Χημεία (Γ Λυκείου Θετικών Σπουδών) - Βιβλίο Μαθητή
5.4 Επίδραση κοινού ιόντος 5.6 Δείκτες - Ογκομέτρηση Επιστροφή στην αρχική σελίδα του μαθήματος

(5.5) Ρυθμιστικά διαλύματα

Ορισμός - Υπολογισμός pH ρυθμιστικού διαλύματος

  • Ρυθμιστικά διαλύματα ονομάζονται διαλύματα των οποίων το pH παραμείνει πρακτικά σταθερό, όταν προστεθεί μικρή αλλά υπολογίσιμη ποσότητα ισχυρών οξέων ή βάσεων. Επίσης μπορούν μέσα σε όρια να αραιωθούν, χωρίς να μεταβληθεί το pH τους. Τα διαλύματα αυτά περιέχουν ένα ασθενές οξύ και τη συζυγή του βάση (ΗΑ /Α-) ή μια ασθενή βάση και το συζυγές της οξύ (Β / ΒΗ+).
Παραδείγματα ρυθμιστικών διαλυμάτων είναι: διάλυμα HF και NaF (HF/ F-) ή διάλυμα NH4Cl και NH3 (NH3 / NH4+)
Σε κάθε ρυθμιστικό διάλυμα που περιέχει ένα συζυγιακό σύστημα οξέος-βάσης, όπως έχουμε δει, ισχύει η σχέση:
εικόνα

Η εξίσωση αυτή με λογαρίθμιση οδηγεί: εικόνα
Η σχέση αυτή, είναι γνωστή ως εξίσωση των Henderson και Hasselbalch, και αποτελεί τη βάση για τον υπολογισμό του pH ενός ρυθμιστικού διαλύματος.
Η παραπάνω εξίσωση ισχύει υπό ορισμένες προϋποθέσεις π.χ. για ένα το ρυθμιστικό διάλυμα της μορφής ΗΑ/ Α- θα πρέπει:
α. η συγκέντρωση του οξέος στην κατάσταση ισορροπίας να είναι περίπου ίση με την αρχική συγκέντρωση του οξέος, δηλαδή cοξ = [ΗΑ]αρχικό
β. η συγκέντρωση της συζυγούς βάσης στην κατάσταση ισορροπίας να είναι περίπου ίση με την αρχική συγκέντρωση της βάσης, δηλαδή cβάσης = [Α-]αρχικό

Παράδειγμα 5.14
Να βρεθεί το pH ρυθμιστικού διαλύματος που περιέχει HCOOH 0,2 M και HCOONa 0,4 Μ, αν είναι γνωστό ότι Ka HCOOΗ = 2 • 10-4.
ΛΥΣΗ
Το ρυθμιστικό διάλυμα περιέχει το συζυγές ζεύγος HCOOH 0,2 M / HCOO- 0,4M και
εικόνα
Συνεπώς, pΗ = 4.

Εφαρμογή
Να βρεθεί το pH διαλύματος CH3COOH 0,5 M και CH3COONa 0,9 M, αν δίνεται Ka CH3COOH= 1,8 • 10-5.

(pH = 5)

Παρασκευές ρυθμιστικών διαλυμάτων

Μπορούμε να παρασκευάσουμε ρυθμιστικό διάλυμα της μορφής ΗΑ / Α- π.χ. HF/ NaF με τους εξής τρόπους:
1. Με ανάμιξη ασθενούς οξέος με τη συζυγή του βάση
Π.χ. προσθήκη διαλύματος HF σε διάλυμα NaF
2. Με μερική εξουδετέρωση ασθενούς οξέος από ισχυρή βάση.
Π.χ. προσθήκη x mol NaOH σε διάλυμα που περιέχει y mol HF, όπου x Αντίστοιχα, μπορούμε να παρασκευάσουμε ένα ρυθμιστικό διάλυμα της μορφής Β/ ΒΗ+ π.χ. ΝΗ3/ NH4Cl με τους εξής τρόπους:
1. Με ανάμιξη ασθενούς βάσης με το συζυγές της οξύ
π.χ. προσθήκη διαλύματος ΝΗ3 με διάλυμα NH4Cl.
2. Με ανάμιξη περίσσειας ασθενούς βάσης με ισχυρό οξύ π.χ. προσθήκη x mol NH3 σε διάλυμα y mol HCl, όπου y Θα πρέπει να παρατηρήσουμε, ότι οι συγκεντρώσεις στο τελικό διάλυμα θα πρέπει να είναι σχετικά υψηλές, ώστε το διάλυμα να έχει ικανοποιητική ρυθμιστική ικανότητα Δηλαδή, μεγάλη δηλαδή αντοχή στις μεταβολές του pH που προκαλούνται λόγω προσθήκης οξέος, βάσης ή νερού.

Παράδειγμα 5.15
Πόσα λίτρα διαλύματος NaOH 0,4 M πρέπει να προσθέσουμε σε 2 L διαλύματος HF 0,2 M για να παρασκευάσουμε ρυθμιστικό με pH = 4. Κατά την ανάμιξη θεωρούμε ότι δε μεταβάλλεται ο συνολικός όγκος. Δίνεται Ka HF = 10-4.
ΛΥΣΗ
Προφανώς το τελικό διάλυμα, αφού είναι ρυθμιστικό, θα περιέχει NaF και HF που περισσεύει. Άρα το NaOH αντιδρά όλο. Αν είναι x L ο όγκος του διαλύματος NaOH 0,4 M, τότε αρχικά έχουμε:
0,4 x mol NaOH και 2 • 0,2 mol = 0,4 mol HF.
αντίδραση HF + NaOH → NaF + H2O
αρχικά / mol 0,4 0,4x  
αντιδρούν -
παράγονται
0,4x
 
0,4x
 

0,4x
τελικά / mol (0,4-0,4x) 0 0,4x

Το τελικό διάλυμα έχει όγκο (2 + x) L, συνεπώς:
εικόνα
οπότε x=5, άρα πρέπει να προσθέσουμε 0,5 L διαλύματος NaOH 0,4 Μ.

Εφαρμογή
Ποιος όγκος διαλύματος HCl 0,2 M πρέπει να αναμιχθεί με 500 mL διαλύματος ΝΗ3 0,6 Μ για να πάρουμε ρυθμιστικό διάλυμα με pH=9.
Δίνονται Kb NH3 =10-5 και Kw = 10-14.

(1 L)

Πως δρουν τα ρυθμιστικά διαλύματα

Τα ρυθμιστικά διαλύματα, όπως έχουμε αναφέρει:
1.Διατηρούν το pH τους πρακτικά σταθερό όταν προστίθενται σε αυτά μικρές αλλά υπολογίσιμες ποσότητες ισχυρών οξέων ή βάσεων
2. Διατηρούν το pH τους πρακτικά σταθερό, κατά την αραίωσή τους σε ορισμένα όρια. Αν υπερβούμε αυτά τα όρια τότε η τιμή του pH αλλάζει σημαντικά.
Στο παρακάτω σχήμα συγκρίνεται η ρυθμιστική ικανότητα, η αντίσταση δηλαδή στη μεταβολή του pH, ενός ρυθμιστικού διαλύματος 1 Μ CH3COOH / 1Μ CH3COONa και του καθαρού νερού.

εικόνα

ΣΧΗΜΑ 5.9 Μεταβολή pH κατά την προσθήκη 0,01 mol H3O+ ή 0,01mol ΟΗ-
α. σε 1 L καθαρού νερού και
β. σε 1 L ρυθμιστικού διαλύματος 1 Μ CH3COOH / 1Μ CH3COONa

Προσθήκη ισχυρού οξέος ή βάσης σε ρυθμιστικό διάλυμα

  • Ένα ρυθμιστικό διάλυμα περιέχει ένα συζυγές ζεύγος οξύ-βάση. Η όξινη μορφή αυτού του ζεύγους εξουδετερώνει τις προστιθέμενες βάσεις, ενώ η βασική μορφή τα οξέα.
Για να καταλάβουμε καλύτερα τη δράση των ρυθμιστικών διαλυμάτων παίρνουμε δύο χαρακτηριστικά παραδείγματα:
1) Ρυθμιστικό διάλυμα CH3COOH και CH3COONa
Στο διάλυμα περιέχεται το ασθενές οξύ CH3COOH και η συζυγής βάση CH3COO- , που προκύπτει από την πλήρη διάσταση του CH3COONa.
α. Αν στο διάλυμα προσθέσουμε ποσότητα ισχυρού οξέος, π.χ. HCl, τότε τα Η3Ο+ που προκύπτουν από την πλήρη ιοντισμό του HCl αντιδρούν πρακτικά πλήρως με τη βάση CH3COO-, σύμφωνα με την εξίσωση:
CH3COO- + H3O+ → CH3COOH + H2O. Με άλλα λόγια τα ιόντα H3O+ που προσθέσαμε δεσμεύονται σχεδόν πλήρως, έτσι ώστε το ρυθμιστικό διάλυμα να διατηρεί πρακτικά σταθερό το pH του.
β. Ανάλογα αν προσθέτουμε μια ισχυρή βάση π.χ. NaOH, τα ΟΗ- που προκύπτουν από την πλήρη διάσταση του NaOH δεσμεύονται πρακτικά πλήρως από το CH3COOH, σύμφωνα με τη χημική εξίσωση:
CH3COOH + OH- → H2O + CH3COO- . Έτσι διατηρείται και πάλι πρακτικά σταθερό το pH του διαλύματος.
Ωστόσο, η ποσότητα HCl ή NaOH που προσθέτουμε θα πρέπει να είναι σημαντικά μικρότερη από τις ποσότητες CH3COONa ή CH3COOH, ώστε να μη δεσμευθεί μεγάλη ποσότητα από κάποιο συστατικό του ρυθμιστικού και το διάλυμα χάσει τη ρυθμιστική του ικανότητα.
2) Ρυθμιστικό διάλυμα ΝΗ3 και ΝΗ4Cl
α. Αν στο διάλυμα προσθέσουμε ένα ισχυρό οξύ, π.χ. HCl, τότε τα Η3Ο+ που προκύπτουν από την πλήρη ιοντισμό του HCl αντιδρούν πρακτικά πλήρως με τη βάση ΝΗ3 : Η3Ο+ + ΝΗ3 → ΝΗ4+ + Η2Ο
β. Αναλογικά, αν προσθέσουμε μια ισχυρή βάση, π.χ. NaOH, τα ΟΗ- που προκύπτουν από την πλήρη διάσταση του NaOH αντιδρούν πρακτικά πλήρως με το NH4+: NH4+ + OH- → NH3 + H2O
Διαγραμματικά μπορούμε να δείξουμε την ικανότητα που έχει ένα ρυθμιστικό διάλυμα να διατηρεί σταθερό το pH του με το παρακάτω σχήμα:
εικόνα

ΣΧΗΜΑ 5.10 Διαγραμματική απεικόνιση της ρυθμιστικής ικανότητας ενός ρυθμιστικού διαλύματος της μορφής ΗΧ / Χ-.

Αραίωση ρυθμιστικού διαλύματος

Αν έχουμε ρυθμιστικό διάλυμα: ΗΑ c1 M και NaA c2 M
τότε ισχύει, [H3O+] = Ka c1/c2
Αν αραιώσουμε το διάλυμα 10 φορές με νερό, τότε το διάλυμα που θα προκύψει θα περιέχει: ΗΑ 0,1c1 M και NaA 0,1c2 M οπότε,
[H3O+] = Ka (0,1c1) /(0.1c2) = Ka c1/c2
Παρατηρούμε δηλαδή ότι κατά την αραίωση, το pH του ρυθμιστικού διαλύματος παραμένει σταθερό. Αυτό βέβαια με την προϋπόθεση ότι ισχύουν οι προσεγγίσεις που απαιτούνται για την εφαρμογή της σχέσης:
[H3O+] = Ka cοξέος / cβάσης
Όταν, με συνεχή αραίωση, φτάσουμε στο σημείο να μη ισχύουν οι προϋποθέσεις για την εφαρμογή της παραπάνω σχέσης, τότε το διάλυμα χάνει τη ρυθμιστική του ικανότητα.

Παράδειγμα 5.16
1. Σε 100 ml H2O προσθέτουμε 0,001 mol HCl. Να υπολογιστεί η συγκέντρωση των Η3Ο+ στο Η2Ο και στο διάλυμα και να γίνει η σύγκριση μεταξύ τους.
2. Σε 100 ml διαλύματος Α που περιέχει HF 1 M και NaF 0,5 Μ προσθέτουμε 0,001 mol HCl και παίρνουμε διάλυμα Β. Να βρεθεί η συγκέντρωση Η3Ο+ στο Α και στο Β και να συγκριθούν μεταξύ τους. Δίνεται Ka HF = 10-4.
ΛΥΣΗ
1. Στο καθαρό Η2Ο και στους 25 oC γνωρίζουμε ότι [Η3Ο+] = 10-7 M .Το διάλυμα HCl έχει εικόνα
Το HCl ιοντίζεται πλήρως άρα [Η3Ο+] = 10-2 Μ. Δηλαδή, αυξήθηκε η [Η3Ο+] κατά την προσθήκη του HCl στο Η2Ο κατά 100.000 φορές.
2. Το διάλυμα A είναι ρυθμιστικό. Συνεπώς έχουμε :
εικόνα

κατά την προσθήκη του HCl γίνεται η αντίδραση:
  HCl    + NaF    → NaCl    + HF
αρχικά / mol 0,001 0,05 - 0,1
αντ. – παράγ. 0,001 0,001 0,001 0,001
τελικά / mol - 0,049 0,001 0,101

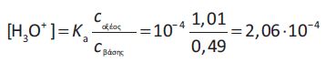
To διάλυμα Β περιέχει NaCl, που δεν επηρεάζει το pH του διαλύματος, και HF 0,101 mol και NaF 0,049 mol. Συνεπώς έχουμε:
εικόνα
Το διάλυμα Β είναι ρυθμιστικό, οπότε έχουμε:
εικόνα
Παρατηρούμε, ότι η ίδια ποσότητα HCl όταν προστίθεται σε 100 ml H2O αυξάνει τη [Η3Ο+] κατά 100.000 φορές, ενώ όταν προστίθεται σε 100 ml ρυθμιστικού διαλύματος αυξάνει τη [Η3Ο+] μόνο κατά περίπου 3%.

Εφαρμογή
Σε 1 L ρυθμιστικού διαλύματος Γ που περιέχει ΝΗ3 0,2 Μ και ΝΗ4Cl 0,4 M προσθέτουμε 1 L διαλύματος HCl 0,05 M και παίρνουμε 2 L διαλύματος Δ. Να βρεθεί η [Η3Ο+] στο Γ και στο Δ.
Δίνονται: Κb NH3 = 2.10-5 και Kw = 10-14.

3Ο+] =10-9 Μ, [Η3Ο+] = 1,5 10-9 Μ

Χρησιμότητα ρυθμιστικών

Τα ρυθμιστικά διαλύματα βρίσκουν πολλές εφαρμογές, όπως :
1. Στην αναλυτική χημεία για τη βαθμονόμηση πεχαμέτρων, ποσοτική ανάλυση κλπ.
2. Στη βιομηχανία. Πολλές χημικές και βιοχημικές διεργασίες πρέπει να γίνονται σε καθορισμένη τιμή pH (βιολογικοί καθαρισμοί, επεξεργασία δερμάτων, παραγωγή χρωμάτων, λιπασμάτων κλπ.). Αυτό διασφαλίζεται με τη χρησιμοποίηση ρυθμιστικών διαλυμάτων.
3. Στην ιατρική, βιολογία, φαρμακευτική. Στον ενόργανο κόσμο τα περισσότερα υγρά των ζώων και φυτών είναι ρυθμιστικά διαλύματα, τα οποία ρυθμίζουν τις βιοχημικές διεργασίες που λαμβάνουν χώρα. Για παράδειγμα το αίμα είναι ρυθμιστικό διάλυμα, γι’ αυτό και οι ενδοφλέβιες ενέσεις περιέχουν ρυθμιστικό διάλυμα (βλέπε «γνωρίζεις ότι…» στο τέλος του κεφαλαίου).