- Μαθαίνω τι λέγεται γραμμικό
σύστημα και πώς επιλύεται γραφικά.
Αν έχουμε δύο γραμμικές εξισώσεις με δύο αγνώστους x, y,
π.χ. x + y = 5 και 2x + y = 8
και αναζητούμε το ζεύγος των αριθμών (x, y) που είναι ταυτόχρονα λύση και των δύο εξισώσεων, τότε λέμε ότι έχουμε να επιλύσουμε ένα γραμμικό σύστημα δύο εξισώσεων με δύο αγνώστους x και y.
Παρατηρούμε ότι το ζεύγος των αριθμών (3, 2) επαληθεύει και τις δύο εξισώσεις
του γραμμικού
συστήματος 
Στην περίπτωση αυτή λέμε ότι το ζεύγος (3, 2) είναι λύση του συστήματος.
Γενικά
Λύση γραμμικού συστήματος δύο εξισώσεων με δύο αγνώστους x και
y ονομάζεται κάθε ζεύγος (x, y) που επαληθεύει τις εξισώσεις του.
Πώς όμως μπορούμε να επιλύσουμε ένα γραμμικό σύστημα δύο εξισώσεων με δύο αγνώστους x, y; Δηλαδή πώς μπορούμε να προσδιορίσουμε ζεύγος
(x, y) που να είναι λύση του;
Ένα γραμμικό σύστημα δύο εξισώσεων με δύο αγνώστους x, y επιλύεται γραφικά αλλά και αλγεβρικά.
Σύστημα με μοναδική λύση
 Για τη γραφική επίλυση ενός γραμμικού συστήματος
π.χ. του εργαζόμαστε ως εξής:
Σχεδιάζουμε στο ίδιο
σύστημα αξόνων τις
ευθείες
ε1 : x + y = 5
και
ε2 : 2x + y = 8,
οι
οποίες όπως παρατηρούμε στο παρακάτω
σχήμα τέμνονται στο
σημείο Α.
Προσδιορίζουμε τις
συντεταγμένες (3, 2)
του κοινού σημείου Α
των ευθειών αυτών.
Επειδή το σημείο Α(3, 2) ανήκει και στις δύο ευθείες, οι συντεταγμένες του x = 3 και y = 2 επαληθεύουν και τις δύο εξισώσεις του συστήματος, άρα το ζεύγος (3, 2) είναι λύση του συστήματος. Οι ευθείες όμως ε1, ε2 δεν έχουν άλλο κοινό σημείο, οπότε και το σύστημα δεν έχει άλλη λύση. Αυτό σημαίνει ότι το ζεύγος (3, 2) είναι η μοναδική λύση του συστήματος.
Μικροπείραμα 
Αδύνατο σύστημα
 Για να επιλύσουμε το σύστημα

σχεδιάζουμε τις ευθείες
ε1 : 2x - 3y = 6 και
ε2 : 4x - 6y = -24,
οι
οποίες όπως παρατηρούμε στο παρακάτω
σχήμα είναι παράλληλες.
Αυτό σημαίνει ότι δεν
έχουν κοινό σημείο,
οπότε το σύστημα δεν
έχει λύση. Στην περίπτωση αυτή λέμε ότι το σύστημα είναι αδύνατο.
Αόριστο σύστημα
 Για να επιλύσουμε το σύστημα

σχεδιάζουμε τις ευθείες
ε1 : 3x - y = 6 και
ε2 : 6x - 2y = 12,
οι οποίες, όπως παρατηρούμε στο παρακάτω σχήμα, συμπίπτουν (ταυτίζονται). Άρα έχουν όλα τα σημεία τους κοινά και επομένως το σύστημα έχει άπειρες λύσεις. Στην περίπτωση αυτή λέμε ότι το σύστημα είναι αόριστο.
Μικροπείραμα 
|
1
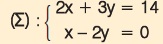
α) Να επιλυθεί γραφικά το σύστημα
β) Να βρεθεί το εμβαδόν του τριγώνου που σχηματί-
ζουν οι ευθείες ε1: 2x + 3y = 14, ε2: x - 2y = 0 και ο
άξονας x΄x.
Λύση
α) Για να σχεδιάσουμε την ευθεία ε1 : 2x + 3y = 14 προσδιορίζουμε δύο σημεία της.
Για x = 1 έχουμε 2 + 3y = 14 ή 3y = 12, οπότε y = 4.
Για x = 7 έχουμε 2·7 + 3y = 14 ή 3y = 0, οπότε y = 0. Άρα η ευθεία ε1 διέρχεται από τα σημεία Α(1, 4) και Β(7, 0).
Για να σχεδιάσουμε την ευθεία ε2: x - 2y = 0 προσδιορίζουμε δύο σημεία της.
Για x = 0 έχουμε -2y = 0, οπότε y = 0.
Για x = 2 έχουμε 2 - 2y = 0 ή -2y = -2, οπότε y = 1.
Άρα η ευθεία ε2> διέρχεται από τα σημεία 0(0, 0) και
Γ(2, 1).
Παρατηρούμε ότι οι ευθείες ε1, ε2 έχουν ένα μόνο κοινό σημείο το Μ(4, 2), οπότε το σύστημα (Σ) έχει μία λύση την (x, y) = (4, 2).
β) Το τρίγωνο που σχηματίζουν οι ευθείες ε1, ε2 και ο άξονας x΄x είναι το ΟΜΒ, το οποίο έχει βάση ΟΒ = 7 και ύψος ΜΔ = 2.
Άρα το εμβαδόν του είναι
τετραγωνικές μονάδες.
2
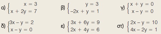
Να σχεδιάσετε τις ευθείες:
ε1 : x - y = 0, ε2 : x + y = 0, ε3 : -x + y = -3.
Πόσες λύσεις έχει καθένα από τα παρακάτω
συστήματα:

Λύση
 Για να σχεδιάσουμε την ευθεία ε1 : x - y = 0 προσδιορίζουμε δύο σημεία της.
Για x = 0 έχουμε y = 0 και για x = 1 έχουμε y = 1.
Άρα η ευθεία ε1 διέρχεται από τα σημεία
Ο(0, 0) και Α(1, 1).
Για να σχεδιάσουμε την ευθεία ε2 : x + y = 0 προσδιορίζουμε δύο σημεία της.
Για x = 0 έχουμε y = 0 και για x = -1 έχουμε y = 1.
Άρα η ευθεία ε2 διέρχεται από τα σημεία
Ο(0, 0) και Β(-1, 1).
Σχεδιάζουμε και την ευθεία ε3 : -x + y = -3.
Για x = 0 έχουμε y = -3 και για y = 0 έχουμε x = 3.
Άρα η ευθεία ε3 διέρχεται από τα σημεία
Γ(0, -3) και Δ(3, 0).
Το σύστημα (Σ1) έχει μοναδική λύση την (0, 0), αφού οι ευθείες ε1 και ε2 τέμνονται στο σημείο Ο(0, 0), ενώ το σύστημα (Σ2) είναι αδύνατο, αφού οι ευθείες ε1 και ε2 είναι παράλληλες.
|
1
Να επιλέξετε τη σωστή απάντηση.
Το σύστημα έχει ως λύση τις συντεταγμένες του σημείου:
α) Α(-3, 2) β) Β(1, -1) γ) Γ(1, -4) δ) Δ(2, -3)
2
Αν οι εξισώσεις ενός γραμμικού συστήματος παριστάνονται με τις ευθείες ε1 και ε2, να συμπληρώσετε τον παρακάτω πίνακα αντιστοιχίζοντας σε κάθε ζεύγος ευθειών της στήλης Α, το σωστό συμπέρασμα από τη στήλη Β.
| Στήλη Α |
Στήλη Β |
| α. |
Οι ευθείες ε1, ε2 τέμνονται. |
1. |
To σύστημα είναι αόριστο. |
| β. |
Οι ευθείες ε1, ε2 είναι παράλληλες |
2. |
Το σύστημα έχει μία μόνο λύση. |
| γ. |
Οι ευθείες ε1, ε2 συμπίπτουν. |
3. |
Το σύστημα είναι αδύνατο. |
|
|
3
 Με τη βοήθεια του παρακάτω σχήματος να βρείτε τη λύση σε καθένα από τα παρακάτω συστήματα.
|
3
 Στο παρακάτω σχήμα φαίνεται το διάγραμμα ταχύτητας - χρόνου δύο αυτοκινήτων Α και Β. Να βρείτε:
α) Την αρχική ταχύτητα κάθε αυτοκινήτου.
β) Σε πόσο χρόνο μετά την εκκίνησή τους τα δύο αυτοκίνητα θα έχουν την ίδια ταχύτητα και ποια θα είναι αυτή;
4
 Ένας φίλαθλος για να παρακολουθήσει τους αγώνες μιας ομάδας έχει τις εξής δυνατότητες:
− Να πληρώνει 20 € για κάθε αγώνα που παρακολουθεί.
− Να πληρώσει 60 € ως αρχική συνδρομή και για κάθε αγώνα που παρακολουθεί να πληρώνει 10 €.
− Να πληρώσει 300 € και να παρακολουθεί όσους αγώνες επιθυμεί.
Η σχέση που συνδέει το πλήθος των αγώνων που θα παρακολουθήσει ο φίλαθλος με το χρηματικό ποσό που θα πληρώσει σε κάθε περίπτωση παριστάνεται με σημεία μιας από τις ευθείες ε1, ε2, ε3.
- Να αντιστοιχίσετε κάθε περίπτωση σε μια από τις τρεις ευθείες.
- Πόσους αγώνες πρέπει να παρακολουθήσει ένας φίλαθλος, ώστε τα χρήματα που θα πληρώσει να είναι τα ίδια στη δεύτερη και τρίτη περίπτωση;
- Αν ο φίλαθλος παρακολούθησε τελικά 12 αγώνες, ποια περίπτωση ήταν η πιο συμφέρουσα;
- Αν παρακολούθησε μόνο 15 αγώνες και δεν είχε επιλέξει την πιο συμφέρουσα περίπτωση, πόσα ευρώ ζημιώθηκε;
- Πότε είναι πιο συμφέρουσα κάθε περίπτωση για τον φίλαθλο, εάν αυτός γνωρίζει εκ των προτέρων πόσους αγώνες θα παρακολουθήσει;
Μικροπείραμα 
|
|