Άλγεβρα (Α Λυκείου) - Βιβλίο Μαθητή
Κεφάλαιο 2: Οι Πραγματικοί Αριθμοί Κεφάλαιο 4: Ανισώσεις Επιστροφή στην αρχική σελίδα του μαθήματος

3ΕΞΙΣΩΣΕΙΣ

3.1 ΕΞΙΣΩΣΕΙΣ 1ου ΒΑΘΜΟΥ

Η Εξίσωση αx + β = 0

Στο Γυμνάσιο μάθαμε τον τρόπο επίλυσης των εξισώσεων της μορφής αx + β = 0 για συγκεκριμένους αριθμούς α, β, με α ≠ 0.
Γενικότερα τώρα, θα δούμε πώς με την βοήθεια των ιδιοτήτων των πράξεων, επιλύουμε την παραπάνω εξίσωση, οποιοιδήποτε και αν είναι οι αριθμοί α, β .

Έχουμε λοιπόν

αx + β = 0 ⇔ αx + β - β = - β
⇔ αx = -β

Διακρίνουμε τώρα τις περιπτώσεις:

  • Αν α ≠ 0 τότε:

αx = -β ⇔ pic21

Επομένως, αν α ≠ 0 η εξίσωση έχει ακριβώς μία λύση, την pic21.

  • Αν α = 0 , τότε η εξίσωση αx = - β γίνεται 0x = -β, η οποία:
  1. αν είναι β ≠ 0 δεν έχει λύση και γι αυτό λέμε ότι είναι αδύνατη, ενώ
  2. αν είναι β = 0 έχει τη μορφή 0x = 0 και αληθεύει για κάθε πραγματικό αριθμό x δηλαδή είναι ταυτότητα.

Η λύση της εξίσωσης αx + β = 0 και γενικά κάθε εξίσωσης λέγεται και ρίζα αυτής.

Για παράδειγμα

  • Για την εξίσωση 4(x - 5) = x - 5 έχουμε:

4(x - 5) = x - 5 ⇔4x - 20 = x - 5
⇔4x - x = 20 - 5
⇔ 3x = 15
pic22=5.

Άρα, η εξίσωση έχει μοναδική λύση, την x = 5 .

  • Για την εξίσωση 3x - x - 3 = 2x Έχουμε

3x - x - 3 = 2x ⇔ 3x - x - 2x = 3 ⇔ 0x = 3

που είναι αδύνατη.
  • Για τη εξίσωση 4(x - 5) - x = 3x - 20 έχουμε

4x - 20 - x = 3x - 20 ⇔ 4x - x - 3x = 20 - 20 ⇔ 0x = 0

που είναι ταυτότητα.

ΣΧΟΛΙΟ

Όπως βλέπουμε στα παραπάνω παραδείγματα, κάθε φορά καταλήγουμε σε εξίσωση της μορφής αx + β = 0, της οποίας οι συντελεστές α και β είναι συγκεκριμένοι αριθμοί και μπορούμε αμέσως να δούμε ποια από τις προηγούμενες περιπτώσεις ισχύει. Δεν συμβαίνει όμως το ίδιο, αν οι συντελεστές α και β της εξίσωσης αx + β = 0 εκφράζονται με τη βοήθεια γραμμάτων. Σε τέτοιες περιπτώσεις, τα γράμματα αυτά λέγονται παράμετροι, η εξίσωση λέγεται παραμετρική και η εργασία που κάνουμε για την εύρεση του πλήθους των ριζών της λέγεται διερεύνηση.

Για παράδειγμα η εξίσωση

(λ2 - 1)x - λ + 1 = 0, λ ∈ ℝ

έχει παράμετρο το λ και γράφεται ισοδύναμα

(λ2 - 1)x - λ + 1 = 0 ⇔(λ2 - 1)x = λ - 1
(λ + 1)(λ - 1)x = λ - 1

Επομένως

  • Αν λ ≠ -1 και λ ≠ 1, η εξίσωση έχει μοναδική λύση, την

pic23

  • Αν λ = -1, η εξίσωση γίνεται 0x = -2 και είναι αδύνατη.
  • Αν λ = 1, η εξίσωση γίνεται 0x = 0 και είναι ταυτότητα.

ΕΦΑΡΜΟΓΗ

Ένας ποδηλάτης πήγε από μια πόλη Α σε μία πόλη Β και επέστρεψε από τον ίδιο δρόμο. Στην μετάβαση οδηγούσε με μέση ταχύτητα 25km/h και ξεκουράστηκε ενδιάμεσα 1 ώρα. Στην επιστροφή οδηγούσε με μέση ταχύτητα 20 km/h και δεν έκανε καμία στάση. Αν ο συνολικός χρόνος του ταξιδιού ήταν 10 ώρες, να υπολογιστεί το μήκος της διαδρομής ΑΒ.

ΛΥΣΗ

Αν x km είναι η απόσταση ΑΒ, τότε ο ποδηλάτης χρειάστηκε pic24 ώρες για να πάει από το Α στο Β και pic25ώρες για να επιστρέψει. Αφού ξεκουράστηκε και 1 ώρα, ο συνολικός χρόνος του ταξιδιού ήταν pic26

Επειδή ο χρόνος αυτός είναι 10 ώρες έχουμε την εξίσωση:

pic26=10

Λύνουμε την εξίσωση και έχουμε:

pic26=10 ⇔4x + 5x + 100 = 1000
⇔9x = 900
⇔x = 100

Άρα το μήκος της διαδρομής είναι 100 km.

Εξισώσεις που ανάγονται σε εξισώσεις 1ου βαθμού

Στην συνέχεια θα δούμε, με τη βοήθεια παραδειγμάτων, πώς μπορούμε να επιλύσουμε εξισώσεις οι οποίες δεν είναι μεν εξισώσεις 1ου βαθμού, αλλά, με κατάλληλη διαδικασία, ανάγονται σε εξισώσεις 1ου βαθμού.

ΠΑΡΑΔΕΙΓΜΑ 1ο

Να λυθεί η εξίσωση

pic27

ΛΥΣΗ

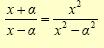
Η εξίσωση αυτή ορίζεται για κάθε x ≠ 1. Με αυτόν τον περιορισμό έχουμε:

pic28

Επομένως η εξίσωση έχει μοναδική λύση, την x = 0.

ΠΑΡΑΔΕΙΓΜΑ 2ο

Να λυθεί η εξίσωση

|2x -1| = |x + 3|

ΛΥΣΗ

Από τις ιδιότητες των απολύτων τιμών έχουμε:

|2x -1| = |x + 3| ⇔2x - 1 = x + 3 ή 2x -1 = -(x + 3)

Όμως:

  • 2x - 1 = x + 3 ⇔ 2x - x = 4 ⇔x = 4
  • 2x - 1 = -(x + 3) ⇔2x + x = -3 + 1 ⇔3x = -2 ⇔ pic29.

Επομένως η εξίσωση έχει δυο λύσεις, τους αριθμούς 4 και pic210.

ΣΧΟΛΙΟ

Με τον ίδιο τρόπο λύνουμε κάθε εξίσωση της μορφής |f(x)| = |g(x)| .

ΠΑΡΑΔΕΙΓΜΑ 3ο

Να λυθεί η εξίσωση

|2x - 3| = 3x - 2

ΛΥΣΗ

Επειδή το πρώτο μέλος της εξίσωσης είναι μη αρνητικό, για να έχει λύση η εξίσωση αυτή πρέπει και το δεύτερο μέλος της να είναι μη αρνητικό. Δηλαδή, πρέπει:

3x - 2 ≥ 0 (1)

Με αυτόν τον περιορισμό, λόγω των ιδιοτήτων των απόλυτων τιμών, έχουμε:

|2x - 3| = 3x - 2⇔2x - 3 = 3x - 2     ή     2x - 3 = 2 - 3x

⇔2x - 3x = -2 + 3   ή     2x + 3x = 2 + 3

⇔-x = 1 ή     5x = 5

⇔x = -1 ή    x = 1

Από τις παραπάνω λύσεις δεκτή είναι μόνο η x = 1, διότι μόνο αυτή ικανοποιεί τον περιορισμό (1).

ΣΧΟΛΙΟ

Με τον ίδιο τρόπο λύνουμε εξισώσεις της μορφής |f(x)| = g(x).

Ασκήσεις

Α' ΟΜΑΔΑΣ
1.

Να λύσετε τις εξισώσεις

pic211

2.

Να λύσετε τις εξισώσεις

pic212

3.

Να λύσετε τις εξισώσεις για τις διάφορες τιμές της παραμέτρου λ ∈ ℝ

pic213

4.

Στο παρακάτω ορθογώνιο τραπέζιο να βρεθεί η θέση του σημείου Μ στην ΑΔ ώστε για τα εμβαδά

pic214

pic214b

 

5.

Από κεφάλαιο 4000 € ένα μέρος του κατατέθηκε σε μια τράπεζα προς 5% και το υπόλοιπο σε μια άλλη τράπεζα προς 3%. Ύστερα από 1 χρόνο εισπράχθηκαν συνολικά 175€ τόκοι. Ποιο ποσό τοκίστηκε προς 5% και ποιο προς 3%;

6.

Να επιλυθούν οι παρακάτω τύποι ως προς την αναφερόμενη μεταβλητή: pic215

7.

Να λύσετε τις εξισώσεις

i) x2 (x - 4) + 2x(x - 4) + (x - 4) = 0.

ii) (x - 2 )2 - (2 - x) (4 + x) = 0.

8.

Να λύσετε τις εξισώσεις

i) x(x2 -1) - x3 + x2 = 0       ii) (x +1)2 + x2 - 1 = 0

9.

Να λύσετε τις εξισώσεις

i) x(x - 2)2 = x2 - 4x + 4       ii) (x2 - 4)(x - 1) = (x2 - 1)(x - 2).

10.

Να λύσετε τις εξισώσεις

i) x3 - 2x2 - x + 2 = 0       ii) x3 - 2x2 - (2x -1)(x - 2) = 0.

11.

Να λύσετε τις εξισώσεις

pic216

12.

Να λύσετε τις εξισώσεις

pic217

13.

Να βρείτε τρεις διαδοχικούς ακέραιους τέτοιους ώστε το άθροισμα τους να ισούται με το γινόμενο τους.

14.

Να λύσετε τις εξισώσεις

pic218

15.

Να λύσετε τις εξισώσεις

pic219

16.

Να λύσετε τις εξισώσεις

pic220

B' ΟΜΑΔΑΣ
1.

Να αποδείξετε ότι οι εξισώσεις:

pic221

έχουν πάντα λύση, οποιοιδήποτε και αν είναι οι πραγματικοί αριθμοί α, β.

 

2. Ποιοί περιορισμοί πρέπει να ισχύουν για τα α, β ∈ ℝ , ώστε να έχει λύση η εξίσωση pic222
3.

Πόσο καθαρό οινόπνευμα πρέπει να προσθέσει ένας φαρμακοποιός σε 200ml διάλυμα οινοπνεύματος περιεκτικότητας 15%, για να πάρει διάλυμα οινοπνεύματος περιεκτικότητας 32%;

4.

Ένα αυτοκίνητο Α κινείται με 100km/h. Ένα δεύτερο αυτοκίνητο Β που κινείται με 120km/h προσπερνάει το Α. Σε πόσα λεπτά τα δυο αυτοκίνητα θα απέχουν 1km;

5.

Να λύσετε την εξίσωση pic223 για όλες τις τιμές του α ∈ ℝ

6.

Να λύσετε την εξίσωση pic224

7.

Να λύσετε την εξίσωση |2|x|-1| = 3

8.

Να λύσετε την εξίσωση pic225

3.2 Η ΕΞΙΣΩΣΗ xν = α

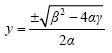
  • Έστω η εξίσωση x3 = 8 . Όπως αναφέραμε στον ορισμό της ν-οστής ρίζας μη αρνητικού αριθμού, η εξίσωση x3 = 8 έχει ακριβώς μια θετική λύση, την pic226=2. Η εξίσωση αυτή δεν έχει μη αρνητικές λύσεις, γιατί, για κάθε x ≤ 0 ισχύει x3 ≤ 0 .

     Επομένως η εξίσωση x3 = 8 έχει ακριβώς μια λύση, την pic226.

Γενικότερα:

Η εξίσωση xν = α , με α>0 και ν περιττό φυσικό αριθμό, έχει ακριβώς μια λύση την pic099

  • Έστω η εξίσωση x4 = 16 . Όπως και προηγουμένως η εξίσωση αυτή έχει ακριβώς μια θετική λύση την pic227 = 2. Η εξίσωση αυτή όμως έχει ως λύση και την -pic227=-2, αφού (-pic227)4 = (pic227)4 = 16.

     Επομένως η εξίσωση x4 = 16 έχει ακριβώς δύο λύσεις, την pic227 = 2 και την -pic227 = -2

Γενικότερα:

Η εξίσωση xν = α , με α>0 και ν άρτιο φυσικό αριθμό, έχει ακριβώς δύο λύσεις την pic099 και -pic099

  • Έστω η εξίσωση x3 = -8 . Έχουμε διαδοχικά:

      x3 = -8 ⇔ -x3 = 8 ⇔ (-x)3 = 8 ⇔ -x =pic228 ⇔x = - pic228 = -2

     Επομένως η εξίσωση αυτή έχει ακριβώς μια λύση, την - pic228 = - 2

Γενικότερα:

Η εξίσωση xν = α , με α<0 και ν περιττό φυσικό αριθμό, έχει ακριβώς μια λύση την pic228c

  • Έστω η εξίσωση x4 = -4 . Επειδή για κάθε x ισχύει x4 ≥ 0, η εξίσωση είναι αδύνατη.

Γενικότερα:

Η εξίσωση xν = α , με α<0 και ν άρτιο φυσικό αριθμό, είναι αδύνατη.

Από τα παραπάνω συμπεράσματα και από το γεγονός ότι η εξίσωση xν = αν, με ν ∈ Ν*, έχει προφανή λύση την x = α, προκύπτει ότι:

  • Αν ο ν περιττός τότε η εξίσωση xν = αν έχει μοναδική λύση, την x = α
  • Αν ο ν άρτιος τότε η εξίσωση xν = ανέχει δύο λύσεις, τις x1 = α και x2 =- α.

ΕΦΑΡΜΟΓΗ

Να λυθεί η εξίσωση x4 + 8x = 0

ΛΥΣΗ

x4 + 8x = 0 ⇔ x(x3 + 8) = 0

⇔x = 0 ή x3 = -8

⇔x = 0 ή x = - pic228 = -2

Ασκήσεις

Α' ΟΜΑΔΑΣ
1.

Να λύσετε τις εξισώσεις

i) x3 - 125 = 0   ii) x5 - 243 = 0   iii) x7 - 1 = 0

2.

Να λύσετε τις εξισώσεις

i) x3 + 125   ii) x5 + 243 = 0   iii) x7 + 1 = 0

3.

Να λύσετε τις εξισώσεις

i) x2 - 64   ii) x4 - 81 = 0   iii) x6 - 64 = 0

4.

Να λύσετε τις εξισώσεις

i) x5 - 8x2 = 0   ii) x4 + x = 0   iii) x5 + 16x = 0

5.

Ένα ορθογώνιο παραλληλεπίπεδο έχει όγκο 81m3 και διαστάσεις x, x και 3x. Να βρείτε τις διαστάσεις του παραλληλεπιπέδου.

6.

Να λύσετε τις εξισώσεις

i) (x + 1)3 = 64   ii) 1 + 125x3 = 0   iii) (x - 1)4 - 27(x - 1) = 0

3.3 ΕΞΙΣΩΣΕΙΣ 2ου ΒΑΘΜΟΥ

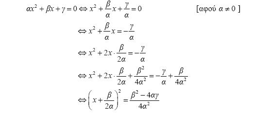
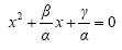
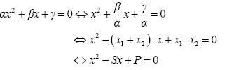
Η εξίσωση αx2 + βx + γ = 0, α ≠ 0

Η λύση πολλών προβλημάτων της Γεωμετρίας, της Φυσικής καθώς και άλλων επιστημών ανάγεται στην επίλυση μιας εξίσωσης της μορφής:

αx2 + βx + γ = 0, με α ≠ 0     (1)

η οποία λέγεται εξίσωση δευτέρου βαθμού.

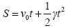
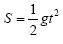
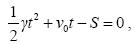
Για παράδειγμα, έστω ο τύπος pic229, όπου S το διάστημα που διανύει κινητό σε χρόνο t, με αρχική ταχύτητα v0 και επιτάχυνση γ. Αν θεωρήσουμε ως άγνωστο τον χρόνο t, τότε προκύπτει η εξίσωση:

pic230

η οποία είναι εξίσωση δευτέρου βαθμού.

Στη συνέχεια θα επιλύσουμε την εξίσωση δευτέρου βαθμού στη γενική της μορφή με τη μέθοδο της «συμπλήρωσης του τετραγώνου».

Έχουμε:

pic231

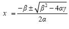
Αν θέσουμε Δ = β2 - 4αγ, τότε η τελευταία εξίσωση γίνεται:

pic232

Διακρίνουμε τώρα τις εξής περιπτώσεις:

  • Αν Δ> 0, τότε έχουμε:

pic233

δηλαδή

pic234

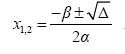
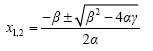
Επομένως η εξίσωση (2), άρα και η ισοδύναμή της (1), έχει δύο λύσεις άνισες τις:

pic235

Για συντομία οι λύσεις αυτές γράφονται

pic236.

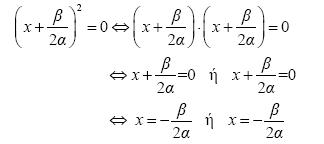
  • Αν Δ = 0, τότε η εξίσωση (2) γράφεται:

pic237

Στην περίπτωση αυτή λέμε ότι η εξίσωση έχει διπλή ρίζα την pic238

  • Αν Δ<0, τότε η εξίσωση (2), άρα και η ισοδύναμή της (1), δεν έχει πραγματικές ρίζες, δηλαδή είναι αδύνατη στο ℝ.

Η αλγεβρική παράσταση Δ = β2 - 4αγ, από την τιμή της οποίας εξαρτάται το πλήθος των ριζών της εξίσωσης αx2 + βx + γ = 0, α ≠ 0 , ονομάζεται διακρίνουσα αυτής.

Τα παραπάνω συμπεράσματα συνοψίζονται στον ακόλουθο πίνακα:

Δ = β2 - 4αγ

Η εξίσωση

αx2 + βx + γ = 0, α ≠ 0
Δ > 0 Έχει δύο ρίζες άνισες τις pic236
Δ = 0 Έχει μια διπλή ρίζα τη pic238
Δ < 0 Είναι αδύνατη στο ℝ .

Για παράδειγμα

  • Η εξίσωση 2x2 - 3x + 1 = 0 έχει Δ = (-3)2 - 4 · 2 · 1 = 1>0, οπότε έχει δυο ρίζες τις pic239a και pic239b
  • Η εξίσωση x2 - 4x + 4 = 0 έχει Δ = (-4)2 - 4 · 1 · 4 = 0, οπότε έχει μια διπλή ρίζα τηνpic240

Η παραπάνω εξίσωση λύνεται σύντομα ως εξής:

x2 - 4x + 4 = 0 ⇔ (x - 2)2 = 0 ⇔ x = 2 (διπλή ρίζα).

  • Η εξίσωση 2x2 - 3x + 4 = 0 έχει Δ = (-3)2 - 4 · 2 · 4 = -23<0, οπότε δεν έχει πραγματικές ρίζες.

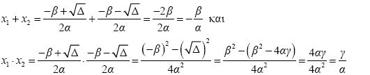
Στην περίπτωση που η εξίσωση αx2 + βx + γ = 0, α ≠ 0 έχει πραγματικές ρίζες x1,x2, έχουμε:

pic241

Αν με S συμβολίσουμε το άθροισμα x1 + x2 και με P το γινόμενο x1 · x2, τότε έχουμε τους τύπους:

pic242

που είναι γνωστοί ως τύποι του Vieta.

Η εξίσωση αx2 + βx + γ = 0, με την βοήθεια των τύπων του Vieta, μετασχηματίζεται ως εξής:

pic243

Η τελευταία μορφή της εξίσωσης αx2 + βx + γ = 0 μας δίνει τη δυνατότητα να την κατασκευάσουμε, όταν γνωρίζουμε το άθροισμα και το γινόμενο των ριζών της.

Για παράδειγμα η εξίσωση με άθροισμα ριζών 3 και γινόμενο pic028 είναι η x2 - 3x + pic028 = 0

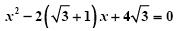
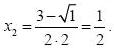
ΕΦΑΡΜΟΓΗ

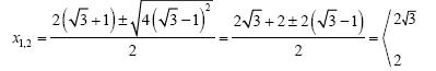
Να λυθεί η εξίσωση pic244

ΛΥΣΗ

Η διακρίνουσα είναι

pic245

Επομένως η εξίσωση έχει δυο ρίζες τις

pic246

Ένας βράχος βρίσκεται στην κορυφή της χαράδρας ενός ποταμού, η οποία έχει βάθος 300m. Πόσος χρόνος απαιτείται μέχρι τη στιγμή, που ο βράχος θα αγγίξει το νερό του ποταμού, αν ο βράχος

  1. πέσει από την κορυφή;
  2. εκσφενδονιστεί κατακόρυφα προς τα κάτω με ταχύτητα 50 m/sec;

Δίδεται ότι g ~ 10 m/sec2.

ΛΥΣΗ

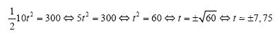
i) Είναι γνωστό από την Φυσική ότι το διάστημα S που διανύει ένα σώμα στην ελεύθερη πτώση σε χρόνο t sec είναι:pic247

Επειδή S = 300m και pic248, έχουμε:

pic249

Η αρνητική ρίζα δεν είναι αποδεκτή, διότι ο χρόνος στο συγκεκριμένο πρόβλημα δεν μπορεί να είναι αρνητικός. Άρα t ~ 7,75sec .

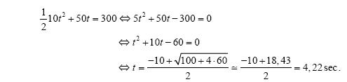
ii) Όταν το σώμα έχει αρχική ταχύτητα v0, το διάστημα που διανύει σε χρόνο t sec είναι pic250

Επειδή pic251 και t > 0 θα έχουμε :

pic252

Άρα, ο ζητούμενος χρόνος είναι περίπου 4,22sec.

ΣΧΟΛΙΟ

Κατά την επίλυση ενός προβλήματος, όπως είδαμε και παραπάνω, δεν πρέπει να ξεχνάμε να ελέγχουμε, αν οι λύσεις που βρήκαμε είναι εύλογες.

Εξισώσεις που ανάγονται σε εξισώσεις 2ου βαθμού

Στη συνέχεια θα δούμε, με τη βοήθεια παραδειγμάτων, πώς μπορούμε να επιλύσουμε εξισώσεις οι οποίες δεν είναι μεν 2ου βαθμού, αλλά, με κατάλληλη διαδικασία, ανάγονται σε εξισώσεις 2ου βαθμού.

 

ΠΑΡΑΔΕΙΓΜΑ 1o:

Να λυθεί η εξίσωση

x2 - 2|x| - 3 = 0.

ΛΥΣΗ

Επειδή x2 = |x|2, η εξίσωση γράφεται:

|x|2 - 2|x| - 3 = 0

Αν θέσουμε |x| = ω, τότε η εξίσωση γίνεται

ω2 - 2ω - 3 = 0 .

Η εξίσωση αυτή έχει ρίζες τις ω1 = 3 και ω2 = -1. Από αυτές δεκτή είναι μόνο η θετική, αφού ω = |x| ≥ 0. Επομένως |x| = 3, που σημαίνει x = -3 ή x = 3 .

 

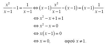
ΠΑΡΑΔΕΙΓΜΑ 2o:

Να λυθεί η εξίσωση:

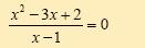
pic253

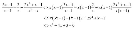
ΛΥΣΗ

Για να ορίζεται η εξίσωση πρέπει x - 1 ≠ 0 και x2 - x ≠ 0 , δηλαδή x ≠ 0 και x ≠ 1. Με αυτούς τους περιορισμούς του x έχουμε:

pic254

Η τελευταία εξίσωση έχει ρίζες x1 = 1 και x2 = 3 . Από αυτές, λόγω του περιορισμού, δεκτή είναι μόνο η x2 = 3 .

ΠΑΡΑΔΕΙΓΜΑ 3o:

Να λυθεί η εξίσωση:

2x4 - 7x2 - 4 = 0       (1)

ΛΥΣΗ

Αν θέσουμε x2 = y η εξίσωση γίνεται:

2y2 - 7y - 4 = 0     (2)

Η εξίσωση 2y2 - 7y - 4 = 0 έχει ρίζες τις y1 = 4 και pic255 Επειδή y = x2 ≥ 0, δεκτή είναι μόνο η y1 = 4 .

Επομένως, οι ρίζες της (1) είναι οι ρίζες της εξίσωσης x2 = 4 , δηλαδή οι x1 = -2 και x2 = 2 .

 

ΣΧΟΛΙΟ

Η μέθοδος που ακολουθήσαμε στο παραπάνω παράδειγμα εφαρμόζεται και για την επίλυση κάθε εξίσωσης της μορφής:

αx4 + βx2 + γ = 0, με α ≠ 0

Οι εξισώσεις της μορφής αυτής ονομάζονται διτετράγωνες εξισώσεις.

Ασκήσεις

Α' ΟΜΑΔΑΣ
1.

Να λύσετε τις εξισώσεις:

i) 2x2 - 5x + 3 = 0    ii) x2 - 6x + 9 = 0    iii) 3x2 + 4x + 2 = 0.

2.

Να λύσετε τις εξισώσεις:

i) x2 - 1,69 = 0       ii) 0,5x2 - x = 0      iii) 3x2 + 27 = 0

3.

Να αποδείξετε ότι οι παρακάτω εξισώσεις έχουν πραγματικές ρίζες:

i) λx2 + 2x - (λ - 2) = 0 , λ ≠ 0     ii) αx2 + (α + β)x + β = 0 , α ≠ 0

4.

Να βρείτε τις τιμές του μ ∈ ℝ για τις οποίες η εξίσωση μx2 + 2x + μ = 0, μ ≠ 0 έχει διπλή ρίζα.

5.

Αν α ≠ β, να δείξετε ότι είναι αδύνατη στο ℝ η εξίσωση (α2 + β2)x2 + 2(α + β)x + 2 = 0. Να εξετάσετε την περίπτωση που είναι α = β .

6.

Να βρείτε την εξίσωση 2ου βαθμού που έχει ρίζες τους αριθμούς

pic256

7.

Να βρείτε δυο αριθμούς, εφόσον υπάρχουν, που να έχουν

i) Άθροισμα 2 και γινόμενο -15 .

ii) άθροισμα 9 και γινόμενο 10.

8.

Να λύσετε τις εξισώσεις:

pic257

9.

Να λύσετε την εξίσωση x2 + α2 = β2 - 2αx, για τις διάφορες τιμές των α, β ∈ ℝ .

10.

Να βρείτε τις πλευρές ενός ορθογωνίου με περίμετρο 68cm και διαγώνιο 26cm.

11.

Να λύσετε τις εξισώσεις

i) x2- 7|x| + 12 = 0      ii) x2 + 2|x| - 35 = 0      iii) x2- 8|x| + 12 = 0.

12.

Να λύσετε την εξίσωση (x - 1)2 + 4|x - 1| - 5 = 0.

13.

Να λύσετε την εξίσωση pic258

14.

Να λύσετε τις εξισώσεις

pic259

15.

Να λύσετε τις εξισώσεις

i) x4 + 6x2 - 40 = 0    ii) 4x4 + 11x2 - 3 = 0    iii) 2x4 + 7x2 + 3 = 0.

B' ΟΜΑΔΑΣ
1.

Δίνεται η εξίσωση α2x2 - 2α3x + α4 - 1 = 0, με α ≠ 0.

i) Να δείξετε ότι η διακρίνουσα της εξίσωσης είναι Δ = 4α2.

ii) Να δείξετε ότι οι ρίζες της εξίσωσης είναι οι pic260

 
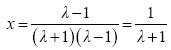
2.

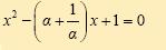
Δίνεται η εξίσωση pic261

i) Να δείξετε ότι η διακρίνουσα της εξίσωσης είναι pic262

ii) Να δείξετε ότι οι ρίζες της εξίσωσης είναι οι 3 και pic263

 
3.

Να βρείτε τις τιμές του α ∈ ℝ για τις οποίες η εξίσωση 2x2 + (α - 9)x + α2 + 3α + 4 = 0 έχει διπλή ρίζα.

4.

Αν ο αριθμός ρ είναι η ρίζα της εξίσωσης αx2 + βx + γ = 0, με α · γ ≠ 0, να δείξετε ότι ο αριθμός pic264 είναι η ρίζα της εξίσωσης γx2 + βx + α = 0 .

5.

Να λύσετε τις εξισώσεις:

pic265

6.

Δίνεται η εξίσωση x2 + 2λx - 8 = 0

i) Να δείξετε ότι η εξίσωση έχει πραγματικές ρίζες για κάθε λ ∈ ℝ .

ii) Αν η μια ρίζα της εξίσωσης ισούται με το τετράγωνο της άλλης, τότε να βρεθούν οι ρίζες και η τιμή του λ.

7.

Να εξετάσετε αν υπάρχουν διαδοχικοί ακέραιοι που να είναι μήκη πλευρών ορθογωνίου τριγώνου.

8.
Η σημαία του παρακάτω σχήματος έχει διαστάσεις 4m και 3m αντιστοίχως. Να βρείτε πλάτος d του σταυρού, αν γνωρίζουμε ότι το εμβαδόν του είναι ίσο με το εμβαδόν του υπόλοιπου μέρους της σημαίας.

 

pic266

9.

Μια κατασκευαστική εταιρεία διαθέτει δυο μηχανήματα Α και Β. Το μηχάνημα Β χρειάζεται 12 ώρες περισσότερο από ότι το μηχάνημα Α για να τελειώσει ένα συγκεκριμένο έργο. Ο χρόνος που απαιτείται για να τελειώσει το έργο, αν χρησιμο-ποιηθούν και τα δυο μηχανήματα μαζί είναι 8 ώρες. Να βρείτε το χρόνο που θα χρειαζόταν το κάθε μηχάνημα για να τελειώσει το έργο αυτό αν εργαζόταν μόνο του.

10.

Είναι γνωστό ότι μια ρίζα της εξίσωσης x4 - 10x2 + α = 0 είναι ο αριθμός 1. Να βρείτε το α και να λύσετε την εξίσωση.

ΕΡΩΤΗΣΕΙΣ ΚΑΤΑΝΟΗΣΗΣ 3ου ΚΕΦΑΛΑΙΟΥ

I.

Σε καθεμιά από τις παρακάτω περιπτώσεις να κυκλώσετε το γράμμα Α, αν ο ισχυρισμός είναι αληθής για όλους τους πραγματικούς αριθμούς α, β και γ . Διαφορετικά να κυκλώσετε το γράμμα Ψ.

 
1. Η εξίσωση (α - 1)x = α(α -1) έχει μοναδική λύση την x = α. Α Ψ
2. H εξίσωση (|x| + 1)(|x| + 2) = 0 είναι αδύνατη. Α Ψ
3. Η εξίσωση (|x| - 1)(|x| - 2|) = 0 έχει δύο πραγματικές ρίζες Α Ψ
4. Η εξίσωση (|x| - 1)(|x| + 2|) = 0 έχει δύο πραγματικές ρίζες Α Ψ
5. Η εξίσωση |x| = x - 2 έχει μοναδική λύση. Α Ψ
6. Η εξίσωση |x| = 2 - x έχει μοναδική λύση. Α Ψ
7. Αν οι συντελεστές α και γ της εξίσωσης αx2 + βx + γ = 0 είναι ετερόσημοι, τότε η εξίσωση έχει δύο ρίζες άνισες. Α Ψ
8. Αν δύο εξισώσεις 2ου βαθμού έχουν τις ίδιες ρίζες, τότε οι συντελεστές των ίσων δυνάμεων του x των εξισώσεων αυτών είναι ίσοι. Α Ψ
9. Η εξίσωση αx2 + 2x - α = 0 έχει δύο ρίζες πραγματικές και άνισες. Α Ψ
10. Η εξίσωση x2 - 4αx + 4α2 = 0, με α ≠ 0, έχει δύο ρίζες πραγματικές και άνισες. Α Ψ
11. Η εξίσωση α2x2 - 2αx + 2 = 0, με α ≠ 0, δεν έχει πραγματικές ρίζες. Α Ψ
12. Η εξίσωση 2x2 + 3αx + α2 = 0 δεν έχει πραγματικές ρίζες. Α Ψ
13. Η εξίσωση pic267 με α ≠ 0,1 έχει δύο άνισες και αντίστροφες πραγματικές ρίζες. Α Ψ
14. Οι εξισώσεις pic268 και x2 - 3x + 2 = 0 έχουν τις ίδιες λύσεις. Α Ψ
15. Οι εξισώσεις pic269 και (2x2 + 3x + 1) = 5(x2 - 1) έχουν τις ίδιες λύσεις. Α Ψ
16. Υπάρχουν πραγματικοί αριθμοί x και y που να έχουν άθροισμα S = -10 και γινόμενο P = 16 . Α Ψ
17. Υπάρχουν πραγματικοί αριθμοί x και y που να έχουν άθροισμα S = 10 και γινόμενο P = 25 . Α Ψ
18. Υπάρχουν πραγματικοί αριθμοί x και y που να έχουν άθροισμα S = 2 και γινόμενο P = 2 . Α Ψ
II. Να εντοπίσετε το λάθος στους παρακάτω συλλογισμούς:
 
1.

Η εξίσωση (2x - 1)(x + 2) = (3 - 2x)(x + 2) γράφεται ισοδύναμα:

(2x - 1)(x + 2) = (3 - 2x)(x + 2) ⇔2x - 1 = 3 - 2x ⇔4x = 4 ⇔x = 1.

Όμως και ο αριθμός x = -2 επαληθεύει τη δοθείσα εξίσωση.

 
2.

Η εξίσωση |2x - 1| = x - 2 γράφεται ισοδύναμα:

|2x - 1| = x - 2 ⇔2x - 1 = x - 2 ή 2x - 1 = 2 - x ⇔x = -1 ή x = 1.

Όμως καμία από τις τιμές αυτές του x δεν επαληθεύει τη δοθείσα εξίσωση.

 

ΙΣΤΟΡΙΚΟ ΣΗΜΕΙΩΜΑ

Από τα αρχαία χρόνια οι μαθηματι-κοί χρησιμοποίησαν διάφορες τεχνικές για να λύσουν μια εξίσωση 2ου βαθμού.

Οι αρχαίοι Έλληνες χρησιμοποίησαν γεωμετρικές μεθόδους, ίσως λόγω των δυσκολιών που είχαν με τους άρρητους αριθμούς, αλλά και λόγω πρακτικών δυσκολιών που προέκυπταν από τα ελληνικά ψηφία.

Οι Ινδοί και οι Άραβες χρησιμοποί-ησαν μια μέθοδο όμοια με τη σημερινή διαδικασία «συμπλήρω-σης τετραγώνου», περιγράφοντας όμως λεκτικά τον τρόπο εύρεσης των λύσεων. Αυτοί θεωρούσαν ως διαφορετικού τύπου κάθε μία από τις εξισώσεις

x2 + px = q,   x2 - px = q,   x2 - px = -q .

Σήμερα όμως γράφουμε τις εξισώσεις αυτές με τη γενική μορφή

αx2 + βx + γ = 0

Ο σύγχρονος συμβολισμός άρχισε να εμφανίζεται περί το 1500 μ.Χ, και οι δυνατότητες χρησιμοποίησης αρνητικών ριζών και ακόμα μιγαδικών ριζών προτάθηκαν από τους Cardano και Girard. Η γεωμετρική παράσταση των αρνητικών ριζών από τον Descartes και των μιγαδικών αριθμών από τούς Wessel, Argand και Gauss έκαμε τους αριθμούς αυτούς περισσότερο αποδεκτούς ως ρίζες μιας δευτεροβάθμιας εξίσωσης.

Όμως η ποικιλία των επιλύσεων που αναπτύχθηκε τα αρχαία χρόνια μας ενέπνευσε να αναπτύξουμε μερικούς τρόπους εξαγωγής του τύπου

pic270

που δίνει τις ρίζες της γενικής εξίσωσης 2ου βαθμού

αx2 + βx + γ = 0, α ≠ 0 .

Στη συνέχεια παρουσιάζουμε τρεις μεθόδους επίλυσης μίας εξίσωσης 2ου βαθμού.

 

Μέθοδος των Ινδών

Η επίλυση αυτή που επινοήθηκε στην Ινδία, αποδίδεται στον Sridhara (1025 μ. Χ. περίπου).

Έχουμε διαδοχικά:

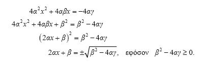
αx2 + βx + γ = 0

αx2 + βx = -γ

Πολλαπλασιάζουμε και τα δύο μέλη της εξίσωσης με 4α και ύστερα προσθέτουμε το β2 και στα δύο μέλη, για να προκύψει ένα «τέλειο» τετράγωνο στο αριστερό μέλος. Δηλαδή

pic271

Έτσι προκύπτει ότι: pic272

Σχόλιο: Η απλότητα της μεθόδου των Ινδών χαρακτηρίζεται από το γεγονός ότι το κλάσμα δεν εμφανίζεται. παρά μόνο στο τελευταίο βήμα.

 

Μέθοδος του Vieta

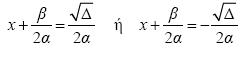
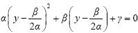
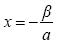
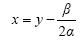
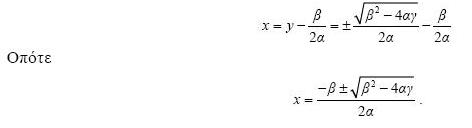
Η εξίσωση 2ου βαθμού αx2 + βx + γ = 0, α ≠ 0 μπορεί να λυθεί ευκολότερα, αν δεν περιέχει τον πρωτοβάθμιο όρο βx, πράγμα που μπορεί εύκολα να επιτευχθεί με την αντικατάσταση

pic273

Τότε η εξίσωση γίνεται: pic273a η οποία όταν απλοποιηθεί γίνεται:

pic274

Οι ρίζες της εξίσωσης αυτής είναι pic275 εφόσον β2 - 4αγ ≥ 0

Για να βρούμε τις ρίζες της αρχικής εξίσωσης αντικαθιστούμε την παραπάνω τιμή του y στην (1) και έχουμε:

pic276

Σχόλιο: Η μέθοδος αυτή του Vieta είναι ενδιαφέρουσα, γιατί είναι ο προάγγελος της τεχνικής για την επίλυση της γενικής τριτοβάθμιας καθώς και της διτετράγωνης εξίσωσης. Για παράδειγμα, το πρώτο βήμα στην επίλυση της εξίσωσης αx3 + βx2 + γx + δ = 0, είναι η αντικατάσταση pic277 που απαλλάσσει την εξίσωση από το δευτεροβάθμιο όρο.

 

Μέθοδος του Harriot

Ο μαθηματικός Thomas Harriot (1560-1621) εφάρμοσε τη μέθοδο της παραγοντοποίησης, για να βρει τις λύσεις μιας εξίσωσης 2ου βαθμού, στο μεγάλο έργο του για την άλγεβρα «Artis Analytical Praxis». Η τεχνική του είναι η εξής περίπου:

Υποθέτουμε ότι x1 και x2 είναι οι ρίζες της δευτεροβάθμιας εξίσωσης

αx2 + βx + γ = 0, α ≠ 0       (1).

Σχηματίζουμε τώρα μία εξίσωση με ρίζες x1 και x2. Αυτή είναι η (x - x1 )(x - x2 ) = 0 ή ,ισοδύναμα, η

x2 - (x1 + x2) x + x1 x2 = 0      (2)

Με διαίρεση των μελών της (1) με α ≠ 0 , βρίσκουμε:

pic278      (3)

Επειδή οι εξισώσεις (2) και (3) είναι ίδιες, οι αντίστοιχοι συντελεστές πρέπει να είναι ίσοι. Επομένως:

pic279      (4)

Η ταυτότητα (x1 - x2 )2 = (x1 + x2 )2 - 4x1 x2 σε συνδυασμό με την (4) δίνει

pic280

Λύνοντας το σύστημα των εξισώσεων (4) και (5) έχουμε:

pic281

Σχόλιο: Είναι αρκετό να θεωρήσουμε μόνο τη θετική τετραγωνική ρίζα της (5). Η αρνητική ρίζα απλώς εναλλάσσει τη διάταξη των x1 και x2.