Άλγεβρα (Β Λυκείου) - Βιβλίο Μαθητή
3.1 Τριγωνομετρικοί Αριθμοί Γωνίας 3.3 Αναγωγή στο 1O Τεταρτημόριο Επιστροφή στην αρχική σελίδα του μαθήματος

3.2 ΒΑΣΙΚΕΣ ΤΡΙΓΩΝΟΜΕΤΡΙΚΕΣ ΤΑΥΤΟΤΗΤΕΣ

Από τους ορισμούς των τριγωνομετρικών αριθμών μιας γωνίας ω προκύπτουν ορισμένες σχέσεις που τους συνδέουν και είναι γνωστές ως τριγωνομετρικές ταυτότητες. Οι ταυτότητες αυτές είναι χρήσιμες στο λογισμό με παραστάσεις που περιέχουν τριγωνομετρικούς αριθμούς.

Συγκεκριμένα ισχύουν:

1.

 ημ2ω + συν2ω = 1

ΑΠΟΔΕΙΞΗ


Αν M (x, y) είναι το σημείο στο οποίο η τελική πλευρά της γωνίας ω τέμνει τον τριγωνομετρικό κύκλο, τότε θα είναι :

x = συνω και y = ημω

Επειδή όμως ,

(OM) =1 και (OM)2 = |x|2 + |y|2 = x2 + y2

θα ισχύει :

x2 + y2 = 1

οπότε θα έχουμε : 

ημ2ω + συν2ω = 1

Εικόνα

2.

Εικόνα

ΑΠΟΔΕΙΞΗ

Στο ίδιο σχήμα έχουμε :

Εικόνα

Με τη βοήθεια των ταυτοτήτων (1) και (2), θα αποδείξουμε δύο επιπλέον χρήσιμες ταυτότητες.

 

3.

 εφω∙σφω = 1

ΑΠΟΔΕΙΞΗ

Είναι :

Εικόνα

Επομένως :

Εικόνα

 

4.       Εικόνα

ΑΠΟΔΕΙΞΗ

Εικόνα

ΕΦΑΡΜΟΓΕΣ

1η Αν ηµω = 5/13  και  90o < ω < 180o να βρεθούν οι άλλοι τριγωνομετρικοί αριθμοί της γωνίας ω.

ΛΥΣΗ

Εικόνα

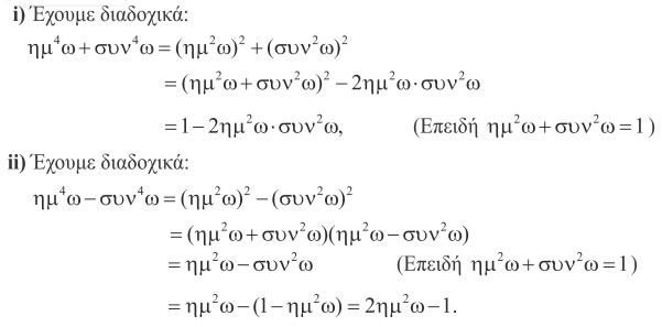
2η Να αποδειχθεί ότι

i)  ημ4ω + συν4ω = 1 - 2ημ2ω συν2ω      ii) ημ4ω - συν4ω = 2ημ2ω-1

ΑΠΟΔΕΙΞΗ

Εικόνα


ΑΣΚΗΣΕΙΣ

   Α′ ΟΜΑΔΑΣ

1. Αν ημx = 3/5 και π/2 < x < π , να βρείτε τους άλλους τριγωνομετρικούς αριθμούς της γωνίας x rad.

         

2. Αν συνx = -2/3 και π < x < 3π/2 , να βρείτε τους άλλους τριγωνομετρικούς αριθμούς της γωνίας x rad.

 

3. Αν εφx = -√3/3 και 3π/2 < x <2π , να βρείτε τους άλλους τριγωνομετρικούς αριθμούς της γωνίας x rad.

         
4. Αν σφx = 2 √5/5και 0 < x < π/2 , να βρείτε τους άλλους τριγωνομετρικούς αριθμούς της γωνίας x rad.
         
5. Αν σφx = -2 και 3π/2 < x <2π , να υπολογίσετε την τιμή της παράστασης Εικόνα
 
6. Να εξετάσετε, αν υπάρχουν τιμές του x για τις οποίες :

i) Να ισχύει συγχρόνως ημx = 0 και συνx = 0.

ii) Να ισχύει συγχρόνως ημx = 1 και συνx = 1.

iii) Να ισχύει συγχρόνως ημx = 3/5 και συνx = 4/5 .
 
7. Να αποδείξετε ότι, τα σημεία M ( x, y) του επιπέδου με x = 3συνθ και y = 3ημθ, είναι σημεία κύκλου O(0,0) κέντρου και ακτίνας ρ = 3.
 
8. Αν ισχύει x = 2συνθ και y = 3ημθ , να δείξετε ότι 9x2 + 4y2 =36.
 
9. Αν είναι x = r ημθσυνφ , y = r ημθημφ και z = r συνθ , να δείξετε ότι x2 + y2 + z2 = r2 .
 

10. Να αποδείξετε ότι :

Εικόνα

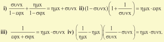
11. Να αποδείξετε ότι :
Εικόνα
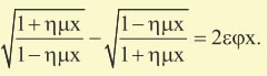
12. Να αποδείξετε ότι :
Εικόνα
13. Να αποδείξετε ότι :
Εικόνα


   B′ ΟΜΑΔΑΣ

1. Αν ημx + συνx = α , να υπολογίσετε ως συνάρτηση του α τις παραστάσεις :

Εικόνα

 

2. Να αποδείξετε ότι :

Εικόνα

 
3. Αν -π/2 < x < π/2 , να αποδείξετε ότι Εικόνα
 
4. Αν 0 ≤ x < π/2 , να αποδείξετε ότι Εικόνα