α1 = 1 και pic583

Για να εφαρμόσουμε τον τύπο pic575, πρέπει να ξέρουμε το πλήθος ν των όρων. Από τον τύπο όμως του ν όρου αν1λν-1 έχουμε pic584 και επομένως ν- 1 = 8 ή ν=9.

Άρα το ζητούμενο άθροισμα είναι:

pic585

ΑΣΚΗΣΕΙΣ

Α' ΟΜΑΔΑΣ
1. Να βρείτε το ν όρο των γεωμετρικών προόδων:
 

pic587

2. Να βρείτε το ζητούμενο όρο σε καθεμιά από τις γεωμετρικές προόδους:
 

pic588

3. i) Να βρείτε τον 1ο όρο μιας γεωμετρικής προόδου, της οποίας ο 5ος όρος είναι pic589 και ο λόγος 2.
 

ii) Ομοίως, αν ο 4ος όρος είναιpic592b και ο λόγος pic590

4. i) Να βρείτε το λόγο μιας γεωμετρικής προόδου της οποίας ο 3ος όρος είναι 12 και ο 6ος όρος είναι 96.
 

ii) Ομοίως, αν ο 2ος όρος είναι pic591 και ο 5ος όρος είναι pic592

5. Να βρείτε:
 

i) τον α14 μιας γεωμετρικής προόδου με pic594

ii) τον α21 μιας γεωμετρικής προόδου με pic595

6. Έστω η γεωμετρική πρόοδος 3, 6, 12,.... Να βρείτε το πλήθος των όρων της μέχρι και τον όρο που ισούται με 768.
7. i) Να βρείτε τον πρώτο όρο της γεωμετρικής προόδου 4, 8, 16,... που υπερβαίνει το 2000
 

ii) Να βρείτε τον πρώτο όρο της γεωμετρικής προόδου 128, 64, 32,..., που είναι μικρότερος του 0,25.

8. i) Να βρείτε το γεωμετρικό μέσο των αριθμών 5 και 20, καθώς και των pic596 και pic597
 

ii) Να βρείτε τον x ώστε οι αριθμοί x-4, x+1, x-19 να αποτελούν γεωμετρική πρόοδο.

9. Να βρείτε το άθροισμα των πρώτων 10 όρων των γεωμετρικών προόδων
  pic598
10. Να βρείτε το άθροισμα των πρώτων 8 όρων των γεωμετρικών προόδων
 

pic599

11. Μια κοινωνία βακτηριδίων διπλασιάζεται σε αριθμό κάθε μια ώρα. Αν αρχικά υπάρχουν 3 βακτηρίδια, πόσα βακτηρίδια θα υπάρχουν ύστερα από 12 ώρες;
12. Μια μπάλα πέφτει από ύψος 60 μέτρων και αναπηδά σε έδαφος φθάνοντας κάθε φορά στο pic5101 του ύψους της προηγούμενης αναπήδησης. Να βρείτε σε τι ύψος θα φθάσει στην 4η αναπήδηση
B' ΟΜΑΔΑΣ
1. Ο ν όρος μιας ακολουθίας είναι pic5102. Να δείξετε ότι η ακολουθία αυτή είναι γεωμετρική πρόοδος και να γράψετε τους α1 και λ.
2. Για ποια τιμή του ν οι αριθμοί pic5105 είναι διαδοχικοί όροι γεωμετρικής προόδου;

3.

Να δείξετε ότι:

 

i) τα τετράγωνα των όρων μιας γεωμετρικής προόδου σχηματίζουν επίσης γεωμετρική πρόοδο

ii) Αν υψώσουμε κάθε όρο μιας γεωμετρικής προόδου στην k, τότε προκύπτει πάλι γεωμετρική πρόοδος.

4. Να βρείτε τη γεωμετρική πρόοδο, της οποίας: το άθροισμα των δυο πρώτων όρων της είναι pic5106 και το άθροισμα των τεσσάρων πρώτων όρων της είναι pic5107
5. Να βρείτε το άθροισμα των πρώτων δέκα όρων της γεωμετρικής προόδου, στην οποία είναι α26 =34 και α37=68
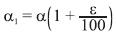
6. Ο πληθυσμός μιας χώρας είναι 90 εκατομμύρια και παρουσιάζει ετήσια αύξηση 2%. Αν αν είναι ο πληθυσμός της χώρας ύστερα από ν χρόνια, να βρείτε έναν αναδρομικό τύπο, καθώς και το γενικό όρο της ακολουθίας (αν).
 

- Ποιός θα είναι ο πληθυσμός της χώρας ύστερα από 10 χρόνια; [Χρησιμοποιήστε υπολογιστή τσέπης].

7. Η ένταση του φωτός μειώνεται κατά 10%, όταν αυτό διέρχεται από ένα φίλτρο. Αν Ιν είναι η ένταση του φωτός, αφού διέλθει διαδοχικά μέσα από ν τέτοια φίλτρα, να βρείτε έναν αναδρομικό τύπο, καθώς και το γενικό όρο της ακολουθίας ( Ιν ).
  - Ποια θα είναι η ένταση του φωτός, αν διέλθει μέσα από 10 τέτοια φίλτρα και η αρχική ένταση είναι Ι0 ; [Χρησιμοποιήστε υπολογιστή τσέπης].
8. Σε ένα όργανο μουσικής ο τόνος C' έχει συχνότητα 261 Hz και η οκτάβα του C" έχει διπλάσια συχνότητα. Ανάμεσα στους C' και C" υπάρχουν 11 επιπλέον τόνοι, των οποίων οι συχνότητες σχηματίζουν με τις συχνότητες των C' και C" 13 διαδοχικούς όρους γεωμετρικής προόδου. Να υπολογίσετε:
 

i) το λόγο της προόδου, ii) τη συχνότητα του πέμπτου τόνου.

9. Το ψυγείο ενός φορτηγού περιέχει 40 It νερό. Αδειάζουμε 4 lt νερό και το αντικαθιστούμε με αντιπυκτικό. Ύστερα αδειάζουμε 4 It του μείγματος και το αντικαθιστούμε με αντιπυκτικό κ.ο.κ. Αν Dν είναι η ποσότητα του νερού στο ψυγείο, αφού εφαρμοσθεί η διαδικασία ν φορές, να βρείτε:
 

i) Έναν αναδρομικό τύπο της ακολουθίας (Dν).

ii) Την ποσότητα του αντιπυκτικού στο ψυγείο, αφού εφαρμοσθεί η διαδικασία 7 φορές. [Χρησιμοποιήστε υπολογιστή τσέπης].

10. Λέγεται ότι ο εφευρέτης του σκακιού παρακλήθηκε από έναν Ινδό βασιλιά να ζητήσει όποια αμοιβή ήθελε για τη σπουδαία ιδέα του. Ο εφευρέτης ζήτησε να πάρει το ρύζι που θα μαζευόταν ως εξής: Στο 1ο τετραγωνάκι του σκακιού να έβαζε κάποιος έναν κόκκο ρυζιού, στο 2ο τετραγωνάκι 2 κόκκους, στο 3ο τετραγωνάκι 4 κόκκους, στο 5ο τετραγωνάκι 8 κόκκους κτλ.

Να βρείτε πόσοι τόνοι θα ήταν η ποσότητα αυτή του ρυζιού, αν 1 Kg ρυζιού έχει 20000 κόκκους.

11. Κάθε πλευρά ενός ισόπλευρου τριγώνου χωρίζεται σε τρία ίσα τμήματα. Το μεσαίο τμήμα κάθε πλευράς αντικαθίσταται από τις δυο πλευρές ισόπλευρου τριγώνου. Στο σχήμα με μορφή αστεριού που προκύπτει αντικαθιστούμε πάλι το μεσαίοpic527 κάθε πλευράς με δυο πλευρές ισόπλευρου τριγώνου. Με ανάλογο τρόπο συνεχίζουμε για κάθε σχήμα που προκύπτει από τη διαδικασία αυτή.

pic528

  1. Να βρείτε έναν αναδρομικό τύπο και το γενικό όρο της ακολουθίας (Sv) που εκφράζει το πλήθος των πλευρών κάθε σχήματος.
  2. Να βρείτε έναν αναδρομικό τύπο και το γενικό όρο της ακολουθίας (Uv) που εκφράζει την περίμετρο κάθε σχήματος, αν το αρχικό ισόπλευρο τρίγωνο έχει πλευρά ίση με 1.
 
 
 
 
 
 
 

5.4 Ανατοκισμός - Ίσες καταθέσεις

Με τη βοήθεια των γεωμετρικών προόδων μπορούμε να λύσουμε προβλήματα οικονομικής φύσεως, που συχνά παρουσιάζονται στις συναλλαγές με πιστωτικούς οργανισμούς.

Ανατοκισμός

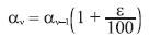
ΠΡΟΒΛΗΜΑ. Καταθέτουμε στην τράπεζα ένα κεφάλαιο α ευρώ με ετήσιο επιτόκιο ε%. Με τη συμπλήρωση ενός χρόνου οι τόκοι προστίθενται στο κεφάλαιο και το ποσό που προκύπτει είναι το νέο κεφάλαιο που τοκίζεται με το ίδιο επιτόκιο για τον επόμενο χρόνο. Αν η διαδικασία αυτή επαναληφθεί για ν χρόνια, να βρεθεί πόσα χρήματα θα εισπράξουμε στο τέλος του νου χρόνου.
(Το πρόβλημα αυτό είναι γνωστό ως πρόβλημα ανατοκισμού).

ΛΥΣΗ

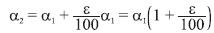
Στο τέλος του 1 χρόνου το κεφάλαιο α θα δώσει τόκο pic5110 και μαζί με τον τόκο θα γίνει

pic5111

Στο τέλος του 2ου χρόνου το κεφάλαιο α1 θα δώσει τόκο pic5112και μαζί με τον τόκο θα γίνει

pic5113

Στο τέλος του 3ου χρόνου το κεφάλαιο α2 μαζί με τους τόκους θα γίνει

pic5114

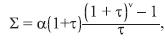
και γενικά στο τέλος του ν χρόνου το κεφάλαιο θα γίνει

pic5115

Παρατηρούμε ότι τα α1 , α2, α3,...,αν είναι διαδοχικοί όροι μιας γεωμετρικής προόδου μεpic5116και pic5116b

Άρα, σύμφωνα με τον τύπο του ν όρου γεωμετρικής προόδου, στο τέλος του νου χρόνου το κεφάλαιο α μαζί με τους τόκους θα γίνει

pic5117

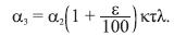
Αν θέσουμε pic5118 που είναι ο τόκος του ενός ευρώ σε ένα χρόνο, έχουμε τον τύπο

pic5119

που είναι γνωστός ως τύπος του ανατοκισμού.

ΠΑΡΑΔΕΙΓΜΑ

Καταθέτουμε με ανατοκισμό κεφάλαιο 10000 ευρώ με ετήσιο επιτόκιο 2%. Να βρεθεί τι ποσό θα εισπράξουμε ύστερα από 10 χρόνια.

ΛΥΣΗ

Σύμφωνα με τον τύπο αν=α(1+τ)ν, ύστερα από 10 χρόνια θα εισπράξουμε ποσό

pic5120

Παρατήρηση. Τη δύναμη (1,02)10 την υπολογίζουμε με τη βοήθεια πινάκων ή με έναν υπολογιστή τσέπης.

 

Ίσες καταθέσεις

ΠΡΟΒΛΗΜΑ. Καταθέτουμε σε μια τράπεζα στην αρχή κάθε χρόνου α ευρώ με ανατοκισμό και επιτόκιο ε%. Τι ποσό θα πάρουμε ύστερα από ν χρόνια;
(Το πρόβλημα αυτό είναι γνωστό ως πρόβλημα των ίσων καταθέσεων)

ΛΥΣΗ

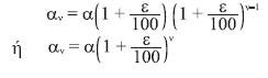
Η 1η κατάθεση θα ανατοκιστεί για ν χρόνια και επομένως, σύμφωνα με τον τύπο του ανατοκισμού, θα γίνει pic5121

Η 2η κατάθεση θα ανατοκιστεί για ν-1 χρόνια και επομένως θα γίνει α(1+τ)ν-1 κτλ. και η v κατάθεση θα τοκιστεί για 1 χρόνο και θα γίνει α(1+τ) . Συνεπώς ύστερα από ν χρόνια θα πάρουμε το ποσό

pic5122

Επομένως,

pic5123

Ο τύπος αυτός είναι γνωστός ως τύπος των ίσων καταθέσεων.

ΠΑΡΑΔΕΙΓΜΑ

Στην αρχή κάθε χρόνου καταθέτουμε στην τράπεζα ποσό 10000 ευρώ με ανατοκισμό και με επιτόκιο 2%. Τι ποσό θα πάρουμε ύστερα από 10 χρόνια;

ΛΥΣΗ

Σύμφωνα με τον τύπο pic5124 ύστερα από 10 χρόνια θα πάρουμε ποσό

pic5125

ΑΣΚΗΣΕΙΣ

Για την επίλυση των ασκήσεων να χρησιμοποιηθεί υπολογιστής τσέπης

Α' ΟΜΑΔΑΣ
1.

Δανείζει κάποιος 5000 ευρώ με ανατοκισμό και ετήσιο επιτόκιο 5%. Πόσα χρήματα θα πάρει συνολικά ύστερα από 5 χρόνια;

2.

Πόσα χρήματα πρέπει να τοκίσει κάποιος με ανατοκισμό και ετήσιο επιτόκιο 3% για να πάρει ύστερα από 10 χρόνια συνολικά 50.000 ευρώ;

3.

Ποιο είναι το επιτόκιο με το οποίο, κεφάλαιο 10.000 ευρώ, ανατοκιζόμενο ανά έτος, γίνεται ύστερα από 5 χρόνια 12.762 ευρώ;

4.

Στην αρχή κάθε χρόνου και για 5 συνεχή χρόνια καταθέτουμε 5.000 ευρώ με ανατοκισμό ανά έτος και με ετήσιο επιτόκιο 3%. Τι ποσό θα πάρουμε στο τέλος του 5ου έτους;