Φυσική (Γ Λυκείου Θετικών Σπουδών) - Βιβλίο Μαθητή
ΠΡΟΒΛΗΜΑΤΑ 2 ΚΥΜΑΤΑ Επιστροφή στην αρχική σελίδα του μαθήματος

Εικόνα

ΕΥΡΕΣΗ ΤΗΣ ΤΑΧΥΤΗΤΑΣ ΚΑΙ ΤΗΣ ΕΠΙΤΑΧΥΝΣΗΣ ΣΤΗΝ ΑΠΛΗ ΑΡΜΟΝΙΚΗ ΤΑΛΑΝΤΩΣΗ ΜΕ ΤΟ ΔΙΑΦΟΡΙΚΟ ΛΟΓΙΣΜΟ

Αρμονική ταλάντωση είναι η ευθύγραμμη κίνηση στην οποία η απομάκρυνση χ, του σώματος από τη θέση ισορροπίας δίνεται από τη συνάρτηση

x=Aημωt

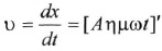
Η ταχύτητα ενός σώματος, που κινείται ευθύγραμμα, κάποια χρονική στιγμή, είναι:

Εικόνα

Το όριο αυτό, αν υπάρχει, ονομάζεται παράγωγος του χ ως προς t και το σύμβολο του είναι Εικόνα

Η ταχύτητα υ ενός σώματος που εκτελεί απλή αρμονική ταλάντωση είναι

Εικόνα                                   (1.36)

Η παράγωγος μιας σύνθετης συνάρτησης f(g(t)) είναι

Εικόνα

Οι παράγωγοι των συναρτήσεων ημ u και συν u είναι

ημ'u=συν'u            συν'u=-ημ'u

άρα [Αημωt]' = Αημ'ωt (ωt)' = Αω συνωt

και η 1.36 γίνεται        u = Αω συνωt        (1.37)

Το γινόμενο Αω είναι σταθερό, έχει διαστάσεις ταχύτητας και εκφράζει τη μέγιστη
ταχύτητα που αποκτάει το σώμα. Θέτοντας umax=Aω η 1.37 γίνεται:

u = umax συνωt

Η επιτάχυνση ενός σώματος, που κινείται ευθύγραμμα, κάποια στιγμή είναι:

Εικόνα

Το όριο αυτό είναι η παράγωγος της ταχύτητας ως προς το χρόνο (συμβολίζεται Εικόνα)
α = Εικόνα[Αω συνωt]' = Aω συν'ωt (ωt)' = -Aω2 ημωt)                         (1.38)

Το γινόμενο Αω2 είναι σταθερό, έχει διαστάσεις επιτάχυνσης και εκφράζει τη μέγιστη επιτάχυνση που αποκτά το σώμα κατά την κίνησή του. Αντικαθιστώντας Αω2= αmax η σχέση (1.38) παίρνει την πιο συνηθισμένη της μορφή

α=-αmax ημωt