- ταχύτητα αντίθετη από αυτή που είχε πριν συγκρουστεί, να υπολογίσετε το χρόνο ανάμεσα σε δύο διαδοχικές κρούσεις.
Δίνεται g=10m/s2 και π2≈10
[Απ: 0,125m, 2m/s, 1,57m/s, 0,314s ]
1.48 Σώμα Σ1, μάζας m1 = 0,3kg αναρτάται στο κάτω άκρο κατακόρυφου ελατηρίου το άλλο άκρο του οποίου είναι στερεωμένο σε ακλόνητο σημείο. Όταν το σώμα ισορροπεί η επιμήκυνση του ελατήριου είναι 0,25m. Δεύτερο σώμα Σ2, μάζας m2 = 0,45kg, βάλλεται κατακόρυφα από το έδαφος και στην πορεία του συναντάει το Σ, και συγκρούεται με αυτό. Το συσσωμάτωμα που προέκυψε από την κρούση φτάνει μέχρι τη θέση στην οποία το ελατήριο έχει το φυσικό του μήκος.
α) Ποια είναι η ταχύτητα του συσσωματώματος αμέσως μετά την κρούση;
β) Ποια είναι η μέγιστη ταχύτητα που αποκτά το συσσωμάτωμα κατά την κάθοδο του;
γ) Μετά από πόσο χρόνο, από τη στιγμή που το συσσωμάτωμα φτάνει στην ανώτερη θέση, η ταχύτητα του γίνεται, για πρώτη φορά, μέγιστη;
Δίνεται g=10m/s2
[Απ: 2m/s, 2,5m/s, 0,4s]
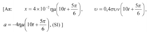
1.49 Στο κύκλωμα του σχήματος 1.47 δίνονται: E=12V, r=0, L=10mH, C=1μF, R=12Ω. Αρχικά ο μεταγωγός βρίσκεται στη θέση Α και το πηνίο διαρρέεται από σταθερό ρεύμα. Τη χρονική στιγμή t = 0 ο μεταγωγός μεταφέρεται ακαριαία στη θέση Β.
α) Ποιος οπλισμός θα αποκτήσει πρώτος θετικό φορτίο;
β) Γράψτε τις εξισώσεις που δίνουν την ένταση του ρεύματος και το φορτίο του πυκνωτή σε συνάρτηση με το χρόνο.
[Απ: α) 0 οπλισμός που συνδέεται με τον αρνητικό πόλο της πηγής β) i=0,6συν104t, q=6x10-5ημ104t (SI)]
1.50 Στο κύκλωμα του σχήματος 1.48 δίνονται Ε= 6 V, R=2Ω, L=0,2x10-3H, r=0 Αρχικά ο διακόπτης Δ είναι κλειστός, το κύκλωμα διαρρέεται από σταθερό ρεύμα και ο πυκνωτής είναι αφόρτιστος. Όταν ανοίξουμε το διακόπτη ο πυκνωτής φορτίζεται.
α) Εξηγήστε γιατί φορτίζεται ο πυκνωτής;
β) Ποια πρέπει να είναι η χωρητικότητα του πυκνωτή ώστε η τάση στους οπλισμούς του να μην υπερβεί τα 10V;
[Απ: 18 μF]
|



|