|
Με τη βοήθεια των εξισώσεων 2ου βαθμού μπορούμε να λύσουμε πολλά προβλήματα της καθημερινής μας ζωής, της Οικονομίας, της Φυσικής κ.τ.λ.

Το εμβαδόν μιας κολυμβητικής πισίνας
είναι 400 m2. Να βρείτε τις διαστάσεις
της, αν αυτές έχουν άθροισμα 41 m.
Ένας οικονομολόγος υπολόγισε ότι μια βιοτεχνία ρούχων για να κατασκευάσει x πουκάμισα ξοδεύει
ευρώ. Αν η βιοτεχνία πουλάει κάθε
πουκάμισο 60 €, πόσα πουκάμισα πρέπει να πουλήσει, ώστε να κερδίσει 3500 €;
Από ένα ακίνητο αερόστατο που βρίσκεται σε ύψος h αφήνεται να πέσει ένας σάκος με άμμο για να ελαφρύ-νει. Ταυτόχρονα, το αερόστατο αρχίζει να κινείται κατακόρυφα προς τα άνω με σταθερή επιτάχυνση 0,5 m/sec2. Τη στιγμή που ο σάκος φτάνει στο έδαφος, το αερόστατο βρίσκεται σε ύψος 84 m. Να βρεθεί πόσο διήρκησε η πτώση του σάκου.
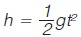
Σημείωση:
Από τη Φυσική είναι γνωστό ότι:
-
Αν ένα σώμα αφήνεται να πέσει από ύψος h m, τότε
θα φτάσει στο έδαφος σε χρόνο t sec, όπου
και g = 10 m/sec2 περίπου.
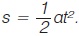
- Αν ένα σώμα αρχίζει να κινείται με σταθερή επιτάχυν-
ση α, τότε σε χρόνο t θα διανύσει διάστημα
|
1
Να υπολογίσετε το x σε καθεμιά από τις περιπτώσεις.

2
Να βρείτε ένα θετικό αριθμό, τέτοιο ώστε:
α) Το μισό του τετραγώνου του να είναι ίσο με το
διπλάσιό του.
β) Το γινόμενό του μ´ έναν αριθμό, που είναι κατά 2 μικρότερος, να είναι 24.
γ) Το διπλάσιο του τετραγώνου του, να είναι κατά 3 μεγαλύτερο από το πενταπλάσιό του.
3
Η χωρητικότητα ενός δοχείου λαδιού είναι 10 λίτρα. Αν το δοχείο έχει σχήμα ορθογωνίου παραλληλεπι-πέδου με ύψος 2,5 dm και βάση τετράγωνο, να βρείτε το μήκος της πλευράς της βάσης του.
(1 λίτρο = 1dm3)
4
Ένα οικόπεδο έχει σχήμα ορθογωνίου με εμβαδόν 150 m2. Αν το μήκος του είναι 5 m μεγαλύτερο από το πλάτος του, να βρείτε πόσα μέτρα συρματόπλεγμα χρειάζονται για την περίφραξή του.
5
Να βρείτε δύο διαδοχικούς περιττούς ακεραίους, που το άθροισμα των τετραγώνων τους να είναι 74.
6
Ο καθηγητής των Μαθηματικών πρότεινε στους μαθητές του να λύσουν ορισμένες ασκήσεις για να εμπεδώσουν την ενότητα που διδάχτηκαν. Όταν αυτοί τον ρώτησαν σε ποια σελίδα είναι γραμμένες οι ασκήσεις, αυτός απάντησε: «Αν ανοίξετε το βιβλίο σας, το γινόμενο των αριθμών των δύο αντικριστών σελίδων μέσα στις οποίες είναι γραμμένες οι ασκήσεις, είναι 506». Μπορείτε να βρείτε σε ποιες σελίδες είναι γραμμένες οι ασκήσεις;
7
Στο πρωτάθλημα ποδοσφαίρου μιας χώρας κάθε ομάδα έδωσε με όλες τις υπόλοιπες ομάδες δύο αγώνες (εντός και εκτός έδρας). Αν έγιναν συνολικά 240 αγώνες, πόσες ήταν οι ομάδες που συμμετείχαν στο πρωτάθλημα;
8
Ένα τρίγωνο έχει πλευρές 4 cm, 6 cm και 8 cm. Αν κάθε πλευρά του ήταν μεγαλύτερη κατά x cm, τότε το τρίγωνο θα ήταν ορθογώνιο. Να βρείτε τον αριθμό x.
9
Οι μαθητές μιας τάξης ρώτησαν τον καθηγητή τους πόσο ετών είναι και ποια είναι η ηλικία των παιδιών του. Εκείνος δεν έχασε την ευκαιρία και τους προβλημάτισε για μια ακόμη φορά, αφού τους είπε: «Αν πολλαπλασιάσετε την ηλικία που είχα πριν 5 χρόνια, με την ηλικία που θα έχω μετά από 5 χρόνια θα βρείτε 1200. Όσον αφορά τα δύο παιδιά μου, αυτά είναι δίδυμα και αν πολλαπλασιάσετε ή προσθέσετε τις ηλικίες τους βρίσκετε τον ίδιο αριθμό». Μπορείτε να βρείτε την ηλικία του καθηγητή και των παιδιών του;
10
 Το μήκος κάθε φύλλου ενός βιβλίου είναι μεγαλύτερο από το πλάτος του κατά 6 cm. Αν διπλώσουμε ένα φύλλο ΑΒΓΔ, έτσι ώστε η πλευρά ΓΔ να πέσει πάνω στην ΑΔ, τότε το εμβαδόν του φύλλου μειώνεται κατά τα 3 του αρχικού εμβαδού του. Να βρείτε τις διαστάσεις κάθε φύλλου του βιβλίου.
11
 Θέλουμε να κατασκευάσουμε
ένα κυκλικό σιντριβάνι και
γύρω από αυτό να στρώσουμε με βότσαλα ένα κυκλικό δακτύλιο πλάτους 3 m. Αν
ο δακτύλιος πρέπει να έχει
εμβαδόν τριπλάσιο από το εμβαδόν που καλύπτει το σιντριβάνι, να βρείτε την ακτίνα του σιντριβανιού.
12
Για την κατασκευή μιας κλειστής κυλινδρικής δεξαμενής καυσίμων ύψους 6 m, χρειάστηκαν 251,2 m2 λαμαρίνας. Να υπολογίσετε την ακτίνα της βάσης της δεξαμενής.
13
 Παρατηρώντας την πτώση ενός σώματος, που αφέθηκε να πέσει από την κορυφή Κ ενός ουρανοξύστη, διαπιστώνουμε ότι στα δύο τελευταία δευτερόλεπτα της κίνησης του διήνυσε μια απόσταση
ΠΕ ίση με τα του ύψους του ουρανοξύστη. Να
βρείτε πόσο χρόνο διήρκησε η πτώση του σώματος και ποιο ήταν το ύψος του ουρανοξύστη (g = 10 m/sec2).
|
|