Εφαρμογή
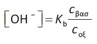
Να αποδειχθεί ότι σε διάλυμα που περιέχει ασθενή βάση Β συγκέντρωσης c βασ M και το συζυγές του οξύ BΗ + c οξ M, η συγκέντρωση των ΟΗ - δίνεται από τη σχέση: 
με την προϋπόθεση ότι ισχύει [ΟΗ-] βασ και [ΟΗ -] οξ.
Παράδειγμα 5.13
Σε 4 L διαλύματος NaOH 0,2 Μ προσθέτουμε 1 L διαλύματος HCl 0,3 Μ και παίρνουμε 5 L διαλύματος. Ποιο είναι το pH του διαλύματος ; ΛΥΣΗ
Κατά την ανάμιξη γίνεται η μονόδρομη αντίδραση:
HCl + NaOH → NaCl + H2O
Υπολογίζουμε τις ποσότητες των διαλυμένων ουσιών. Τα 4 L διαλύματος NaOH 0,2 Μ περιέχουν 0,8 mol NaOH. To 1 L διαλύματος HCl 0,3 Μ περιέχει 0,3 mol HCl. Οπότε, έχουμε:
| αντίδραση |
NaOH + HCl → NaCl + H2O |
αρχικά / mol αντιδρούν - παράγονται/ mol |
0,8 0,3 |
0,3 0,3 |
0,3 |
|
| τελικά / mol |
0,5 |
- |
0,3 |
|
To NaCl που σχηματίζεται, όπως όλα τα άλατα που προκύπτουν από εξουδετέρωση ισχυρού οξέος με ισχυρή βάση, δεν επηρεάζει τις [Η 3Ο +].
Στο τελικό διάλυμα έχουμε:  και
Το NaOH διίσταται πλήρως:
NaOH → Na + + OH -
0,1 M δίνει 0,1 Μ 0,1 Μ
Συνεπώς, [ΟΗ -] = 0,1Μ ή [Η 3Ο +] = 10 -13 Μ και pH = 13. Εφαρμογή
Σε 1 L διαλύματος ΗΝΟ 3 0,1Μ (διάλυμα Α) προσθέτουμε 0,5 L διαλύματος NaOH 0,1 Μ (διάλυμα Β) και παίρνουμε 1,5 L διαλύματος. Να υπολογιστούν:
α. Το pH του διαλύματος Α.
β. Το pH του διαλύματος Β.
γ. Η συγκέντρωση των Η 3Ο + στο τελικό διάλυμα.
Δίνεται K w = 10 -14. ( α. pH = 1 β. pH = 13 γ. [Η3Ο+] = 0,033 Μ )
|