Άλγεβρα (Β Λυκείου) - Βιβλίο Μαθητή
3.2 Βασικές Τριγωνομετρικές Ταυτότητες 3.4 Οι τριγωνομετρικές συναρτήσεις Επιστροφή στην αρχική σελίδα του μαθήματος

3.3 ΑΝΑΓΩΓΗ ΣΤΟ 1o ΤΕΤΑΡΤΗΜΟΡΙΟ

Ο υπολογισμός των τριγωνομετρικών αριθμών οποιασδήποτε γωνίας μπορεί να γίνει, όπως θα δούμε στη συνέχεια, με τη βοήθεια πινάκων που δίνουν τους τριγωνομετρικούς αριθμούς γωνιών από 0o μέχρι 90o. Ας θεωρήσουμε δύο γωνίες ω και ω' που οι τελικές πλευρές τους τέμνουν τον τριγωνομετρικό κύκλο στα σημεία Μ και Μ' αντιστοίχως.

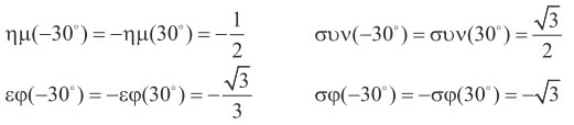
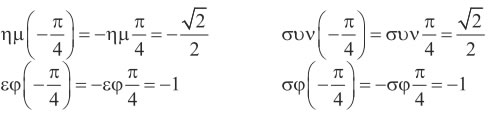
Γωνίες αντίθετες


Αν οι γωνίες ω και ω' είναι αντίθετες, δηλαδή αν ω' = −ω, τότε, όπως φαίνεται στο διπλανό σχήμα, τα σημεία Μ και Μ΄ είναι συμμετρικά ως προς τον άξονα x'x. Επομένως τα σημεία αυτά έχουν την ίδια τετμημένη και αντίθετες τεταγμένες. Έχοντας υπόψη τους ορισμούς των τριγωνομετρικών αριθμών, συμπεραίνουμε ότι :

Εικόνα

 

συν (−ω) = συνω         ηµ (−ω) = −ηµω
εϕ (−ω) = −εϕω           σϕ (−ω) = −σϕω

Δηλαδή :
οι αντίθετες γωνίες έχουν το ίδιο συνημίτονο και αντίθετους τους άλλους τριγωνομετρικούς αριθμούς.

Για παράδειγμα :

✔ Έχουμε :

Εικόνα

✔ Επίσης, έχουμε :

Εικόνα

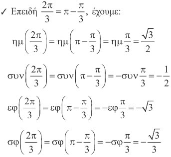
Γωνίες με άθροισμα 180o

Αν οι γωνίες ω και ω' έχουν άθροισμα 180o , δηλαδή αν ω' = 180− ω , τότε, όπως φαίνεται στο διπλανό σχήμα, τα σημεία Μ και Μ' είναι συμμετρικά ως προς τον άξονα y'y . Επομένως τα σημεία αυτά έχουν την ίδια τεταγμένη και αντίθετες τετμημένες. Έχοντας υπόψη τους ορισμούς των τριγωνομετρικών αριθμών, συμπεραίνουμε ότι :
Εικόνα

 

ημ(180− ω)  = ημω          συν (180− ω) = −συνω
εφ (180− ω) = −εϕω           σϕ (180− ω) = −σϕω

Δηλαδή :

Οι γωνίες με άθροισμα 180o έχουν το ίδιο ημίτονο και αντίθετους τους άλλους τριγωνομετρικούς αριθμούς.

Για παράδειγμα :

Εικόνα

Εικόνα

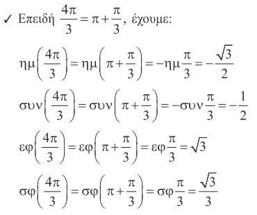
Γωνίες που διαφέρουν κατά 180o

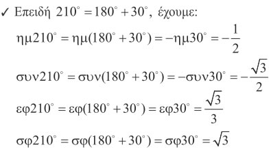
Αν οι γωνίες ω και ω' διαφέρουν κατά 180o, δηλαδή αν ω' = 180o + ω , τότε, όπως φαίνεται στο διπλανό σχήμα, τα σημεία Μ και Μ' είναι συμμετρικά ως προς την αρχή των αξόνων. Επομένως τα σημεία αυτά έχουν αντίθετες τετμημένες και αντίθετες τεταγμένες. Έχοντας υπόψη τους ορισμούς των τριγωνομετρικών αριθμών, συμπεραίνουμε ότι :

Εικόνα

 

ημ(180 + ω) = −ημω       συν (180 + ω) = −συνω
εφ (180+ ω) = εϕω           σϕ (180 + ω) = σϕω

Δηλαδή :

Οι γωνίες που διαφέρουν κατά 180o έχουν αντίθετο ημίτονο και συνημίτονο, ενώ έχουν την ίδια εφαπτομένη και συνεφαπτομένη.

Για παράδειγμα :

Εικόνα

Εικόνα

Γωνίες με άθροισμα 90o


Αν οι γωνίες ω και ω' έχουν άθροισμα 90o , δηλαδή ω' = 90o − ω, τότε, όπως φαίνεται στο διπλανό σχήμα, τα
σημεία Μ και Μ' είναι συμμετρικά ως προς τη διχοτόμο της γωνίας xOy . Επομένως η τετμημένη του καθενός ισούται με την τεταγμένη του άλλου. Έχοντας υπόψη τους ορισμούς των τριγωνομετρικών αριθμών, συμπεραίνουμε ότι :

Εικόνα

 

ημ(90 − ω) = συνω       συν (90 − ω) = ημω
εφ (90− ω) = σϕω           σϕ (90 − ω) = εϕω

Δηλαδή,

Αν δύο γωνίες έχουν άθροισμα 90o , τότε το ημίτονο της μιας ισούται με το συνημίτονο της άλλης και η εφαπτομένη της μιας ισούται με τη συνεφαπτομένη της άλλης.

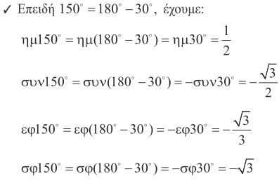
Για παράδειγμα, επειδή 60= 90o −30o, έχουμε :

Εικόνα

 

ΣΧΟΛΙΟ

Από τα προηγούμενα καταλαβαίνουμε ότι δεν χρειάζεται να έχουμε πίνακες τριγωνομετρικών αριθμών όλων των γωνιών, αλλά μόνο των γωνιών από 0o μέχρι 90o.

ΕΦΑΡΜΟΓΕΣ

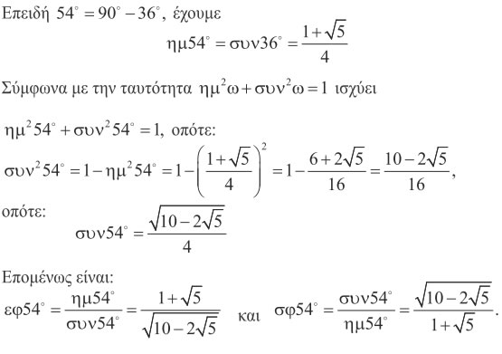
1η Δίνεται ότι Εικόνα . Να υπολογιστούν οι τριγωνομετρικοί αριθμοί της γωνίας 54o.

ΛΥΣΗ

Εικόνα

 

2η Να υπολογιστούν με τη βοήθεια της γωνίας ω οι τριγωνομετρικοί αριθμοί των γωνιών :

α) 90+ ω     β) 270o − ω    και     γ) 270o + ω

ΛΥΣΗ

i) Επειδή 90+ ω = 90o − (−ω) έχουμε :

ηµ(90+ ω) = ηµ(90o − (−ω)) = συν (−ω) = συνω .

Ομοίως υπολογίζονται οι υπόλοιποι τριγωνομετρικοί αριθμοί της γωνίας 90o + ω .

 

ii) Επειδή 270o  − ω = 180o + (90o −ω) έχουμε :

ηµ(270 − ω) = ηµ(180o + (90o−ω)) = −ημ(90o − ω) = −συνω .

Ομοίως υπολογίζονται οι υπόλοιποι τριγωνομετρικοί αριθμοί της γωνίας 270 − ω.

 

iii) Επειδή 270o  + ω = 360o − 90o + ω = 360o + (ω − 90o), έχουμε :

εφ(270 + ω) = εφ(ω − 90o) = −εφ(90o − ω) = −σφω .

Ομοίως υπολογίζονται οι υπόλοιποι τριγωνομετρικοί αριθμοί της γωνίας 270 + ω.

 

ΑΣΚΗΣΕΙΣ

   Α′ ΟΜΑΔΑΣ

1. Να βρείτε τους τριγωνομετρικούς αριθμούς της γωνίας :

i) 1200o             ii) -2850o

2. Να βρείτε τους τριγωνομετρικούς αριθμούς της γωνίας
i)187π/6 rad        ii)21π/4 rad

3. Σε κάθε τρίγωνο ΑΒΓ να αποδείξετε ότι :

Εικόνα

4. Να απλοποιήσετε την παράσταση

Εικόνα

5. Να αποδείξετε ότι :

Εικόνα

6. Να δείξετε ότι έχει σταθερή τιμή η παράσταση :

Εικόνα



   B′ ΟΜΑΔΑΣ

1. Να υπολογίσετε την τιμή της παράστασης :

Εικόνα

2. Να αποδείξετε ότι :

Εικόνα

3. Αν Εικόνα να υπολογίσετε την τιμή της παράστασης :

Εικόνα

4. Να αποδείξετε ότι :

Εικόνα

ΕΡΩΤΗΣΕΙΣ ΚΑΤΑΝΟΗΣΗΣ

I) Σε καθεμιά από τις παρακάτω περιπτώσεις να κυκλώσετε το γράμμα Α, αν ο ισχυρισμός είναι αληθής και το γράμμα Ψ, αν ο ισχυρισμός είναι ψευδής.

1. Αν ημω =1, τότε υποχρεωτικά θα είναι συνω= 0 . A Ψ
2. Αν συνω= 0 , τότε υποχρεωτικά θα είναι ημω= 1. A Ψ
3. Υπάρχει γωνία ω με ημω + συνω =2 . A Ψ
4. Για κάθε γωνία ω ισχύει Εικόνα A Ψ
5. ημ220o + ημ270o = 1 A Ψ
6. Για κάθε x ∈ R ισχύει ηµ(x − π) = −ηµx A Ψ
7. Για κάθε x ∈ R ισχύει ημ2x = ημx2 A Ψ
8. Αν Εικόνα τότε ηµx = 0 A Ψ
9. Για κάθε x ∈ R ισχύει Εικόνα A Ψ
II. Να αντιστοιχίσετε καθένα από τους τριγωνομετρικούς αριθμούς της Α΄ ομάδας με τον ίσο του από τη Β΄ ομάδα.

Εικόνα

III. Σε καθεμιά από τις παρακάτω περιπτώσεις να επιλέξετε τη σωστή απάντηση.

1. Αν ένα τρίγωνο ΑΒΓ είναι ορθογώνιο ( Α =90o) και όχι ισοσκελές, τότε :

Α) ηµ2Β + ηµ2Γ = 1,     Β) ηµ2Β + συν2Γ = 1,     Γ) εφΒ=1.

2. Αν ένα τρίγωνο ΑΒΓ δεν είναι ορθογώνιο τότε :

Α) συν(Β + Γ) = συνΑ ,   Β) ημ(Β + Γ) = ημΑ ,   Γ) εφ(Β + Γ) = εφΑ .

3. Αν ένα τρίγωνο ΑΒΓ δεν είναι ορθογώνιο τότε :

Εικόνα