Άλγεβρα (Β Λυκείου) - Βιβλίο Μαθητή
3.8 Μετασχηματισμοί τριγωνομετρικών παραστάσεων 3.10 Επίλυση τριγώνου Επιστροφή στην αρχική σελίδα του μαθήματος

3.9 Η συνάρτηση f(x) = αημx + βσυνx

Στην προηγούμενη τάξη είδαμε ότι μια συνάρτηση της μορφής f(x) = ρημx, ρ > 0 είναι περιοδική με περίοδο 2π και έχει μέγιστο ίσο με ρ και ελάχιστο ίσο με -ρ. Η γραφική της παράσταση είναι μια ημιτονοειδής καμπύλη.

Μια τέτοια συνάρτηση είναι, π.χ., και η f(x) = 2ημx, της οποίας η γραφική παράσταση φαίνεται στο παρακάτω σχήμα:

Εικόνα

Η συνάρτηση f(x) = ρημ(x + φ)

Έστω για παράδειγμα η συνάρτηση f(x) = 2ημ (x + π4). Παρατηρούμε ότι η συνάρτηση αυτή προκύπτει από την g(x) = 2ημx αν, όπου x, θέσουμε x + π4, δηλαδή ισχύει

f(x) = g (x + π4)

Αυτό σημαίνει ότι η γραφική παράσταση της f προκύπτει από μια οριζόντια μετατόπιση της γραφικής παράστασης της g κατά π4 μονάδες, προς τα αριστερά.

Όμως η συνάρτηση g(x) = 2ημx έχει περίοδο 2π, μέγιστο ίσο με 2 και ελάχιστο ίσο με - 2.

Επομένως η συνάρτηση f είναι περιοδική με περίοδο 2π και έχει μέγιστο ίσο με 2 και ελάχιστο ίσο με -2.

Ο σταθερός αριθμός π4 λέγεται διαφορά φάσεως των καμπυλών y = 2ημ (x + π4) και y = 2ημx. Οι καμπύλες αυτές φαίνονται στο παρακάτω σχήμα:

Εικόνα

Γενικότερα, η γραφική παράσταση της συνάρτησης f(x) = ρημ(x + φ), ρ > 0 προκύπτει από μια οριζόντια μετατόπιση της γραφικής παράστασης της συνάρτησης g(x) = ρημx. Επομένως:

Η συνάρτηση f(x) = ρημ(x + φ) είναι περιοδική με περίοδο 2π και έχει μέγιστο ίσο με ρ και ελάχιστο ίσο με -ρ.

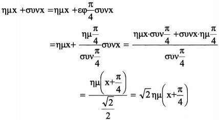
Η συνάρτηση f(x) = αημx + βσυνx,     α, β ≠ 0

Έστω για παράδειγμα η συνάρτηση f(x) = ημx + συνx. Για να τη μελετήσουμε θα προσπαθήσουμε να τη μετατρέψουμε σε άλλη συνάρτηση γνωστής μορφής.

Έχουμε:

Εικόνα

Επομένως f(x) = √2 ημ (x + π4). Αυτό σημαίνει ότι η συνάρτηση f είναι περιοδική με περίοδο 2π και έχει μέγιστο ίσο με √2 και ελάχιστο ίσο με -√2

Η γραφική παράσταση της f προκύπτει από μια οριζόντια μετατόπιση της γραφικής παράστασης της συνάρτησης g(x) = √2ημx κατά π4 μονάδες προς τα αριστερά όπως φαίνεται στο παρακάτω σχήμα:

Εικόνα

Γενικότερα θα αποδείξουμε ότι:

ΘΕΩΡΗΜΑ  

 

Αν α, β ≠ 0 τότε για κάθε x ∈ R ισχύει:

 

αημx + βσυνx = ρημ(x + φ)

 

όπου Εικόνα και φ ∈ R με Εικόνα

ΑΠΟΔΕΙΞΗ*

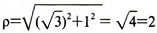
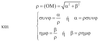
Έστω το σημείο Μ(α,β) και φ μια από τις γωνίες με αρχική πλευρά Οx και τελική πλευρά ΟΜ. Τότε έχουμε:

Εικόνα

Εικόνα

Επομένως

αημx + βσυνx



=  ρσυνφημx + ρημφσυνx

=  ρ(συνφημx + ημφσυνx)

=  ρημ(x + φ)

Η μελέτη λοιπόν της συνάρτησης f(x) = αημx + βσυνx, α, β ≠ 0 μπορεί να γίνει με τη μελέτη της συνάρτησης f(x) = ρημ(x + φ)

ΠΑΡΑΔΕΙΓΜΑΤΑ

 


i) Να παρασταθεί γραφικά η συνάρτηση f(x) = 2ημ (2x - π3).

ii) Ομοίως η συνάρτηση f(x) = ημ2x - √3συν2x.

ΛΥΣΗ

i) Η συνάρτηση f γράφεται f(x) = 2ημ(2(x - π6)). Παρατηρούμε ότι η συνάρτηση αυτή προκύπτει από τη συνάρτηση g(x) = 2ημ2x αν, όπου x, θέσουμε x - π6.

Αυτό σημαίνει ότι η γραφική παράσταση της f προκύπτει από μία οριζόντια μετατόπιση της γραφικής παράστασης της g κατά π6 μονάδες προς τα δεξιά.

Όμως η συνάρτηση g(x) = 2ημ2x έχει περίοδο 2 = π, μέγιστο 2 και ελάχιστο -2.

Άρα και η f είναι περιοδική με περίοδο π, μέγιστο 2 και ελάχιστο -2.

Οι γραφικές παραστάσεις των f και g φαίνονται στο παρακάτω σχήμα.

Εικόνα

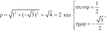
ii) Η παράσταση ημ2x - √3συν2x είναι της μορφής αημt + βσυνt με α = 1, β = -√3 και όπου t το 2x. Επομένως παίρνει τη μορφή ρημ(x + φ).

Έχουμε Εικόνα οπότε ένα φ = - π3

Άρα

f(x) = ημ2x - √3συν2x = 2ημ (2x - π3)

Τη συνάρτηση αυτή όμως τη μελετήσαμε προηγουμένως.

 

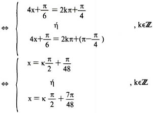
Να λυθεί η εξίσωση √3ημ4x + συν4x = √2.

ΛΥΣΗ

Το 1ο μέλος της εξίσωσης είναι της μορφής αημt + βσυνt με α = √3, β = 1 και όπου t το 4x. Επομένως παίρνει τη μορφή ρημ(4x + φ).

Έχουμε Εικόνα και Εικόνα, οπότε ένα φ = π6.

Άρα √3ημ4x + συν4x = 2ημ (4x + π6) και η εξίσωση γίνεται

2ημ (4x + π6) = √2



 ⇔ημ (4x + π6) = 22

 ⇔ημ (4x + π6) = ημ π4

Εικόνα

 

Δυο ρεύματα με την ίδια κυκλική συχνότητα ω και με εντάσεις I1 = 2ημωt και I2 = 2ημ (ωt + 3) διαρρέουν έναν αγωγό. Να δειχθεί ότι το άθροισμα τους έχει την ίδια κυκλική συχνότητα.

ΛΥΣΗ

Έχουμε     Ιολ = Ι1 + Ι2 








= 2ημωt + 2ημ (ωt + 3)

= 2ημωt + 2(ημωtσυν 3 + συνωtημ 3)

= 2ημωt + 2(- 12ημωt + 32συνωt)

= ημωt + √3συνωt

= 2ημ (ωt + π3),

που σημαίνει ότι το Ιολ έχει την ίδια κυκλική συχνότητα ω.

ΑΣΚΗΣΕΙΣ

   Α′ ΟΜΑΔΑΣ

1.

Να βρείτε την περίοδο, τη μέγιστη τιμή και την ελάχιστη τιμή των παρακάτω συναρτήσεων και στη συνέχεια να τις παραστήσετε γραφικά:

 

i) f(x) = 2ημ (x + π3)

ii) f(x) = 2ημ (x - π2)

 

2.

Να γράψετε στη μορφή f(x) = ρημ(x + φ) τις συναρτήσεις:

 

i) f(x) = √3ημx - συνx

ii) f(x) = -ημx + συνx

 
 

iii) f(x) = -ημx - √3συνx

iv) f(x) = ημx - συνx

 

3.

Να μελετήσετε και να παραστήσετε γραφικά τις συναρτήσεις της άσκησης 2.

4.

Να λύσετε τις εξισώσεις:

 

i) √3ημx - συνx = 2,

ii) συνx - ημx = 1,

iii) √2ημx + √6συνx + 2 = 0



   B′ ΟΜΑΔΑΣ

1.

Να υπολογίσετε τη γωνία ω του διπλανού σχήματος, έτσι ώστε να ισχύει:

(MA) + (MB) = 2√6

Εικόνα

2.

Μια μπάρα ΑΒ μήκους 2m τοποθετείται οριζόντια μεταξύ δυο κάθετων τοίχων. Για μεγαλύτερη αντοχή πρέπει να τοποθετηθεί, έτσι ώστε το (ΟΑ) + (ΟΒ) να γίνει μέγιστο.

i)   

Να εκφράσετε το (ΟΑ) + (ΟΒ) ως συνάρτηση του θ.

ii)  

Να βρείτε την τιμή του θ για την οποία το (ΟΑ) + (ΟΒ) γίνεται μέγιστο και να προσδιορίσετε το μέγιστο αυτό.

 

Εικόνα

3.

Να βρείτε τη μέγιστη και την ελάχιστη τιμή των συναρτήσεων:

 

i) f(x) = 5ημx + 12 συνx + 3,

ii) f(x) = 4συνx(ημx + συνx)

 

4.

Να λύσετε την εξίσωση: 2ημx(√3συνx - ημx) = √2 - 1

5.

Με συρματόπλεγμα μήκους 40 m περιφράσσουμε τμήμα γης σχήματος ορθογωνίου τριγώνου. Αν η υποτείνουσα είναι h m και η μια οξεία γωνία θ rad (Σχήμα)

i)  

Να αποδείξετε ότι:

h =          40         ημθ+συνθ+1

ii) 

Για ποια τιμή του θ το h παίρνει τη μικρότερη τιμή και ποια είναι αυτή;

Εικόνα

6.

Στο διπλανό σχήμα:

i)  

Να δείξετε ότι η περίμετρος Ρ του τριγώνου ΜΚΟ ισούται με P = 1 + ημ2θ + συν2θ.

ii) 

Για ποια τιμή του θ το Ρ παίρνει τη μεγαλύτερη τιμή και ποια είναι αυτή;

Εικόνα