- Μαθαίνω να λύνω ένα γραμμικό σύστημα δύο εξισώσεων με δύο αγνώστους με τη μέθοδο:
α) της αντικατάστασης
β) των αντίθετων συντελεστών
- Μαθαίνω να λύνω προβλήματα με τη βοήθεια συστημάτων.
Η γραφική επίλυση ενός συστήματος δεν οδηγεί πάντοτε στον ακριβή προσδιορισμό της λύσης του, αφού σε ορισμένες περιπτώσεις οι συντεταγμένες του κοινού σημείου των δύο ευθειών του δεν είναι εύκολο να προσδιοριστούν.
Η αλγεβρική όμως επίλυσή του, όπως θα δούμε σ ´ αυτή την παράγραφο, μας δίνει τη δυνατότητα να προσδιορίζουμε με ακρίβεια τη λύση του (αν υπάρχει) σε οποιαδήποτε περίπτωση.
Για να επιλύσουμε αλγεβρικά ένα σύστημα, επιδιώκουμε να απαλείψουμε από μια εξίσωση τον ένα από τους δύο αγνώστους και να καταλήξουμε σε εξίσωση με έναν άγνωστο. Δύο από τις μεθόδους με τις οποίες επιτυγχάνεται αυτό είναι οι εξής:
Για να επιλύσουμε το σύστημα με τη
μέθοδο της αντικατάστασης εργαζόμαστε ως εξής:
- Λύνουμε μία από τις εξισώσεις του συστήματος ως προς έναν άγνωστο.
|
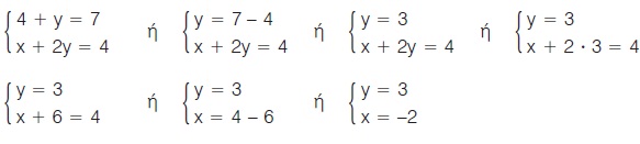
Λύνουμε την εξίσωση x + y = 20 ως προς x και έχουμε
x = 20 - y
|
- Αντικαθιστούμε στην άλλη εξίσωση του συστήματος τον άγνωστο αυτόν με την ίση παράστασή του, οπότε προκύπτει εξίσωση με έναν άγνωστο, την οποία και λύνουμε.
|
Αντικαθιστούμε το x με 20 - y στην εξίσωση x + 3y = 44 και έχουμε:
(20 - y) + 3y = 44
20 + 2y = 44
2y = 44 - 20
2y = 24 άρα y = 12
|
- Την τιμή του αγνώστου που βρήκαμε την αντικαθιστούμε στην προηγούμενη εξίσωση, οπότε βρίσκουμε και τον άλλο άγνωστο.
|
Για y = 12 από την εξίσωση x = 20 - y έχουμε:
x = 20 - 12
x = 8
|
- Προσδιορίζουμε τη λύση του συστήματος.
|
Άρα η λύση του συστήματος είναι x = 8, y = 12, δηλαδή το ζεύγος (x, y) = (8, 12) |
Για επαλήθευση, αντικαθιστούμε τις τιμές x = 8 και y = 12 στις εξισώσεις του συστήματος και διαπιστώνουμε ότι το ζεύγος (8, 12) είναι λύση του, αφού  Στην ίδια λύση θα καταλήγαμε και αν λύναμε μία από τις εξισώσεις του συστήματος ως προς y.
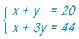
Αν στις δύο εξισώσεις, οι συντελεστές ενός αγνώστου είναι αντίθετοι αριθμοί, τότε μπορούμε να λύσουμε το σύστημα πιο γρήγορα, αν προσθέσουμε κατά μέλη τις εξισώσεις του.
Για παράδειγμα, στο σύστημα οι
συντελεστές του y είναι αντίθετοι αριθμοί και αν προσθέσουμε τις δύο εξισώσεις κατά μέλη, τότε ο άγνωστος y απαλείφεται.
Έτσι έχουμε:
3x + 5x = 12 + 4 ή 8x = 16, οπότε x = 2.
Αν αντικαταστήσουμε την τιμή του x σε μια από τις δύο εξισώσεις, π.χ. στην πρώτη, τότε έχουμε:
3· 2 + 2y = 12 ή 2y = 6 ή y = 3.
Άρα η λύση του συστήματος είναι x = 2, y = 3, δηλαδή το ζεύγος (x, y) = (2, 3).
Όταν όμως έχουμε να λύσουμε το
σύστημα
στο οποίο δεν υπάρχουν αντίθετοι συντελεστές στον ίδιο άγνωστο τότε:
- Πολλαπλασιάζουμε τα μέλη κάθε εξίσωσης με κατάλληλο αριθμό, ώστε να εμφανιστούν αντίθετοι συντελεστές σ ´έναν από τους δύο αγνώστους προκειμένου να τον απαλείψουμε
|
Για να απαλείψουμε τον άγνωστο x, πολλαπλασιάζουμε τα μέλη της πρώτης εξίσωσης με το -2 και της δεύτερης με το 3, οπότε έχουμε:

|
- Προσθέτουμε κατά μέλη τις δύο εξισώσεις, οπότε προκύπτει εξίσωση με έναν άγνωστο την οποία και λύνουμε.
|
 |
- Αντικαθιστούμε την τιμή του αγνώστου που βρήκαμε σε μία από τις δύο εξισώσεις του συστήματος, οπότε βρίσκουμε την τιμή και του άλλου αγνώστου.
|
Αφού y = 2, η εξίσωση 3x + 5y = 1 γράφεται:
3x + 5·2 = 17 ή 3x + 10 = 1
3x = -9 ή x = -3
|
- Προσδιορίζουμε τη λύση του συστήματος.
|
Άρα η λύση του συστήματος είναι x = -3, y = 2, δηλαδή το ζεύγος (x, y) = (-3, 2) |
 |
|
1
Να βρεθούν δύο παραπληρωματικές γωνίες, αν η μία από αυτές είναι μεγαλύτερη από το τριπλάσιο της άλλης κατά 12º.
Μικροπείραμα 
Λύση
Αν ω, φ είναι οι δύο παραπληρωματικές γωνίες, τότε
ω + φ = 180º. Αν ω είναι η μεγαλύτερη, τότε έχουμε και ω = 3φ + 12º. Για να βρούμε τις γωνίες ω, φ λύνουμε το σύστημα αυτών των εξισώσεων.

Άρα οι ζητούμενες γωνίες είναι ω = 138º και φ = 42º.
2
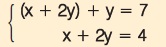
Να λυθεί το σύστημα
Λύση
Αντικαθιστούμε το x + 2y με 4 στην πρώτη εξίσωση του συστήματος, οπότε έχουμε:

Άρα η λύση του συστήματος είναι x = -2, y = 3, δηλαδή το ζεύγος (x, y) = (-2, 3).
3
Να λυθεί το σύστημα 
Λύση
Για να απλουστευθούν οι εξισώσεις του συστήματος, κάνουμε απαλοιφή παρονομαστών και τις απαιτούμενες πράξεις, οπότε έχουμε:

Οι συντελεστές του αγνώστου y είναι αντίθετοι, οπότε προσθέτοντας κατά μέλη
έχουμε:
11x + 4x = 8 + 37 ή 15x = 45 ή x = 3.
Αντικαθιστούμε την τιμή x = 3 στη δεύτερη εξίσωση και έχουμε:
4·3 + 5y = 37 ή 12 + 5y = 37 ή 5y = 25 ή y = 5.
Άρα η λύση του συστήματος είναι x = 3, y = 5, δηλαδή το ζεύγος (x, y) = (3, 5).
4
Ο κερματοδέκτης ενός μηχανήματος πώλησης αναψυκτικών δέχεται κέρματα των 50 λεπτών και του 1 ευρώ. Όταν ανοίχτηκε, διαπιστώθηκε ότι περιείχε 126 κέρματα συνολικής αξίας 90 ευρώ. Πόσα κέρματα υπήρχαν από κάθε είδος;
Λύση
Αν x ήταν τα κέρματα των 50 λεπτών και y ήταν τα κέρματα του 1 ευρώ, τότε έχουμε την εξίσωση
x + y = 126 (1).
H συνολική αξία των κερμάτων σε ευρώ ήταν
0,50·x + 1·y, οπότε έχουμε την εξίσωση
0,50·x + 1·y = 90 (2).
Λύνουμε το σύστημα των εξισώσεων (1) και (2):
Με πρόσθεση κατά μέλη έχουμε y - 2y = 126 - 180 ή
-y = -54 ή y = 54.
Αντικαθιστούμε την τιμή y = 54 στην πρώτη εξίσωση και έχουμε:
x + 54 = 126 ή x = 126 - 54 ή x = 72.
Άρα υπήρχαν 72 κέρματα των 50 λεπτών και 54 κέρματα του 1 ευρώ.
|
1
Να βρείτε ποιο από τα παρακάτω ζεύγη είναι λύση
του συστήματος

α) (2, 4) β) (7, -1) γ) (6, 2) δ) (5, 1)
2
Για την επίλυση του συστήματος
με τη μέθοδο της αντικατάστασης είναι προτιμότερο
να λύσουμε:
α) την πρώτη εξίσωση ως προς x;
β) την πρώτη εξίσωση ως προς y;
γ) τη δεύτερη εξίσωση ως προς x;
δ) τη δεύτερη εξίσωση ως προς y;
3
Αν στο σύστημα εφαρμόσουμε τη
μέθοδο των αντιθέτων συντελεστών ποια από τις
παρακάτω εξισώσεις προκύπτει;
α) 3x = -1 β) 2x = -9 γ) 5x = -10 δ) 5x = 10
4
Με ποιους αριθμούς πρέπει να πολλαπλασιάσουμε τα μέλη κάθε εξίσωσης για να προκύψουν αντίθετοι συντελεστές στον άγνωστο y σε κάθε σύστημα;

5
Με ποια μέθοδο είναι προτιμότερο να λύσουμε καθένα από τα παρακάτω συστήματα; 
6
Σε καθένα από τα παρακάτω συστήματα

αν εφαρμόσουμε τη μέθοδο των αντιθέτων συντελεστών, τότε απαλείφονται και οι δύο άγνωστοι. Ποιο συμπέρασμα προκύπτει για καθένα από τα συστήματα;
|
1
Να λύσετε τα συστήματα:
2
Να λύσετε τα συστήματα:
3
Να λύσετε τα συστήματα:
4
Να λύσετε τα συστήματα:

5
Να λύσετε τα συστήματα:

6
Να λύσετε τα συστήματα:
7
Να βρείτε το κοινό σημείο των ευθειών
ε1 : 2x + 5y = 10 και ε2 : x - y = 1.
8
 Οι ευθείες:
ε1 : 2x - 3y = -14
ε2 : x + y = -2
ε3 : 3x - y = 14
τέμνονται έξω από το χαρτί σχεδίασης. Μπορείτε να βρείτε τις συντεταγμένες των κοινών σημείων τους;
9
Αν 3 + 3 + 3 + …+ 3 + 5 + 5 + 5 + + … + 5 = 410 και το πλήθος των προσθετέων του πρώτου μέλους είναι 100, να βρείτε πόσες φορές χρησιμοποιήθηκε ο αριθμός 3 και πόσες φορές ο αριθμός 5.
10
Αν το σύστημα έχει ως λύση x = 1
και y = 2, να βρείτε τις τιμές των αριθμών α, β.
11
Η ευθεία με εξίσωση αx + y = β διέρχεται από τα σημεία Α(1, 2) και Β(-3, -2). Να βρείτε τις τιμές των α, β.
12
Να βρείτε τους αριθμούς λ, μ, ώστε η εξίσωση
x2 + (λ - μ)x + μ - 2λ = 0 να έχει ρίζες τους αριθμούς -1 και 3.
13
 Στο πάνω μέρος ενός
τοίχου μήκους 180 cm
έχουν τοποθετηθεί
πράσινα και γαλάζια
διακοσμητικά τούβλα σε
δύο σειρές. Να υπολογίσετε
το μήκος κάθε πράσινου και γαλάζιου τούβλου.
Μικροπείραμα 
14
 Συσκευάσαμε 2,5 τόνους ελαιόλαδου σε
800 δοχεία των 2 και 5 κιλών. Να βρείτε
πόσα δοχεία χρησιμοποιήσαμε από
κάθε είδος.
15
O μέσος όρος της βαθμολογίας ενός μαθητή στη Φυσική και τη Χημεία κατά το πρώτο τρίμηνο ήταν 16. Στο δεύτερο τρίμηνο ο βαθμός της Φυσικής μειώθηκε κατά 2 μονάδες, ο βαθμός της Χημείας αυξήθηκε κατά 4 μονάδες με αποτέλεσμα οι δύο βαθμοί να γίνουν ίσοι. Ποιους βαθμούς είχε ο μαθητής σε καθένα από τα δύο μαθήματα κατά το πρώτο τρίμηνο;
16
Τα κέντρα δύο κύκλων που εφάπτονται εσωτερικά απέχουν 12 cm. Αν οι κύκλοι μετατοπιστούν έτσι ώστε να εφάπτονται εξωτερικά, τότε τα κέντρα του απέχουν 58 cm. Να βρείτε τις ακτίνες των δύο κύκλων.
Μικροπείραμα 
17
Αν οι μαθητές ενός τμήματος καθίσουν ανά ένας σε κάθε θρανίο, τότε θα μείνουν όρθιοι 8 μαθητές, ενώ αν καθίσουν ανά δύο θα μείνουν κενά 4 θρανία. Να βρείτε πόσοι είναι οι μαθητές και πόσα τα θρανία.
Μικροπείραμα 
18
Μια ποτοποιία παρασκεύασε 400 λίτρα ούζο περιεκτικότητας 38% vol, αναμειγνύοντας δύο ποιότητες με περιεκτικότητες 32% vol και 48% vol αντίστοιχα. Πόσα λίτρα από κάθε ποιότητα χρησιμοποίησε;
Μικροπείραμα 
19
 Ένα αυτοκίνητο μετά την ενεργοποίηση των φρένων του συνέχιζε να κινείται με ταχύτητα υ = υ0 −αt, όπου t ο χρόνος που μεσολάβησε από τη στιγμή του φρεναρίσματος.
Αν 2 sec μετά το φρενάρισμα το αυτοκίνητο είχε ταχύτητα 12m/sec και 2sec αργότερα είχε ταχύτητα 4 m/sec, να βρείτε την αρχική ταχύτητα υ0 και την επιβράδυνση α. Σε πόσο χρόνο από τη στιγμή του φρεναρίσματος θα σταματήσει το αυτοκίνητο;
20
 Από ένα σταθμό διοδίων
πέρασαν 945 αυτοκίνητα
και μοτοσικλέτες και
εισπράχτηκαν 1810 €
Αν ο οδηγός κάθε
αυτοκινήτου πλήρωσε
2 € και ο οδηγός κάθε μοτοσικλέτας πλήρωσε 1,2 €, να βρείτε πόσα ήταν τα αυτοκίνητα και πόσες οι μοτοσικλέτες.
Μικροπείραμα 
21
Σ ´ ένα τηλεοπτικό παιχνίδι σε κάθε παίκτη υποβάλλονται 10 ερωτήσεις και για κάθε σωστή απάντηση προστίθενται βαθμοί, ενώ για κάθε λανθασμένη απάντηση αφαιρούνται βαθμοί. Ένας παίκτης έδωσε 7 σωστές απαντήσεις και συγκέντρωσε 64 βαθμούς, ενώ ένας άλλος έδωσε 4 σωστές απαντήσεις και συγκέντρωσε 28 βαθμούς. Πόσους βαθμούς παίρνει ένας παίκτης για κάθε σωστή απάντηση και πόσοι βαθμοί τού αφαιρούνται για κάθε λανθασμένη απάντηση;
|
1
Να επιλύσετε γραφικά το σύστημα , όπου k πραγματικός αριθμός.;
Μικροπείραμα 
2
Av οι ευθείες ε1 : (λ + μ)x + y = 7 και
ε2: x + (λ + 3μ)y = 1 τέμνονται στο σημείο Α(2, 1), να υπολογίσετε τις τιμές των λ και μ.
3
Αν τα συστήματα ,
και έχουν την ίδια λύση, να βρείτε
τους αριθμούς α, β.
4
Να υπολογίσετε τις τιμές των x, y όταν:
α) (x + y - 2)2 + (2x - 3y + 1)2 = 0
β) 2x2 + y2 - 2xy + 4x + 4 = 0
5
Να λύσετε τα συστήματα:
6
Να βρείτε δύο αριθμούς, που έχουν άθροισμα 100 και αν διαιρέσουμε το μεγαλύτερο με το μικρότερο, τότε θα προκύψει πηλίκο 4 και υπόλοιπο 15.
7
Αν η εξίσωση (2λ - κ - 3)x =κ - λ + 1 είναι αόριστη, να βρείτε τους αριθμούς κ, λ.
8
Τα κέντρα δύο κύκλων που εφάπτονται εξωτερικά απέχουν 18 cm. Αν τα εμβαδά των δύο κύκλων διαφέρουν κατά 72π cm2, να βρείτε τις ακτίνες των δύο κύκλων.
9
Να βρείτε τις ηλικίες δύο αδελφών, αν σήμερα διαφέρουν κατά 5 χρόνια, ενώ μετά από 11 χρόνια οι
ηλικίες τους θα έχουν λόγο

10
Σ ´ ένα ταξίδι με πλοίο, το εισιτήριο της Α΄ θέσης κοστίζει 18 € και της Β΄ θέσης κοστίζει 6 € λιγότερα. Αν σ ´ ένα ταξίδι κόπηκαν 350 εισιτήρια συνολικής αξίας 4500 €, να βρείτε πόσα εισιτήρια κόπηκαν από κάθε κατηγορία.
11
Να βρείτε ένα διψήφιο αριθμό, που το άθροισμα των ψηφίων του είναι ίσο με 10 και αν εναλλάξουμε τα ψηφία του, τότε θα προκύψει αριθμός κατά 18 μικρότερος.
12
Αν διαιρέσουμε ένα διψήφιο αριθμό με το άθροισμα των ψηφίων του, βρίσκουμε πηλίκο 6 και υπόλοιπο 3. Αν εναλλάξουμε τα ψηφία του και τον αριθμό που προκύπτει τον διαιρέσουμε με το άθροισμα των ψηφίων του, βρίσκουμε πηλίκο 4 και υπόλοιπο 9. Ποιος είναι ο αρχικός διψήφιος αριθμός;
13
Αν ελαττώσουμε το μήκος ενός ορθογωνίου κατά 2 m και αυξήσουμε το πλάτος του κατά 5 m, το εμβαδόν του αυξάνεται κατά 94 m2. Αν όμως, αυξήσουμε το μήκος του κατά 4 m και ελαττώσουμε το πλάτος του κατά 6 m, το εμβαδόν του ελαττώνεται κατά 104 m2. Ποιες είναι οι διαστάσεις του ορθογωνίου;
14
 Οι πόλεις Α και Β απέχουν 55 km. Ένα αυτοκίνητο ξεκινά από την πόλη Α και με μέση ταχύτητα 80 km/h κινείται προς την πόλη Β. Δεκαπέντε λεπτά μετά την εκκίνησή του ένα άλλο αυτοκίνητο ξεκινά από την πόλη Β και με μέση ταχύτητα 60 km/h κινείται προς την πόλη Α. Πόσο χρόνο κινήθηκε κάθε αυτοκίνητο μέχρι τη συνάντησή τους;
15
Δύο αυτοκίνητα κινούνται με σταθερές ταχύτητες και απέχουν μεταξύ τους 45 km. Αν κινούνται προς την ίδια κατεύθυνση θα συναντηθούν μετά από 3 ώρες, ενώ αν κινούνται σε αντίθετη κατεύθυνση, θα συναντηθούν σε 20 λεπτά. Με ποια ταχύτητα κινείται κάθε αυτοκίνητο;
16
 Ένα τρένο κινείται με
σταθερή ταχύτητα. Ο χρόνος, που μεσολαβεί από
τη στιγμή που θα εισέλθει
σε μια σήραγγα μήκους
180 m μέχρι τη στιγμή
που και το τελευταίο του βαγόνι θα εξέλθει απ ´ αυτή, είναι 12 sec. Σε μια δεύτερη σήραγγα μήκους 930 m ο αντίστοιχος χρόνος που μεσολαβεί είναι 42 sec. Να βρείτε την ταχύτητα και το μήκος του τρένου.
17
Οι αντιστάσεις R1, R2, αν συνδεθούν παράλληλα, έχουν ολική αντίσταση 2,4 Ω. Αν η αντίσταση R2 συνδεθεί παράλληλα με αντίσταση 12 Ω, τότε η ολική τους αντίσταση είναι R1, Να βρείτε τις τιμές των αντιστάσεων R1, R2.
|
- Γραμμική εξίσωση με δύο αγνώστους x, y ονομάζεται κάθε εξίσωση της μορφής αx + βy = γ,
π.χ. 3x + 2y = 7.
- Λύση της γραμμικής εξίσωσης αx + βy = γ ονομάζεται κάθε διατεταγμένο ζεύγος αριθμών (x, y) που την επαληθεύει.
Π.χ. το διατεταγμένο ζεύγος (1, 2) είναι λύση της εξίσωσης 3x + 2y = 7, αφού 3·1 + 2·2 = 7.
- Η γραμμική εξίσωση αx + βy = γ παριστάνει ευθεία ε, αν α ≠ 0 ή β ≠ 0.

- Αν ένα σημείο ανήκει σε μια ευθεία, τότε οι συντεταγμένες του επαληθεύουν την εξίσωση της ευθείας. Π.χ. αν το σημείο Μ(3, 4) ανήκει στην ευθεία ε :αx - y = 0, τότε ισχύει 3·α - 4 = 0.
- Αν οι συντεταγμένες ενός σημείου επαληθεύουν την εξίσωση μιας ευθείας, τότε το σημείο ανήκει στην ευθεία αυτή. Π.χ. το σημείο Μ(0, -2) ανήκει στην ευθεία ε : 4x - 5y = 10, αφού 4·0 - 5·(-2) = 10.
- Η γενική μορφή ενός γραμμικού συστήματος δύο εξισώσεων με δύο αγνώστους x, y είναι:
-
Λύση του γραμμικού συστήματος (Σ) είναι κάθε διατεταγμένο ζεύγος αριθμών (x, y) που επαληθεύει και τις δύο εξισώσεις του. Π.χ. το διατεταγμένο ζεύγος (2, -1) είναι λύση του συστήματος
- Ένα γραμμικό σύστημα με δύο αγνώστους x, y λύνεται με τους εξής τρόπους:
α) Γραφικά
Στο ίδιο σύστημα αξόνων παριστάνουμε τις εξισώσεις του συστήματος με δύο ευθείες ε1, ε2.

β) Αλγεβρικά
Χρησιμοποιούμε τη μέθοδο της αντικατάστασης ή των αντιθέτων συντελεστών προκειμένου να απαλείψουμε τον έναν από τους δύο αγνώστους του συστήματος και να καταλήξουμε σε μια εξίσωση 1ου βαθμού με έναν άγνωστο.
|
|