- Λύνω εξισώσεις δευτέρου βαθμού με ανάλυση σε γινόμενο παραγόντων.
- Βρίσκω το πλήθος των λύσεων μιας εξίσωσης δευτέρου βαθμού και υπολο-
γίζω τις λύσεις της με τη βοήθεια τύπου.
- Μετατρέπω ένα τριώνυμο σε γινόμενο παραγόντων.
Υπάρχουν προβλήματα που η επίλυσή τους οδηγεί σε εξίσωση μ´ έναν άγνωστο και στην οποία ο μεγαλύτερος εκθέτης του αγνώστου είναι ο αριθμός 2.
Σε καθεμία από τις προηγούμενες περιπτώσεις λέμε ότι έχουμε
εξίσωση 2ου βαθμού με έναν άγνωστο (δευτεροβάθμια εξίσωση).
Από τα προηγούμενα παραδείγματα προκύπτει ότι η γενική μορφή μιας εξίσωσης 2ου βαθμού με άγνωστο x είναι
αx2 + βx + γ = 0 με α ≠ 0...
Οι αριθμοί α, β, γ λέγονται συντελεστές της εξίσωσης. Ο συντελεστής γ λέγεται και σταθερός όρος. Οι συντελεστές σε καθεμιά από τις παρακάτω εξισώσεις είναι:
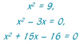
| x2 - 9 = 0 : |
α = 1 |
β = 0 |
γ = -9 |
| x2 - 3x = 0 : |
α = 1 |
β = -3 |
γ = 0 |
| x2 + 15x - 16 = 0 : |
α = 1 |
β = 15 |
γ = -16 |
Θυμόμαστε ότι:
Αν α·β = 0 τότε α = 0 ή β = 0
Επίλυση εξίσωσης της μορφής αx2 + βx = 0 με α ≠ 0
Για να λύσουμε την εξίσωση 2 = 3x εργαζόμαστε ως εξής:
H προτεραιότητα των πράξεων
- Μεταφέρουμε όλους τους όρους στο α΄ μέλος.
- Αναλύουμε το α΄ μέλος σε γινόμενο παραγόντων.
- Για να είναι το γινόμενο x(x - 3) ίσο με το μηδέν πρέπει x = 0 ή x - 3 = 0.
x2 = 3x
x2 - 3x = 0
x(x - 3) = 0
x = 0 ή x - 3 = 0
x = 0 ή x = 3
Άρα η εξίσωση έχει δύο λύσεις, τις x = 0 και x = 3
Επίλυση εξίσωσης της μορφής αx2 + γ = 0 με α ≠ 0
Για να λύσουμε την εξίσωση x2 - 9 = 0, εργαζόμαστε ως εξής:
1ος τρόπος:
- Το α΄ μέλος της εξίσωσης είναι διαφορά τετραγώνων και το β΄ μέλος είναι μηδέν.
- Αναλύουμε το α΄ μέλος σε γινόμενο παραγόντων.
- Για να είναι το γινόμενο
(x - 3)(x + 3) ίσο με το μηδέν πρέπει x - 3 = 0 ή
x + 3 = 0
x2 - 9 = 0
x2 - 32 = 0
(x - 3) (x + 3) = 0
x - 3 = 0 ή x + 3 = 0
x = 3 ή x = -3
Άρα η εξίσωση έχει δύο λύσεις, τις x = 3 και x = -3
2ος τρόπος:
- Όταν α είναι θετικός, η εξίσωση x2 = α έχει δύο λύσεις, χ= √α και χ=-√α
x2 - 9 = 0
x2 - 32 = 0
(x - 3) (x + 3) = 0
x - 3 = 0 ή x + 3 = 0
x = 3 ή x = -3
Άρα η εξίσωση έχει δύο λύσεις, τις x = 3 και x = -3
Για να λύσουμε την εξίσωση x2 + 16 = 0, αν εργαστούμε όπως προηγουμένως, παρατηρούμε ότι αυτή γράφεται x2 = -16. Η εξίσωση αυτή δεν έχει λύση (αδύνατη), γιατί το τετράγωνο κάθε πραγματικού αριθμού είναι θετικός αριθμός ή μηδέν και δεν είναι δυνατόν να είναι ίσο με
-16.
Αν α είναι αρνητικός αριθμός, τότε η εξίσωση x2 = α δεν έχει λύση (αδύνατη)
Η εξίσωση x2 = 0 έχει λύση την x = 0. H λύση αυτή λέγε-ται διπλή, γιατί η εξίσωση x2 = 0 γράφεται x·x = 0, οπό-τε x = 0 ή x = 0 (δηλαδή έχει δύο φορές την ίδια λύση).
Επίλυση εξίσωσης της μορφής αx2 + βx + γ = 0 με α ≠ 0
Για να λύσουμε την εξίσωση 9x2 - 6x + 1 = 0 εργαζόμαστε ως εξής:
- Το πρώτο μέλος της εξίσωσης είναι ανάπτυγμα τετραγώνου σύμφωνα με την ταυτότητα
α2 - 2αβ + β2 = (α - β)2
- Για να είναι (3x - 1)2 = 0 πρέπει 3x - 1 = 0
9x2 - 6x + 1 = 0
(3x)2 - 2·3x·1 + 12 = 0
(3x - 1)2 = 0
3x - 1 = 0 ή x = 
Άρα η εξίσωση έχει μια διπλή λύση, την 
Για να λύσουμε την εξίσωση x2 + 15x - 16 = 0 σχηματίζουμε στο α΄ μέλος ανάπτυγμα τετραγώνου εργαζόμενοι ως εξής:
- Πολλαπλασιάζουμε όλους τους όρους της εξίσωσης με 4α, όπου α ο συντελεστής του x2.
- Μεταφέρουμε στο β΄ μέλος το σταθερό όρο και στο α΄ μέλος δημιουργούμε παράσταση της μορφής α2 + 2αβ ή α2 - 2αβ.
- Για να συμπληρωθεί το ανάπτυγμα τετραγώνου προσθέτουμε και στα δύο μέλη το β2.
- Χρησιμοποιούμε μία από τις ταυτότητες
α2 + 2αβ + β2 = (α + β)2
α2 - 2αβ + β2 = (α - β)2
x2 + 15x - 16 = 0
4x2 + 60x -64 = 0
(2x)2 + 2·2x·15 = 64
(2x)2 + 2·2x·15 + 152 = 64 + 152
(2x + 15)2 = 289
2x + 15 =√289 ή 2x + 15 =√289
2x + 15 = 17 ή 2x + 15 = -17
2x = 2 ή 2x = -32
x = 1 ή x = -16
Άρα η εξίσωση έχει δύο λύσεις, τις x = 1 και x = -16
Η μέθοδος με την οποία λύσαμε την εξίσωση
x2 + 15x - 16 = 0 είναι γνωστή ως μέθοδος συμπλήρωσης τετραγώνου.
|