Άλγεβρα (Β Λυκείου) - Βιβλίο Μαθητή
3.7 Τριγωνομετρικοί αριθμοί της γωνίας 2α 3.9 Η συνάρτηση f(x) = αημx + βσυνx Επιστροφή στην αρχική σελίδα του μαθήματος

3.8 Μετασχηματισμοί τριγωνομετρικών παραστάσεων

Σε αρκετές εφαρμογές της Τριγωνομετρίας χρειάζεται το γινόμενο τριγωνομετρικών αριθμών να μετασχηματισθεί σε άθροισμα ή αντιστρόφως το άθροισμα σε γινόμενο.

Στην παράγραφο αυτή θα αναζητήσουμε τύπους, με τους οποίους γίνονται οι παραπάνω μετασχηματισμοί.

Μετασχηματισμός γινομένου σε άθροισμα

Από τις γνωστές μας ισότητες:

ημ(α + β) = ημασυνβ + συναημβ

ημ(α - β) = ημασυνβ - συναημβ

με πρόσθεση κατά μέλη βρίσκουμε ότι:

ημ(α + β) + ημ(α - β) = 2ημασυνβ

δηλαδή:

(1)

2ημασυνβ = ημ(α + β) + ημ(α - β)

ενώ από τις:

συν(α - β) = συνασυνβ + ημαημβ

συν(α + β) = συνασυνβ - ημαημβ

με πρόσθεση και αφαίρεση κατά μέλη βρίσκουμε ότι:

(2)

(3)

2συνασυνβ = συν(α - β) + συν(α + β)

2ημαημβ = συν(α - β) - συν(α + β)

Μετασχηματισμός αθροίσματος σε γινόμενο

Με τη βοήθεια των προηγούμενων τριών τύπων μπορούμε να μετασχηματίσουμε το άθροισμα τριγωνομετρικών αριθμών σε γινόμενο. Πράγματι, αν θέσουμε

α + β = Α       και       α - β = Β,

τότε έχουμε

Α + Β = α + β + α - β = 2α, οπότε α = Α + Β2

Α - Β = α + β - α + β = 2β, οπότε β = Α - Β2

Έτσι ο παραπάνω τύπος (1) γράφεται 2 ημ Α + Β2 συν Α - Β2 = ημΑ + ημΒ.

Δηλαδή έχουμε:

(4)

ημΑ + ημΒ = 2ημ Α + Β2 συν Α - Β2

Αν τώρα στον τύπο (4) αντικαταστήσουμε το Β με -Β, βρίσκουμε:

(5)

ημΑ - ημΒ = 2ημ Α - Β2 συν Α + Β2

Ομοίως, από τον τύπο (2), βρίσκουμε:

(6)

συνΑ + συνΒ = 2συν Α + Β2 συν Α - Β2

ενώ από τον τύπο (3) βρίσκουμε 2 ημ Α + Β2 ημ Α - Β2 = συνΒ - συνΑ, οπότε

(7)

συνΑ - συνΒ = - 2ημ Α - Β2 ημ Α + Β2


ΠΑΡΑΔΕΙΓΜΑΤΑ - ΕΦΑΡΜΟΓΕΣ

 

(1)

Να λυθεί η εξίσωση: ημ6xσυν3x = ημ5xσυν4x.

ΛΥΣΗ

Έχουμε:       (1) ⇔ 2ημ6xσυν3x = 2ημ5xσυν4x

⇔ ημ9x + ημ3x = ημ9x + ημx

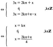
⇔ ημ3x = ημx

Εικόνα

 

(1)

Να λυθεί η εξίσωση: συν3x + συνx = ημ2x.

ΛΥΣΗ

Έχουμε:       (1) 







⇔ 2 συν 3x + x2 συν 3x - x2 = 2ημxσυνx

⇔ 2συν2xσυνx = 2ημxσυνx

⇔ συν2xσυνx - ημxσυνx = 0

⇔ συνx(συν2x - ημx) = 0

(2)

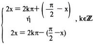
⇔ συνx = 0     (2)      ή      συν2x = ημx     (3)

Αλλά       (2) ⇔ συνx = συνπ2 ⇔ x = 2κπ ± π2, κ ∈ Z

και       (3) ⇔ συν2x = συν(π2 - x) ⇔ Εικόνα

Εικόνα

 

Να αποδειχθεί ότι σε κάθε τρίγωνο ΑΒΓ ισχύει:

ημΑ + ημΒ + ημΓ = 4 συν Α2 συν Β2 συν Γ2

ΑΠΟΔΕΙΞΗ

ημΑ + ημΒ + ημΓ = 2 ημ Α + Β2 συν Α - Β2 + 2 ημ Γ2 συν Γ2

= 2 συν Γ2 συν Α - Β2 + 2 συν Α + Β2 συν Γ2     (γιατί Α + Β2 + Γ2 = π2)

= 2 συν Γ2 [συν Α - Β2 + συν Α + Β2]

= 2 συν Γ2 2 συν Α2 συν Β2 = 4 συν Α2 συν Β2 συν Γ2


ΑΣΚΗΣΕΙΣ

   Α′ ΟΜΑΔΑΣ

1.

Να υπολογίσετε, χωρίς τη χρήση υπολογιστών τσέπης, τα γινόμενα:

 

i) συν75oσυν15o,

ii) ημ105oσυν15o,

 
 

iii) ημ 13π12 συν π12

iv) ημ 11π12 ημ 12

 

2.

Να μετατρέψετε σε αθροίσματα τριγωνομετρικών αριθμών τα παρακάτω γινόμενα:

 

i) 2ημxσυν2x

ii) 2ημ4xημ2x

iii) 2συν3xσυν5x

 

iv) συν6xημ2x

v) ημ (π4 - x) ημ (π4 + x)

 

3.

Να λύσετε τις εξισώσεις:

 

i) ημ3xσυνx = ημ6xσυν2x

ii) συν3xσυν2x = ημ2xημx

 

4.

Να υπολογίσετε, χωρίς τη χρήση υπολογιστών τσέπης, τα αθροίσματα:

 

i) ημ75o + ημ15o

ii) ημ 11π12 - ημ 12

 
 

iii) συν40o + συν80o + συν160o

   

5.

Να μετατρέψετε σε γινόμενα τριγωνομετρικών αριθμών τα παρακάτω αθροίσματα:

 

i) ημ4x + ημ2x

ii) συν5x - συν3x

iii) συν3x + συνx

 

iv) 1 + ημx

v) 1 + συνx

 

6.

Αν Β και Γ είναι οι οξείες γωνίες ενός ορθογωνίου τριγώνου ΑΒΓ, να αποδείξετε ότι:

 

i) ημ2Β + ημ2Γ = 2συν(Β - Γ),

ii) ημΒ - ημΓ = √2 ημ Β - Γ2

7.

Να αποδείξετε ότι:

 

i) συν3α - συν5αημ3α + ημ5α = εφα

ii)   ημα + ημ3α + ημ5α  συνα + συν3α + συν5α = εφ3α

 

iii)   ημαημ2α + ημ3αημ6α  ημασυν2α + ημ3ασυν6α = εφ5α

 

8.

Να λύσετε τις εξισώσεις:

 

i) ημ3x - ημx = συν2x

ii) συν5x - συνx = ημ3x

 

iii) ημ3x + ημ6x + ημ9x = 0

 


   B′ ΟΜΑΔΑΣ

1.

Να αποδείξετε ότι:

 

i) 2ημ50o -      1     2συν20o = 1,

 
 

ii) 2ημ52oημ68o - 2ημ47oσυν77o - 2συν65oσυν81o = 1

 

2.

Αν για τις οξείες γωνίες Β και Γ ενός ορθογωνίου τριγώνου ΑΒΓ ισχύει 4ημΒσυνΓ = 1, να αποδείξετε ότι Β = 30o.

3.

Να αποδείξετε ότι:

 

i) ημαημβ ≤ ημ2(α + β2)

ii) συνασυνβ ≤ συν2(α + β2)

4.

Να αποδείξετε ότι:

 

i) ημα + ημβ2 ≤ ημ (α + β2), για οποιαδήποτε α, β∈ [0, π]

 
 

ii) συνα + συνβ2 ≤ συν (α + β2), για οποιαδήποτε α, β∈ [- π2, π2]

5.

Να αποδείξετε ότι σε κάθε τρίγωνο ΑΒΓ ισχύει:

 

i) ημΑ + ημ(Β - Γ) = 2ημΒσυνΓ

ii) συν(Β - Γ) - συνΑ = 2συνΒσυνΓ

 

iii) συνΑ + συνΒ + συνΓ = 1 + 4 ημ Α2 ημ Β2 ημ Γ2

 

6.

Να αποδείξετε ότι για τις οξείες γωνίες Β, Γ ενός ορθογωνίου τριγώνου ΑΒΓ ισχύει:

2√2 συν Β2 συν Γ2 - 1 = √2 συν Β - Γ2

7.

Αν για τις γωνίες Α, Β, Γ ενός τριγώνου ΑΒΓ ισχύει ημΑ = συνΒ + συνΓ, να αποδείξετε ότι Β = 90o ή Γ = 90o και αντιστρόφως.