|
Ε Υ Κ Λ Ε Ι Δ Ε Ι Α Γ Ε Ω Μ Ε Τ Ρ Ι Α
Κανονικά πολύγωνα
11.1 Ορισμός κανονικού πολυγώνου
Όπως είναι γνωστό, ένα τετράγωνο έχει όλες τις πλευρές του
ίσες και όλες τις γωνίες του ίσες. Το ίδιο ισχύει και για ένα ισόπλευρο τρίγωνο. Τέτοια πολύγωνα λέγονται κανονικά.
Ένα πολύγωνο λέγεται κανονικό, όταν έχει όλες τις πλευρές του ίσες και όλες τις γωνίες του ίσες.
Μικροπείραμα 
• Γωνία κανονικού ν-γώνου
Έστω Α1Α2...Αν ένα κανονικό πολύγωνο με ν πλευρές και έστω A1 = A2 = ... = Aν = φν (σχ.1). Επειδή το άθροισμα των γωνιών κάθε κυρτού ν-γώνου είναι (ν - 2)180°, θα έχουμε νφν = (ν - 2) • 180° και επομένως
$φ_ν = 180^o - \dfrac{360^o}{ν}$.
Μικροπείραμα Μικροπείραμα 
Μικροπείραμα - Κυρτά Πολύγωνα
• Ομοιότητα κανονικών πολύγωνων
Ας θεωρήσουμε τώρα δύο κανονικά πολύγωνα ΑΒΓ...Τ,
Α'Β'Γ'...Τ' (σχ.2) με τον ίδιο αριθμό πλευρών ν. Τότε η γωνία
καθενός είναι 180° - 360°ν οπότε έχουμε:
A = A , Β = Β', ... , Τ = Τ' (1).
Επίσης, αφού ΑΒ = ΒΓ = ... = ΤΑ και Α'Β' = Β'Γ' = ... = Τ'Α' θα
έχουμε
AΒA'B' = ΒΓΒ'Γ' = ... = ΤΑΤ'Α' (2).
Από τις (1) και (2) προκύπτει ότι τα πολύγωνα ΑΒΓ... Τ και
Α'Β'Γ'...Τ' είναι όμοια. Έτσι, έχουμε το επόμενο συμπέρασμα:
Δύο κανονικά πολύγωνα με τον ίδιο αριθμό πλευρών
είναι όμοια.
|
 Σχήμα 1
 Σχήμα 2
|
|
Κ Ε Φ Α Λ Α Ι Ο 11. Μ Ε Τ Ρ Η Σ Η Κ Υ Κ Λ Ο Υ
|
 Σχήμα 3
|
11.2 Ιδιότητες και στοιχεία κανονικών
πολυγώνων
Μια σημαντική ιδιότητα των κανονικών πολυγώνων εκφράζεται από το επόμενο θεώρημα.
ΘΕΩΡΗΜΑ Ι
Κάθε κανονικό πολύγωνο εγγράφεται σε έναν κύκλο και
περιγράφεται σε έναν άλλον. Οι δύο αυτοί κύκλοι είναι
ομόκεντροι.
Έστω ΑΒΓΔ ...Τ ένα κανονικό πολύγωνο (σχ. 3). Θεωρούμε
τον κύκλο (Ο, R) που διέρχεται από τις κορυφές Α, Β, Γ του
πολυγώνου. Θα αποδείξουμε ότι ο κύκλος αυτός διέρχεται και
από την κορυφή Δ, δηλαδή ότι OΔ = R. Επειδή OB = OΓ = R, το τρίγωνο ΟΒΓ είναι ισοσκελές και επομένως Β1 = Γ1 = σ, οπότε τα τρίγωνα ΟΑΒ και ΟΓΔ είναι ίσα, γιατί έχουν:
ΟΒ = ΟΓ, ΑΒ = ΓΔ (αφού ΑΒΓΔ... T κανονικό) και
Β2 = Β - σ = Γ - σ = Γ2.
Από την ισότητα αυτή προκύπτει ότι ΟΔ = OA = R. Όμοια
αποδεικνύεται ότι ο κύκλος (O,R) διέρχεται και από τις υπόλοιπες κορυφές Ε, Ζ, ... Τ και επομένως το πολύγωνο είναι εγγράψιμο. Οι πλευρές του πολυγώνου είναι ίσες χορδές του
κύκλου (O,R), επομένως και τα αποστήματά τους θα είναι
ίσα, έστω με α. Επομένως, ο κύκλος (O,α) εφάπτεται στις
πλευρές του ΑΒΓΔ...Τ, άρα το πολύγωνο είναι περιγράψιμο
σε κύκλο. Είναι φανερό, από τα παραπάνω, ότι ο περιγεγραμμένος κύκλος (O,R) και ο εγγεγραμμένος (O,α) του πολυγώνου είναι ομόκεντροι.
Μικροπείραμα 
• Στοιχεία κανονικού πολυγώνου
Αποδείξαμε παραπάνω ότι κάθε κανονικό πολύγωνο έχει έναν
περιγεγραμμένο και έναν εγγεγραμμένο κύκλο που έχουν
κοινό κέντρο.
Το κοινό κέντρο των δύο αυτών κύκλων λέγεται κέντρο του
πολυγώνου. Η ακτίνα R του περιγεγραμμένου κύκλου λέγεται ακτίνα του πολυγώνου, ενώ η απόσταση του κέντρου από μια
πλευρά του, δηλαδή η ακτίνα του εγγεγραμμένου κύκλου
λέγεται απόστημα του πολυγώνου.
Επειδή τα τόξα ΑΒ, ΒΓ, ... , ΤΑ (σχ.3) είναι ίσα, οι επίκεντρες
|
|
|
|
Ε Υ Κ Λ Ε Ι Δ Ε Ι Α Γ Ε Ω Μ Ε Τ Ρ Ι Α
|
γωνίες ΑÔΒ, ΒÔΓ, ..., ΤÔΑ είναι ίσες. Καθεμία από τις γωνίες
αυτές, δηλαδή η γωνία υπό την οποία φαίνεται κάθε πλευρά
του πολυγώνου από το κέντρο του, λέγεται κεντρική γωνία του πολυγώνου.
Στα επόμενα, σε ένα κανονικό ν-γωνο θα συμβολίζουμε με
R την ακτίνα του, με λν την πλευρά του, με αν το απόστημά του, με ων την κεντρική του γωνία, με Ρν την περίμετρό του και Εν το εμβαδόν του.
Μικροπείραμα 
Για τα στοιχεία των κανονικών πολυγώνων ισχύει το εξής
θεώρημα.
ΘΕΩΡΗΜΑ ΙI
Σε κάθε κανονικό ν-γωνο ακτίνας R ισχύουν οι εξής σχέσεις:
i) $α_ν^2 + \dfrac{λ_ν^2}{4} = R^2$ ii) $P_ν = vλ_ν$
iii) $ω_ν = \dfrac{360^o}{ν}$ iv) $E_ν = \dfrac{1}{2}P_να_ν$
Έστω ΑΒΓΔ...Τ ένα κανονικό ν-γωνο, R η ακτίνα του,
ΑΒ = λν η πλευρά του και OH = αν το απόστημά του (σχ.4).
i) Από το ορθογώνιο τρίγωνο ΗΟΑ, με εφαρμογή του Πυθαγόρειου θεωρήματος προκύπτει OH2+HA2=OA2, δηλαδή

ii) Επειδή ΑΒ = ΒΓ = ... = ΤΑ = λν, θα είναι Ρν = νλν.
iii) Επειδή ΑΒ = ΒΓ =....= TA θα είναι
ΑÔΒ = ΒÔΓ = ... = ΤÔΑ = ων
και αφού οι γωνίες ΑÔΒ, ΒÔΓ, ... και ΤÔΑ έχουν άθροισμα
360° ,έχουμε νων = 360°, δηλαδή ων = 360°ν
iv) Τα τρίγωνα ΟΑΒ, ΟΒΓ, ... , ΟΤΑ είναι ίσα (ΠΠΠ), άρα
και ισεμβαδικά και επομένως έχουμε:

αφού Ρν = νλν .
Μικροπείραμα 
|
 Σχήμα 4
|
|
|
|
Κ Ε Φ Α Λ Α Ι Ο 11. Μ Ε Τ Ρ Η Σ Η Κ Υ Κ Λ Ο Υ
 Σχήμα 5
|
ΠΟΡΙΣΜΑ
Σε δύο κανονικά ν-γωνα ο λόγος των πλευρών τους ισούται με το λόγο των ακτίνων τους και το λόγο των αποστημάτων τους.
Θεωρούμε δύο κανονικά πολύγωνα ΑΒΓ...Τ και Α'ΒΤ'...Τ'
(σχ.5) με το ίδιο πλήθος πλευρών, έστω ν (ν ≥3). Αν Ο,Ο' τα
κέντρα των πολυγώνων, τα τρίγωνα ΟΑΒ και Ο'Α'Β' είναι
όμοια γιατί είναι ισοσκελή και έχουν
ΑÔΒ = Α'Ô'Β' = 360°ν και επομένως AΒA'B' = ΟΑΟ'Α' = ΟΗΟ'Η' , όπου ΟΗ, Ο'Η' τα ύψη
των τριγώνων. Από την τελευταία ισότητα προκύπτει ότι:
$\dfrac{λ_ν}{λ'_ν} = \dfrac{R}{R'} = \dfrac{α_ν}{α'_ν}$,
όπου λν , R, αν τα συνήθη στοιχεία του ΑΒΓ...Τ και λ'ν , R',
α'ν τα στοιχεία του Α'Β'Γ'...Τ'.
|
|
|
|
Ε Υ Κ Λ Ε Ι Δ Ε Ι Α Γ Ε Ω Μ Ε Τ Ρ Ι Α
ΑΣΚΗΣΕΙΣ ΓΙΑ ΛΥΣΗ
|
Ερωτήσεις Κατανόησης
1. Υπάρχουν κανονικά πολύγωνα των οποίων οι εξωτερικές γωνίες είναι αμβλείες; 2. Ποιο είναι το απόστημα κανονικού πολυγώνου περιγεγραμμένου σε κύκλο; 3. Ένα κυρτό πολύγωνο είναι κανονικό όταν:
α. έχει μόνον τις πλευρές του ίσες,
β. έχει μόνον τις γωνίες του ίσες,
γ. είναι εγγράψιμο σε κύκλο και έχει τις πλευρές του ίσες. 4. Μεταξύ των λν, αν και R ισχύει:
α. $λ_ν^2 + \dfrac{α_ν^2}{4} = R^2$ β. $λ_ν^2 + α_ν^2 = 4R^2$
γ. $λ_ν^2 = 4(R^2 - α_ν^2)$ δ. $λ_ν^2 + α_ν^2 = \dfrac{R^2}{4}$
5. Μεταξύ των ων και φν ισχύει:
α.ων + φν = 1∟ β. ων + φν = 2∟
γ. ων + φν = 270° δ. ων+φν = 3∟
(Στις ερωτήσεις 3, 4, και 5 κυκλώστε το γράμμα που
αντιστοιχεί στην σωστή απάντηση και αιτιολογήστε την
απάντησή σας).
Ασκήσεις Εμπέδωσης
1. Να βρεθούν η γωνία και η κεντρική γωνία ενός κανονικού: πενταγώνου, εξαγώνου, δεκαγώνου και δωδεκαγώνου. 2. Αν η γωνία ενός κανονικού πολυγώνου είναι 108°,
τότε το πλήθος των πλευρών του είναι:
α. 15 β. 12 γ. 10 δ. 5 ε. 8
Κυκλώστε το γράμμα της σωστής απάντησης και αιτιολογήστε την απάντησή σας. 3. Σε δύο κανονικά πεντάγωνα ο λόγος των πλευρών
τους είναι λ = 2. Ποιος είναι ο λόγος των αποστημάτων, των ακτίνων τους, των περιμέτρων τους και των
εμβαδών τους; 4. Τα πλήθη ν1,ν2 των πλευρών δύο κανονικών πολυγώνων είναι αντίστοιχα ρίζες των εξισώσεων:
ν3- 3ν2 - 7ν - 15 = 0, 2ν - 9 = $\sqrt{ν-4}$.
Να αποδείξετε ότι τα πολύγωνα είναι όμοια. 5. Να αποδείξετε ότι το μόνο κανονικό πολύγωνο με
γωνία οξεία είναι το ισόπλευρο τρίγωνο. 6. Αν ένα κανονικό ν-γωνο και ένα κανονικό μ-γωνο
(μ>ν) είναι εγγεγραμμένα στον ίδιο κύκλο, να αποδείξετε ότι:
i) λν2 - λμ2 = 4(αμ2 - αν2) ,
ii) λν > λμ <=> αν < αμ. 7. Θεωρούμε ένα κανονικό πεντάγωνο ΑΒΓΔΕ εγγεγραμμένο σε κύκλο (Ο, R). Να αποδείξετε ότι
|
i) κάθε διαγώνιος χωρίζει το πεντάγωνο σε ένα ισοσκελές τραπέζιο και σε ένα ισοσκελές τρίγωνο,
ii) η διχοτόμος της γωνίας ΒAΓ είναι κάθετη στην πλευρά ΑΕ,
iii) δύο διαγώνοι που δεν έχουν κοινό άκρο σχηματίζουν με δύο πλευρές του πενταγώνου ρόμβο και
iv) αν Η είναι το σημείο τομής της ΑΓ με τη ΒΔ, τότε ΑΗ2=ΑΓ • ΗΓ.
Αποδεικτικές Ασκήσεις
1. Το δάπεδο ενός δωματίου στρώθηκε με πλακίδια
σχήματος κανονικών πολυγώνων με πλήθος πλευρών
λ, μ, ν, όπου λ ≠ μ ≠ ν ≠ λ. Να αποδείξετε ότι
1λ + 1μ + 1ν = 12 .
Μικροπείραμα 
2. Αν ένα πολύγωνο είναι εγγράψιμο και περιγράψιμο
σε δύο ομόκεντρους κύκλους, να αποδείξετε ότι είναι
κανονικό. 3. Αν Α, Β, Γ, Δ είναι διαδοχικές κορυφές ενός κανονικού
ν γώνου (ν ≥ 4), να αποδείξετε ότι ΑΓ2 - ΑΒ2 = ΑΒ • ΑΔ. 4. Αν Ε2ν είναι το εμβαδόν ενός κανονικού 2ν-γώνου
(ν>4), εγγεγραμμένου σε κύκλο (Ο, R), να αποδείξετε ότι Ε2ν = 12ΡνR , όπου Ρν η περίμετρος του κανονικού
ν-γώνου ακτίνας R. 5. Αν λν' είναι πλευρά κανονικού ν-γώνου περιγεγραμμένου σε κύκλο και λν , αν η πλευρά και το απόστημα αντίστοιχα, κανονικού ν-γώνου εγγεγραμμένου στον
ίδιο κύκλο, να αποδείξετε ότι R • λν = αν • λ'ν . 6. Αν Eα, Εβ, Εγ είναι τα εμβαδά κανονικών ν-γώνων
που έχουν πλευρές ίσες αντίστοιχα με τις πλευρές α, β,
γ ορθογώνιου τριγώνου ΑΒΓ (A =1∟ , να αποδείξετε
ότι Εβ+ Εγ = Εα
Μικροπείραμα 
Σύνθετα θέματα
1. Οι Πυθαγόρειοι ισχυρίζονταν ότι υπάρχουν τρία μόνο κανονικά πολύγωνα των οποίων οι γωνίες μπορούν να καλύψουν το επίπεδο γύρω από ένα σημείο. Τα κανονικά αυτά πολύγωνα είναι τα ισόπλευρα τρίγωνα, τα
τετράγωνα και τα κανονικά εξάγωνα. Να αποδείξετε
την αλήθεια του ισχυρισμού αυτού των Πυθαγορείων.
Μικροπείραμα 
2. Έστω κανονικό ν-γωνο και σημείο Σ στο εσωτερικό
του. Αν d1,d2,...,dν είναι οι αποστάσεις του Σ από τις πλευρές του ν-γώνου, να αποδείξετε ότι
d1 + d2 + ... + dν = ναν ,
όπου αν το απόστημα του ν-γώνου.
Μικροπείραμα 
Μικροπείραμα-Επέκταση 1  Μικροπείραμα-Επέκταση 2
3. Σε κανονικό δεκάγωνο ΑΒΓΔ...Κ η πλευρά ΑΒ προεκτεινόμενη τέμνει την προέκταση της ακτίνας ΟΓ στο
σημείο Μ. Να αποδείξετε ότι ΑΜ=ΑΔ.
|
|
|
|
Κ Ε Φ Α Λ Α Ι Ο 11. Μ Ε Τ Ρ Η Σ Η Κ Υ Κ Λ Ο Υ
|

Σχήμα 7

Σχήμα 8
|
11.3 Εγγραφή βασικών κανονικών πολυγώνων σε κύκλο και στοιχεία τους
Από την παρατήρηση της προηγούμενης παραγράφου προκύπτει ότι για να κατασκευάσουμε ένα κανονικό πολύγωνο με ν
(ν ≥ 3) πλευρές, αρκεί να χωρίσουμε ένα κύκλο σε ν ίσα τόξα.
Η κατασκευή με κανόνα και διαβήτη δεν είναι δυνατή για κάθε ν. (σχόλιο §11.2). Στη συνέχεια, θα ασχοληθούμε με την
εγγραφή μερικών βασικών κανονικών πολυγώνων σε κύκλο
και θα υπολογίσουμε τα στοιχεία τους.
• Τετράγωνο
Έστω ένας κύκλος (Ο,R) (σχ.7). Αν φέρουμε δύο κάθετες διαμέτρους ΑΓ και ΒΔ, θα είναι ΑÔΒ = ΒÔΓ = ΓÔΔ = ΔÔΑ = 90°,
οπότε ΑΒ = BΓ = ΓΔ = ΔΑ και επομένως το ΑΒΓΔ είναι
τετράγωνο. Από το ορθογώνιο και ισοσκελές τρίγωνο ΟΑΒ με
εφαρμογή του Πυθαγόρειου θεωρήματος έχουμε
λ42 = ΑΒ2 = ΟΑ2 + ΟΒ2 = R2 + R2 = 2R2,
από την οποία προκύπτει ότι:
$λ_4 = R\sqrt{2}$.
Από τη βασική σχέση $α_ν^2 + \dfrac{λ_ν^2}{4} = R^2$ με ν = 4 προκύπτει ότι
$α_4^2 = R^2 - \dfrac{(R\sqrt{2})^2}{4} = \dfrac{R^2}{2}$,
δηλαδή $α_4 = \dfrac{R\sqrt{2}}{2}$.
• Κανονικό εξάγωνο
Έστω κύκλος (Ο,R) και ΑΒ η πλευρά του κανονικού εξαγώνου
που θέλουμε να εγγράψουμε στον (Ο,R) (σχ.8).
Τότε ΑÔΒ = ω6 = 60° και επειδή OA = OB (=R) το τρίγωνο
ΟΑΒ είναι ισόπλευρο. Άρα AB = OA = R, δηλαδή
|
|
|
|
Ε Υ Κ Λ Ε Ι Δ Ε Ι Α Γ Ε Ω Μ Ε Τ Ρ Ι Α
|
$λ_6 = R$.
Έτσι για την εγγραφή κανονικού εξαγώνου σε κύκλο, παίρνουμε
πάνω στον κύκλο έξι διαδοχικά τόξα ΑΒ , BΓ , ΓΔ , ΔΕ , ΕΖ και ΖΑ με αντίστοιχη χορδή R, το καθένα, οπότε το ΑΒΓΔΕΖ
είναι κανονικό εξάγωνο. Επειδή λ6 = R, από τη βασική σχέση
$α_6^2 + \dfrac{λ_6^2}{4} = R^2$ με αντικατάσταση του $λ_6$
προκύπτει ότι:
$α_6^2 = R^2 - \dfrac{R^2}{4} = \dfrac{3R^2}{4}$, ή $α_6 = \dfrac{R\sqrt{3}}{2}$.
• Ισόπλευρο τρίγωνο
Αν τα σημεία Α, Β, Γ, Δ, Ε και Ζ (σχ.9) διαιρούν τον κύκλο σε
έξι ίσα τόξα, τότε τα σημεία Α, Γ, Ε είναι κορυφές ισόπλευρου
τριγώνου, αφού ΑΓ = ΓΕ = ΕΑ = 120°.
Επειδή ΑΓΔ = 180°, η ΑΔ είναι διάμετρος και επομένως το
τρίγωνο ΑΓΔ είναι ορθογώνιο, οπότε
λ32= ΑΓ2 = ΑΔ2 - ΔΓ2 = (2R)2 - R2 = 3R2
δηλαδή
$λ_3 = R\sqrt{3}$.
Εφαρμόζοντας τώρα τη σχέση $α_3^2 + \dfrac{λ_3^2}{4} = R^2$,
προκύπτει ότι
$α_3 = \dfrac{R}{2}$.
Τα στοιχεία των παραπάνω πολυγώνων συγκεντρώνονται στον
επόμενο πίνακα:

Μικροπείραμα Μικροπείραμα 
|
 Σχήμα 9
|
|
|
|
Κ Ε Φ Α Λ Α Ι Ο 11. Μ Ε Τ Ρ Η Σ Η Κ Υ Κ Λ Ο Υ
ΕΦΑΡΜΟΓΗ 1η
|
Σε δοσμένο κύκλο να εγγραφεί κανονικό δεκάγωνο.
Έστω ΑΒ = λ10 (σχ.10) η πλευρά του κανονικού δεκαγώνου που
θέλουμε να εγγράψουμε στον κύκλο (Ο,R). Η κεντρική γωνία AÔB είναι 360°10 = 36°
και καθεμία από τις γωνίες της βάσης του ισοσκελούς τριγώνου
ΟΑΒ είναι A = B = 72°.
|
|
Έτσι, αν φέρουμε τη διχοτόμο ΑΔ της γωνίας ΟAΒ τα τρίγωνα ΔΟΑ και ΑΒΔ είναι ισοσκελή, αφού είναι
ΔAΟ = 36° = AÔB και ΑΔΒ = A1 + Ô = 36° + 36° = 72° = B .
Επομένως, ΟΔ = ΑΔ = ΑΒ = λ10 και ΒΔ = R - λ10.
Με εφαρμογή του θεωρήματος της διχοτόμου στο τρίγωνο ΟΑΒ προκύπτει ότι:
$\dfrac{ΑΒ}{ΑΟ} = \dfrac{ΔΒ}{ΔΟ}$ ⇔ $\dfrac{λ_{10}}{R} = \dfrac{R - λ_{10}}{λ_{10}}$ ⇔ $λ_{10}^2 = R(R - λ_{10})$
και επειδή λ10 = ΑΒ > ΔΒ = R - λ10 (αφού ΑΔΒ > ΒAΔ), η τελευταία ισότητα εκφράζει ότι το λ10 είναι το μεγαλύτερο από τα τμήματα που προκύπτουν αν διαιρέσουμε την ακτίνα R σε μέσο και άκρο λόγο. Για την κατασκευή του κανονικού δεκαγώνου του εγγεγραμμένου σε κύκλο , διαιρούμε την ακτίνα του κύκλου σε μέσο και άκρο λόγο και στη συνέχεια ορίζουμε
τα διαδοχικά τόξα ΑΒ, ΒΓ, ... , που έχουν το καθένα χορδή ίση με το μεγαλύτερο
τμήμα στα οποία χωρίζεται η ακτίνα με τη διαίρεσή της σε μέσο και άκρο λόγο.
Μικροπείραμα 
ΔΡΑΣΤΗΡΙΟΤΗΤΑ
Να αποδειχθεί ότι $λ_{10} = \dfrac{R}{2}(\sqrt{5} - 1)$ και να υπολογισθεί το $α_{10}$.
ΕΦΑΡΜΟΓΗ 2η
|
Σε δοσμένο κύκλο, να εγγραφεί κανονικό οκτάγωνο και να
υπολογισθούν η πλευρά του και το απόστημά του.
Εγγράφουμε στον κύκλο (σχ.11) το τετράγωνο ΑΒΓΔ και στη
συνέχεια παίρνουμε τα μέσα Ε, Ζ, Η, Θ των τόξων που αντιστοιχούν στις πλευρές ΑΒ, ΒΓ, ΓΔ και ΔΑ. Τότε το ΑΕΒ...Θ είναι το
ζητούμενο οκτάγωνο. Αν θεωρήσουμε τη διάμετρο ΕΗ που αντιστοιχεί στο Ε, επειδή το τρίγωνο ΑΗΕ είναι ορθογώνιο και η ΑΒ κάθετη στην ΕΗ, έχουμε
|
|
ΑΕ2 = ΕΗ • ΕΙ = 2R (R - OI) και τελικά, αφού ΑΕ = λ8 και ΟΙ = α4 , έχουμε:
$λ_8^2=2R(R-α_4)=2R\left(R-\dfrac{R-\sqrt{2}}{2}\right)=R^2(2-\sqrt{R})$ και επομένως $λ_8=R\sqrt{2-\sqrt{2}}$.
Τέλος, από τη σχέση $α_8^2 + \dfrac{λ_8^2}{4} = R^2$ προκύπτει ότι $α_8 = \dfrac{R}{2}\sqrt{2+\sqrt{2}}.$
|
|
|
Ε Υ Κ Λ Ε Ι Δ Ε Ι Α Γ Ε Ω Μ Ε Τ Ρ Ι Α
ΕΦΑΡΜΟΓΗ 3η
ΤΥΠΟΣ ΤΟΥ ΑΡΧΙΜΗΔΗ
|
Ένα κανονικό ν-γωνο είναι εγγεγραμμένο σε κύκλο (Ο, R).
Να εγγραφεί στον ίδιο κύκλο κανονικό 2ν - γωνο και να
αποδειχθεί ότι λ22ν = 2R (R - αν) .
Αν πάρουμε τα μέσα των τόξων που αντιστοιχούν στις πλευρές
του κανονικού ν-γώνου, ο κύκλος διαιρείται σε 2ν ίσα τόξα.
Έτσι προκύπτει το εγγεγραμμένο κανονικό πολύγωνο με 2ν
πλευρές.
|
|
Έστω ΑΒ = λν (σχ. 12) και Μ το μέσο του τόξου ΑΒ .
Τότε
ΑΜ = λ2ν και ΟΜ ⊥ ΑΒ. Επομένως, από το Πυθαγόρειο θεώρημα στο τρίγωνο ΑΗΜ έχουμε: $ΑΜ^2 = ΑΗ^2 + ΗΜ^2$ ή $λ_{2ν}^2 = \left(\dfrac{λ_ν}{2}\right)^2 + (R - α_ν)^2 = \dfrac{λ_ν^2}{4} + R^2 + α_ν^2 - 2Rα_ν$
ή $λ_{2ν}^2 = 2R^2 - 2Rα_ν$
(αφού $\dfrac{λ_{ν}^2}{4} + α_ν^2 = R^2)$ ή $λ_{2ν}^2 = 2R(R - α_ν).$
ΑΣΚΗΣΕΙΣ ΓΙΑ ΛΥΣΗ
|
Ερωτήσεις Κατανόησης
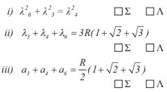
1. Χαρακτηρίστε ως σωστές (Σ) ή λανθασμένες (Λ) τις
παρακάτω ισότητες, δικαιολογώντας τις απαντήσεις σας.  2. Αν A, B, Γ Δ διαδοχικά σημεία κύκλου (Ο, R), ώστε $AB = R\sqrt{2}$, ΒΓ = λ12 και ΓΔ = R, να εξηγήσετε γιατί η
ΑΔ είναι διάμετρος του κύκλου. 3. Αν A, B, Γ διαδοχικά σημεία κύκλου (Ο, R), ώστε ΑΒ = 120° και ΒΓ = 60°, η περίμετρος του τριγώνου ΑΒΓ είναι:
α. $(3 + \sqrt{3})R$, β. 4R,
γ. $(\sqrt{2} + \sqrt{3})R$, δ. $(3 + \sqrt{2})R$.
Δικαιολογήστε την απάντησή σας.
|
4. Στο παρακάτω σχήμα η γωνία Μ είναι:
α. 30° β. 45° γ. 50° δ. 60° ε. 75°
Δικαιολογήστε την απάντησή σας.

Ασκήσεις Εμπέδωσης
1. Να υπολογίσετε ως συνάρτηση του R το εμβαδόν
ενός ισόπλευρου τριγώνου, ενός τετραγώνου και ενός κανονικού εξαγώνου, που είναι εγγεγραμμένα σε κύκλο
(Ο,R).
|
|
|
|
Κ Ε Φ Α Λ Α Ι Ο 11. Μ Ε Τ Ρ Η Σ Η Κ Υ Κ Λ Ο Υ
|
2. Κανονικό πολύγωνο έχει ακτίνα R = 10cm και απόστημα
αν= 5$\sqrt{3}$cm. Να βρεθεί η πλευρά του λν και το εμβαδόν
του Εν. 3. Κανονικό πολύγωνο έχει ακτίνα R = 8cm και πλευρά
λν =8$\sqrt{2}$cm. Να βρεθεί το απόστημά του αν και το
εμβαδόν του. 4. Σε κύκλο (Ο,R) παίρνουμε διαδοχικά τα τόξα ΑΒ = 60°, ΒΓ = 90° και ΓΔ = 120°. Να υπολογισθούν
ως συνάρτηση του R οι πλευρές και το εμβαδόν του
τετραπλεύρου ΑΒΓΔ.
1. Το άθροισμα των γωνιών ενός κανονικού πολυγώνου
είναι 8 ορθές και το εμβαδόν του
6$\sqrt{3}$cm2. Να
βρεθεί η ακτίνα του. 2. Σε κύκλο (O,R) και εκατέρωθεν του κέντρου του,
θεωρούμε δύο παράλληλες χορδές του ΑΒ και ΓΔ, ώστε
AB = R και ΓΔ = R$\sqrt{3}$. Να υπολογισθούν οι μη
παράλληλες πλευρές ΑΓ και ΒΔ του τραπεζίου ΑΒΔΓ, το
ύψος του και το εμβαδόν του, ως συνάρτηση του R.
|
3. Να υπολογιστούν ως συνάρτηση του R η πλευρά λ12 και το απόστημα α12 ενός κανονικού 12-γώνου εγγεγραμμένου σε κύκλο (O,R). 4. Να υπολογίσετε ως συνάρτηση του R το εμβαδόν
ενός κανονικού δωδεκαγώνου, χωρίς να υπολογίσετε
προηγουμένως την πλευρά και το απόστημά του.
1. Δίνεται κύκλος (O,R) και χορδή του ΓΔ = λ6. Πάνω σε τυχαία ευθεία ε που διέρχεται από το κέντρο και
εκατέρωθεν του Ο παίρνουμε σημεία Α, Β, ώστε ΟΑ =
ΟΒ = α3. Αν Μ το μέσο της ΓΔ, να αποδείξετε ότι
MA2 + MB2 = λ42 2. Από το σημείο Α εκτός κύκλου (ΟΜ) φέρουμε
τέμνουσα ΑΒΓ, ώστε ΑΒ = ΒΓ. Αν OA = $R\sqrt{7}$ να
αποδείξετε ότι ΒΓ = λ3 και στη συνέχεια να υπολογίσετε το
εμβαδόν του τριγώνου ΑΟΓ. 3. Σε κύκλο (ΟΜ) θεωρούμε τα διαδοχικά σημεία Α,
Β, Γ, ώστε ΑΒ = λ6 και ΒΓ = λ3. Αν Μ το μέσο της ΒΓ
και Δ το σημείο που τέμνει η προέκταση της ΑΜ τον
κύκλο, να υπολογίσετε, ως συνάρτηση του R, το τμήμα
ΜΔ.
Μικροπείραμα - Άσκηση 
|
ΔΡΑΣΤΗΡΙΟΤΗΤΕΣ
1. Ερμηνεύοντας σε "γεωμετρική γλώσσα" την αριθμητική ισότητα $\dfrac{1}{6} - \dfrac{1}{10} = \dfrac{1}{15}$ , δώστε ένα τρόπο κατασκευής της πλευράς κανονικού 15-γώνου εγγεγραμμένου σε κύκλο . 2. Κάνοντας το ίδιο για την αριθμητική ισότητα $\dfrac{1}{3} - \dfrac{1}{4} = \dfrac{1}{12}$ , να δώσετε ένα δεύτερο τρόπο κατασκευής της πλευράς κανονικού 12-γώνου εγγεγραμμένου σε κύκλο .
Μικροπείραμα 
|
|
|
Ε Υ Κ Λ Ε Ι Δ Ε Ι Α Γ Ε Ω Μ Ε Τ Ρ Ι Α
Μήκος κύκλου
11.4 Προσέγγιση του μήκους του κύκλου
με κανονικά πολύγωνα
Με τη βοήθεια της περιμέτρου κανονικών πολυγώνων προσεγγίζουμε στη συνέχεια την έννοια του μήκους κύκλου. Ας θεωρήσουμε έναν κύκλο (O,R) (σχ.13) και ας εγγράψουμε σε αυτόν
διαδοχικά ένα ισόπλευρο τρίγωνο, ένα κανονικό 6-γωνο, ένα κανονικό 12-γωνο και γενικά ένα πολύγωνο με διπλάσιο κάθε φορά
πλήθος πλευρών από το προηγούμενο.
Καθώς ο αριθμός των πλευρών των κανονικών πολυγώνων διπλασιάζεται, από το σχήμα φαίνεται ότι: "το κανονικό πολύγωνο
τείνει να ταυτισθεί με τον κύκλο".
Στο ίδιο συμπέρασμα καταλήγουμε και αν αντί εγγεγραμμένων
θεωρήσουμε κανονικά πολύγωνα περιγεγραμμένα στον κύκλο
(O,R) (σχ.14) και διπλασιάζουμε διαρκώς το πλήθος των πλευρών τους. Αν θεωρήσουμε λοιπόν την ακολουθία (Ρν) των περιμέτρων των κανονικών πολυγώνων των εγγεγραμμένων στον κύκλο (O,R) και την ακολουθία (Ρ'ν) των περιμέτρων των περιγεγραμμένων κανονικών πολυγώνων γύρω από τον ίδιο κύκλο,
τότε αποδεικνύεται ότι υπάρχει μοναδικός θετικός αριθμός L
μεγαλύτερος όλων των όρων της ακολουθίας (Ρν) και μικρότερος όλων των όρων της (Ρ'ν) με την εξής ιδιότητα: καθώς το ν διπλασιάζεται, οι όροι των ακολουθιών (Ρν) και (Ρ'ν) προσεγγίζουν όλο και περισσότερο τον αριθμό L. Ο αριθμός L (που είναι το κοινό
όριο των ακολουθιών και ανεξάρτητος από την επιλογή
κανονικών πολυγώνων) λέγεται μήκος του κύκλου (Ο,R).
Ο Ιπποκράτης ο Χίος απέδειξε πρώτος ότι ο λόγος L2R του
μήκους του κύκλου προς τη διάμετρό του είναι σταθερός, δηλαδή
είναι ο ίδιος για κάθε κύκλο. Η σταθερή αυτή τιμή του λόγου L2R συμβολίζεται διεθνώς με το Ελληνικό γράμμα π (αρχικό της λέξης
περιφέρεια) δηλαδή L2R = π ,
οπότε προκύπτει ότι το μήκος L
του κύκλου ακτίνας R δίνεται από τη σχέση
$L = 2πR$.
Ο αριθμός π είναι ένας άρρητος, υπερβατικός αριθμός και μια
προσέγγισή του, που στην πράξη χρησιμοποιείται, είναι π 3,14.
Ο Αρχιμήδης χρησιμοποιούσε ως προσέγγιση του π το 227
Μικροπείραμα Μικροπείραμα 
Μικροπείραμα 
|
 Σχήμα 13
 Σχήμα 14
|
|
|
|
Κ Ε Φ Α Λ Α Ι Ο 11. Μ Ε Τ Ρ Η Σ Η Κ Υ Κ Λ Ο Υ
|
 Σχήμα 15
|
11.5 Μήκος τόξου
Έστω ένα τόξο ΑΒ ενός κύκλου (O,R) (σχ.15). Μία τεθλασμένη
με άκρα τα σημεία Α, Β και τις άλλες κορυφές της σημεία του
τόξου λέγεται εγγεγραμμένη στο τόξο ΑΒ.
Στην περίπτωση που
οι πλευρές της είναι ίσες, λέγεται κανονική τεθλασμένη.
Μια τεθλασμένη με άκρα τα Α, Β και πλευρές εφαπτόμενες
του τόξου ΑΒ λέγεται περιγεγραμμένη τεθλασμένη στο τόξο ΑΒ.
Η έννοια της κανονικής περιγεγραμμένης ορίζεται, όπως
στην περίπτωση της εγγεγραμμένης. Το μήκος του τόξου ΑΒ κύκλου (O,R) ορίζεται όπως και το μήκος του κύκλου. Δηλαδή
το μήκος του τόξου ΑΒ είναι ο μοναδικός θετικός αριθμός
l τον οποίο προσεγγίζουν ολοένα και περισσότερο τα μήκη Ρν και Ρ'ν των κανονικών τεθλασμένων γραμμών των εγγεγραμμένων
και περιγεγραμμένων αντίστοιχα στο τόξο ΑΒ , καθώς
το ν διπλασιάζεται. Επειδή ο κύκλος είναι τόξο 360° με μήκος
2πR το τόξο 1° θα έχει μήκος 2πR360 οπότε ένα τόξο μ° θα έχει
μήκος
$l = \dfrac{πRμ}{180}$ (1)
Επίσης, ένα τόξο κύκλου με μήκος R λέγεται ακτίνιο (rad).
Άρα ένα τόξο α rad έχει μήκος αR, δηλαδή
$l = αR$ (2).
Από τις (1) και (2) προκύπτει ότι απ = μ180 .
|
ΕΦΑΡΜΟΓΗ
Σε κύκλο (O,R) θεωρούμε διάμετρο ΑΒ και τις χορδές ΑΓ και ΒΓ, ώστε ΑΓ=2cm και
ΒΓ = 2$\sqrt{3}$cm. Να βρεθεί το μήκος του κύκλου και τα μήκη των τόξων ΑΓ και ΓΒ είναι μικρότερα του ημικυκλίου.
|
Επειδή η ΑΒ είναι διάμετρος, η γωνία ΑΓΒ θα είναι ορθή, οπότε
από το ορθογώνιο τρίγωνο ΓΑΒ έχουμε ΑΒ2 = ΑΓ2 + ΒΓ2 ή
(2R)2 = 22 + (2$\sqrt{3}$)2 ή 4R2 = 16, δηλαδή R = 2. Το μήκος L του
κύκλου θα είναι L = 2πR = 4π cm. Επειδή
ΑΓ = 2 = AB2 θα είναι Β = 30°, οπότε ΑΓ = 60°
και επομένως το μήκος του θα είναι:
|
|
$l_1 = \dfrac{πRμ}{180} = \dfrac{π \cdot 2 \cdot 60}{180} = \dfrac{2}{3}π $ cm.
Τέλος, αφού $\hat{A} = 60^o$, θα είναι $\hat{ΒΓ} = 120^ο$ και το μήκος του, θα είναι $l_2 = \dfrac{π \cdot 2 \cdot 120}{180} = \dfrac{4}{3}π $ cm.
|
|
|
Ε Υ Κ Λ Ε Ι Δ Ε Ι Α Γ Ε Ω Μ Ε Τ Ρ Ι Α
ΑΣΚΗΣΕΙΣ ΓΙΑ ΛΥΣΗ
|
Ερωτήσεις Κατανόησης
1. Αντιστοιχίστε κάθε μέγεθος της στήλης Α με την τιμή
του στη στήλη Β.

2. Το μήκος L τόξου, κύκλου ακτίνας R με χορδή λ6 είναι:
α. 6R β. πR
γ. 13 πR δ. 2πR ε. 13 R
Κυκλώστε το γράμμα της σωστής απάντησης και αιτιολογήστε την απάντησή σας.
Ασκήσεις Εμπέδωσης
1. Πάνω σε ευθεία ε θεωρούμε διαδοχικά τα σημεία Α,
Β, Γ και Δ. Αν L1,L2,L3, και L είναι τα μήκη των
κύκλων με διαμέτρους ΑΒ, ΒΓ, ΓΔ και ΑΔ αντίστοιχα
να αποδείξετε ότι Ll+ L2 + L3 = L.
Μικροπείραμα Μικροπείραμα 
2. Να βρείτε το μήκος του εγγεγραμμένου κύκλου σε
κανονικό εξάγωνο πλευράς 10cm. 3. Να βρεθεί το μήκος του τόξου που αντιστοιχεί στην
πλευρά κανονικού 10-γώνου εγγεγραμμένου σε κύκλο
ακτίνας 5cm. 4. Όταν ένα ποδήλατο διανύει μια απόσταση, ο ένας
τροχός του που έχει ακτίνα R κάνει ν στροφές, ενώ ο
άλλος, που έχει ακτίνα ρ κάνει 2ν στροφές. Να αποδείξετε ότι R = 2ρ. 5. Δίνεται κύκλος (O,R) και τα διαδοχικά του σημεία
Α, Β, Γ, ώστε να είναι ΑΒ = $R\sqrt{2}$ και ΒΓ = R$\sqrt{3}$. Na βρεθούν τα μήκη των τόξων ΑΒ, ΒΓ και ΓΑ, ως συνάρτηση του R.
|
Αποδεικτικές Ασκήσεις
1. Με διάμετρο την ακτίνα ΟΑ ενός κύκλου (O, R) γράφουμε κύκλο (Κ) και από το Ο φέρουμε ημιευθεία που
τέμνει τον κύκλο (Ο) στο Γ και τον κύκλο (Κ) στο Δ. Να
αποδείξετε ότι τα τόξα ΑΓ και ΑΔ έχουν ίσα μήκη. 2. Να αποδείξετε ότι το μήκος του κύκλου, που εφάπτεται σε δύο ομόκεντρους κύκλους, ισούται με το ημιάθροισμα ή την ημιδιαφορά των μηκών αυτών, όταν αντίστοιχα ο κύκλος αυτός περιέχει στο εσωτερικό του ή όχι το μικρότερο κύκλο. 3. Δίνεται τρίγωνο ΑΒΓ με α = 13cm, β = 14cm και
γ = 15cm. Να βρείτε το μήκος
i) του εγγεγραμμένου κύκλου του τριγώνου,
ii) του περιγεγραμμένου κύκλου του τριγώνου.
Σύνθετα θέματα
1. Δίνεται ημικύκλιο (Ο, R) διαμέτρου ΑΒ. Με διαμέτρους τις ΑΟ και ΟΒ γράφουμε στο εσωτερικό του πρώτου ημικύκλια. Να υπολογίσετε το μήκος του κύκλου, ο οποίος εφάπτεται των τριών αυτών ημικυκλίων, ως συνάρτηση του R.
Μικροπείραμα 
2. Δίνεται τεταρτοκύκλιο ΟΑΒ.
Με διάμετρο την ΟΑ
γράφουμε στο εσωτερικό του τεταρτοκυκλίου, ημικύκλιο και στη συνέχεια γράφουμε κύκλο (Κ) που εφάπτεται
στο ημικύκλιο, στην πλευρά ΟΒ και στο τόξο ΑΒ .
Να αποδείξετε ότι το μήκος του κύκλου (Κ) ισούται με
το μήκος του τόξου ΑΒ.
3. Να βρείτε το μήκος της γραμμής ΑΒΓΔΕΖ του παρακάτω σχήματος.

Μικροπείραμα 
|
|
|
|
Κ Ε Φ Α Λ Α Ι Ο 11. Μ Ε Τ Ρ Η Σ Η Κ Υ Κ Λ Ο Υ
|
 Σχήμα 17
 Σχήμα 18
|
Εμβαδόν κυκλικού δίσκου
11.6 Προσέγγιση του εμβαδού κύκλου με
κανονικά πολύγωνα
Έστω ένας κύκλος (Ο,R). Ο κύκλος μαζί με τα εσωτερικά του
σημεία αποτελούν τον κυκλικό δίσκο με κέντρο Ο και ακτίνα
R. Στην παράγραφο 11.4 είδαμε ότι τα εγγεγραμμένα ή τα
περιγεγραμμένα σε έναν κύκλο κανονικά πολύγωνα τείνουν να
ταυτισθούν με τον κύκλο, καθώς το πλήθος των πλευρών τους
διπλασιάζεται. Ο μοναδικός θετικός αριθμός Ε προς τον οποίο
πλησιάζουν ολοένα και περισσότερο, τα εμβαδά των εγγεγραμμένων και των περιγεγραμμένων κανονικών πολυγώνων,
λέγεται εμβαδόν του κυκλικού δίσκου ή απλούστερα εμβαδόν
του κύκλου. Επειδή ο Ε προσεγγίζεται από το εμβαδόν εγγεγραμμένων ή περιγεγραμμένων κανονικών πολυγώνων, ας θεωρήσουμε ένα κανονικό ν-γωνο εγγεγραμμένο στον κύκλο (Ο,R). Τότε το εμβαδόν Εν δίνεται από τον τύπο
Εν = 12 Ρναν (1)
Από το σχ.17 φαίνεται ότι καθώς το ν διπλασιάζεται το αν προσεγγίζει την ακτίνα R και επειδή το Ρν προσεγγίζει το μήκος L
του κύκλου, από την (1) προκύπτει ότι το Εν προσεγγίζει το 12 L∙R = 12 2πR∙R = πR2. Έτσι έχουμε το επόμενο θεώρημα.
ΘΕΩΡΗΜΑ
Το εμβαδόν Ε ενός κυκλικού δίσκου ακτίνας R δίνεται από τη σχέση
$E = πR^2$.
Μικροπείραμα Μικροπείραμα 
11.7 Εμβαδόν κυκλικού τομέα και κυκλικού
τμήματος
• Κυκλικός Τομέας
Θεωρούμε έναν κύκλο (O,R) και μία επίκεντρη γωνία ΑÔΒ (σχ. 18). Το σύνολο των κοινών σημείων της επίκεντρης γωνίας ΑÔΒ και του κυκλικού δίσκου (O,R) λέγεται κυκλικός τομέας κέντρου Ο και ακτίνας R. Ο κυκλικός αυτός τομέας συμβολίζεται OΑΒ. Αν η επίκεντρη γωνία ΑÔΒ είναι μ°, λέμε ότι και
|
|
|
|
Ε Υ Κ Λ Ε Ι Δ Ε Ι Α Γ Ε Ω Μ Ε Τ Ρ Ι Α
|
ο κυκλικός τομέας
OΑΒ είναι μ°. Το εμβαδόν του κυκλικού
τομέα ορίζεται ανάλογα με το εμβαδόν του κύκλου και
συμβολίζεται
(OΑΒ).
Επειδή ο κυκλικός δίσκος είναι κυκλικός τομέας 360° με
εμβαδόν πR2 ο κυκλικός τομέας 1° έχει εμβαδό πR2360 και άρα
ένας τομέας μ° θα έχει εμβαδόν πR2μ360 . Ώστε το εμβαδόν ενός
κυκλικού τομέα
OΑΒ μ° και ακτίνας R δίνεται από την
ισότητα:

Επίσης, επειδή ο κυκλικός δίσκος (O, R) είναι τομέας 2π rad
με εμβαδόν πR2 ένας τομέας α rad θα έχει εμβαδόν

Επομένως, το εμβαδόν ενός κυκλικού τομέα α rad και
ακτίνας R δίνεται από την ισότητα

• Κυκλικό τμήμα
Έστω ένας κύκλος (O,R) και μια χορδή του ΑΒ (σχ.20). Η ΑΒ
χωρίζει τον κυκλικό δίσκο σε δύο μέρη που βρίσκονται εκατέρωθεν αυτής. Καθένα από αυτά τα μέρη λέγεται κυκλικό τμήμα.
Το εμβαδόν ε του κυκλικού τμήματος που περιέχεται στην κυρτή γωνία ΑΟΒ υπολογίζεται με τη βοήθεια της ισότητας

δηλαδή αφαιρώντας από το εμβαδόν του κυκλικού τομέα
το εμβαδόν του τριγώνου ΟΑΒ.
|
 Σχήμα 19
 Σχήμα 20
|
ΕΦΑΡΜΟΓΗ 1η
ΜΗΝΙΣΚΟΙ ΤΟΥ ΙΠΠΟΚΡΑΤΗ
Δίνεται ορθογώνιο τρίγωνο ΑΒΓ (A = 90°). Με διαμέτρους ΒΓ, ΑΒ και ΑΓ γράφουμε ημικύκλια στο ημιεπίπεδο (ΒΓ,Α). Να αποδειχθεί ότι το άθροισμα των εμβαδών των σχηματιζόμενων μηνίσκων είναι ίσο με το εμβαδόν του τριγώνου ΑΒΓ.
(Μηνίσκος είναι το σχήμα που «περικλείεται» από δύο τόξα που έχουν κοινή χορδή και βρίσκονται προς το ίδιο μέρος της).
Συμβολίζουμε με μ1, μ2 τα εμβαδά των σχηματιζόμενων μηνίσκων, τ1, τ2 τα εμβαδά των κυκλικών τμημάτων με χορδές ΑΒ, ΑΓ αντίστοιχα, στο ημικύκλιο διαμέτρου ΒΓ. Έχουμε
|
|
|
Κ Ε Φ Α Λ Α Ι Ο 11. Μ Ε Τ Ρ Η Σ Η Κ Υ Κ Λ Ο Υ
$μ_1 = (μ_1 + τ_1) - τ_1 = \dfrac{1}{2} π \left(\dfrac{ΑΒ}{2}\right)^2 - τ_1 = \dfrac{1}{8} π ΑΒ^2 - τ_1$ και
$μ_2 = (μ_2 + τ_2) - τ_2 = \dfrac{1}{2} π \left(\dfrac{ΑΓ}{2}\right)^2 - τ_2 = \dfrac{1}{8} π ΑΓ^2 - τ_2$, |
|
από τις οποίες, χρησιμοποιώντας και τη σχέση ΑΒ2+ΑΓ2=ΒΓ2 βρίσκουμε
$μ_1 +μ_2 = \dfrac{1}{8} π (ΑΒ^2 + ΑΓ^2) - (τ_1 + τ_2) = $
$=\dfrac{1}{8} π(ΒΓ)^2 - (τ_1 + τ_2) = \dfrac{1}{2} π \left(\dfrac{ΒΓ}{2}\right)^2 - (τ_1 + τ_2) = (ΑΒΓ).$
Μικροπείραμα 
ΕΦΑΡΜΟΓΗ 2η
|
Δίνεται κύκλος (O,R) και δυο χορδές του $ΑΒ = R\sqrt{2}$ και $ΑΓ = R\sqrt{3}$ (σχ.22). Να υπολογισθεί η περίμετρος και το εμβαδόν
Ε του μικτόγραμμου τριγώνου ΑΒΓ, ως συνάρτηση του R.
• Επειδή $ΑΒ = R\sqrt{2}$ και $ΑΓ = R\sqrt{3}$, έχουμε αντίστοιχα AB = $λ_4$, $ΑΓ = λ_3$, οπότε $Α\hat{Ο}B=90^o$ και $Α\hat{Ο}Γ=120^o$ και επομένως $Β\hat{Ο}Γ=30^o$. Έτσι το μήκος l του τόξου $\newcommand{arc}[1]{\stackrel{\Large\frown}{#1}}\arc{ΒΓ}$ είναι $l = \dfrac{πR \cdot 30}{180} = \dfrac{πR}{6}$. Άρα η περίμετρος S του μικτόγραμμου τριγώνου ΑΒΓ είναι
$S = R\sqrt{2} \quad και \quad R\sqrt{3} +\dfrac{πR}{6} = R\left(\sqrt{2} + \sqrt{3} + \dfrac{π}{6}\right).$
• Για το εμβαδόν Ε έχουμε: $Ε = (Ο\newcommand{arc}[1]{\stackrel{\Large\frown}{#1}}\arc{ΑΓ}) - (ΟΑΓ) - τ_1 (1),$ όπου $τ_1$ το εμβαδόν του κυκλικού τμήματος με χορδή ΑΒ. Έχουμε:
$(Ο\newcommand{arc}[1]{\stackrel{\Large\frown}{#1}}\arc{ΑΓ}) = \dfrac{πR^2 120}{360} = \dfrac{πR^2}{3}$, $(ΟΑΓ)=\dfrac{1}{2}λ_3α_3 = \dfrac{1}{2}R\sqrt{3}\dfrac{R}{2}=\dfrac{R^2\sqrt{3}}{4}$ και
$τ_1 = (Ο\newcommand{arc}[1]{\stackrel{\Large\frown}{#1}}\arc{ΑΒ}) - (ΟΑΒ) = \dfrac{πR^290}{360} - \dfrac{1}{2}λ_4α_4 = \dfrac{πR^2}{4} - \dfrac{1}{2}R\sqrt{2}\dfrac{R\sqrt{2}}{2} = \dfrac{πR^2}{4} - \dfrac{R^2}{2},$
οπότε αντικαθιστώντας στην (1) βρίσκουμε ότι Ε = $\dfrac{R^2}{12}(π + 6 -3\sqrt{3}).$
|
|
|
|
|
Ε Υ Κ Λ Ε Ι Δ Ε Ι Α Γ Ε Ω Μ Ε Τ Ρ Ι Α
11.8 Τετραγωνισμός κύκλου
Τετραγωνισμός κύκλου λέγεται η κατασκευή, με κανόνα και
διαβήτη, ενός τετραγώνου ισοδύναμου με το δοσμένο κύκλο.
Έστω R η ακτίνα ενός κύκλου και Ε το εμβαδόν του. Επειδή
Ε = 12 L ∙ R όπου L το μήκος του κύκλου, προκύπτει ότι ο κύκλος
είναι ισοδύναμος με τρίγωνο, που έχει βάση L και ύψος
R. Κάθε τρίγωνο όμως είναι ισοδύναμο με τετράγωνο. Επομένως ο τετραγωνισμός του κύκλου ανάγεται στην κατασκευή του L, αφού το R είναι ένα δοσμένο τμήμα. Επειδή όμως L=2πR η κατασκευή του ανάγεται στην κατασκευή τμήματος
μήκους π (αφού για R = 12 είναι L = π). Για να είναι η
κατασκευή αυτή δυνατή, όπως έχει αποδειχθεί, θα έπρεπε ο π να
είναι ρίζα πολυωνυμικής εξίσωσης με ακέραιους συντελεστές,
δηλαδή αλγεβρικός αριθμός, βαθμού 2ν, όπου ν φυσικός.
Όμως, ο Γερμανός Μαθηματικός Lindemann, το 1882, (ιστορικό σημείωμα, σελ. 252) απέδειξε ότι ο π δεν είναι αλγεβρικός
αριθμός αλλά υπερβατικός και επομένως δεν κατασκευάζεται
γεωμετρικά. Αποδείχθηκε έτσι το αδύνατο της γεωμετρικής
λύσης του προβλήματος του τετραγωνισμού του κύκλου.
ΔΡΑΣΤΗΡΙΟΤΗΤΕΣ
Στο παρακάτω σχήμα, το τρίγωνο ΑΒΓ είναι ορθογώνιο και ισοσκελές, το $\newcommand{arc}[1]{\stackrel{\Large\frown}{#1}}\arc{ΒΔΓ}$ ημικύκλιο διαμέτρου ΒΓ και το $\newcommand{arc}[1]{\stackrel{\Large\frown}{#1}}\arc{ΓΕΒ}$ τόξο του κύκλου (Α, ΑΒ). Να αποδείξετε ότι ο σχηματιζόμενος μηνίσκος τετραγωνίζεται.
(Απάντηση: (μ)= (ΑΒΓ)) 
Μικροπείραμα 
|
|
|
|
|
Κ Ε Φ Α Λ Α Ι Ο 11. Μ Ε Τ Ρ Η Σ Η Κ Υ Κ Λ Ο Υ
ΑΣΚΗΣΕΙΣ ΓΙΑ ΛΥΣΗ
|
Έρωτήσεις Κατανόησης
1. Αντιστοιχίστε κάθε μέγεθος της στήλης Α με την τιμή
του στη στήλη Β.

2. Με βάση το παρακάτω σχήμα χαρακτηρίστε ως σωστή (Σ) ή λάθος (Λ) καθεμιά από τις παρακάτω ισότητες και αιτιολογήστε την απάντησή σας.


3. Στο παρακάτω σχήμα υπάρχουν δύο ομόκεντροι κύκλοι με ακτίνες ΟΕ=R και ΟΑ=2R. Χαρακτηρίστε ως
σωστή (Σ) ή λάθος (Λ) καθεμιά από τις παρακάτω ισότητες και αιτιολογήστε την απάντησή σας.

|

Ασκήσεις Εμπέδωσης
1. Δίνεται κύκλος (O,R) και ισόπλευρο τρίγωνο εγγεγραμμένο σε αυτόν. Να βρεθεί το εμβαδόν του εγγεγραμμένου κύκλου του τριγώνου. 2. Δίνεται κύκλος (Κ) και τόξο του ΑΒ = 60°. Αν το τόξο ΑΒ έχει μήκος 4π cm, να βρείτε το εμβαδόν του
κύκλου (Κ). 3. Δίνεται ισόπλευρο τρίγωνο ΑΒΓ πλευράς α. Γράφουμε τα τόξα των κύκλων (Α, α), (Β, α) και (Γ, α) που
περιέχονται στις γωνίες A, Β και Γ αντίστοιχα. Να
υπολογίσετε ως συνάρτηση του α την περίμετρο και το
εμβαδόν του καμπυλόγραμμου τριγώνου ΑΒΓ. 4. Στο διπλανό σχήμα
έχει σχεδιαστεί ένα
ημικύκλιο διαμέτρου
ΑΒ=2R και εξωτερικά
του τα ίσα ημικύκλια
με διαμέτρους ΟΑ, ΑΔ,
ΔΓ και ΓΒ. Αν (μ1),(μ2), (μ3) είναι τα εμβαδά των
τριών σχηματιζόμενων μηνίσκων και (κ) το εμβαδόν του ημικυκλίου, να αποδείξετε ότι
(μ1) + (μ2) + (μ3) + (κ) = (ΑΒΓΔ).

Μικροπείραμα 
5. Τρεις ίσοι κύκλοι ακτίνας R εφάπτονται εξωτερικά
ανά δύο στα σημεία Α, Β και Γ. Να βρείτε την περίμετρο και το εμβαδόν του καμπυλόγραμμου τριγώνου ΑΒΓ, ως συνάρτηση του R.
Αποδεικτικές Ασκήσεις
1. Δίνεται κύκλος (O,R) και ακτίνα του ΟΑ. Στην προέκταση της ΟΑ προς το Α παίρνουμε σημείο Β, ώστε
ΟΑ = ΑΒ. Αν ΒΓ είναι το εφαπτόμενο τμήμα που άγεται
από το Β προς τον κύκλο, να βρείτε την περίμετρο και
το εμβαδόν του μικτόγραμμου τριγώνου ΑΒΓ. 2. Δίνεται τετράγωνο ΑΒΓΔ πλευράς
α και τα τόξα ΒΔ και ΑΓ των
κύκλων (Α,α) και (Δ,α) αντίστοιχα. Να βρεθεί το εμβαδόν του
γραμμοσκιασμένου μέρους του τετραγώνου.

|
|
|
|
Ε Υ Κ Λ Ε Ι Δ Ε Ι Α Γ Ε Ω Μ Ε Τ Ρ Ι Α
|
3. Δυο ίσοι κύκλοι ακτίνας R έχουν διάκεντρο ίση με
R$\sqrt{2}$. Να βρεθεί το εμβαδόν του κοινού τους μέρους. 4. Δίνεται ένα ημικύκλιο διαμέτρου ΑΒ και στο εσωτερικό του τα ημικύκλια διαμέτρων ΑΓ και ΓΒ, όπου Γ
σημείο της διαμέτρου ΑΒ. Η κάθετος της ΑΒ στο Γ τέμνει το αρχικό ημικύκλιο στο Δ. Να αποδείξετε ότι το
εμβαδόν του χωρίου που περικλείεται μεταξύ των
τριών ημικυκλίων (άρβυλος του Αρχιμήδη) είναι ίσο
με το εμβαδόν του κύκλου διαμέτρου ΓΔ.
Μικροπείραμα 
5. Δίνεται κύκλος (O,R) και τόξο του ΑΒ = 60°.
Να
βρεθεί το εμβαδόν του εγγεγραμμένου κύκλου στον κυκλικό
τομέα OΑΒ
Σύνθετα θέματα
1. Έστω τρίγωνο ΑΒΓ εγγεγραμμένο σε κύκλο (O,R).
Οι πλευρές ΑΒ και ΒΓ είναι αντίστοιχα πλευρές κανονικού εξαγώνου και ισόπλευρου τριγώνου εγγεγραμμένου στον κύκλο Να υπολογισθούν:
|
i) το μήκος της πλευράς ΑΓ,
ii) ο λόγος των εμβαδών του τριγώνου ΑΒΓ και του
κύκλου (O,R)
iii) το εμβαδόν των τριών κυκλικών τμημάτων που
ορίζονται από τις πλευρές του τριγώνου ΑΒΓ και περιέχονται στις αντίστοιχες κυρτές γωνίες. 2. Δίνεται κύκλος (O,R). Με κέντρο τυχαίο σημείο του
και ακτίνα την πλευρά του τετραγώνου του εγγεγραμμένου σε αυτόν, γράφουμε κύκλο. Να βρεθεί το εμβαδόν του κοινού μέρους των δύο κυκλικών δίσκων. 3. Δύο ίσοι κύκλοι ακτίνας R έχουν διάκεντρο ίση με R$\sqrt{3}$. Να βρείτε, ως συνάρτηση του R, το εμβαδόν του
κοινού τους μέρους. 4. Δίνεται κύκλος (O, R) και μια διάμετρός του ΑΒ. Με
κέντρο το μέσο Γ του ενός ημικυκλίου και ακτίνα ΓΑ
γράφουμε κύκλο, ο οποίος ορίζει με το άλλο ημικύκλιο
τον μηνίσκο, έστω μ. Να αποδείξετε ότι το εμβαδόν του
μ ισούται με το εμβαδόν του τριγώνου ΑΒΓ. |
ΓΕΝΙΚΕΣ ΑΣΚΗΣΕΙΣ
1. Κανονικό εξάγωνο ΑΒΓΔΕΖ είναι εγγεγραμμένο σε
κύκλο (Ο, R) και έστω Κ, Λ, Μ, Ν, Ρ, Σ τα μέσα των
πλευρών του.
i) Να αποδείξετε ότι το ΚΛΜΝΡΣ είναι κανονικό
εξάγωνο με κέντρο το Ο.
ii) Να αποδείξετε ότι (ΚΛΜΝΡΣ) = 34 (ΑΒΓΔΕΖ) .
iii) Να βρεθεί, ως συνάρτηση του R, το μήκος του εγγεγραμμένου κύκλου στο ΚΛΜΝΡΣ. 2. Έστω κύκλος (O, R) και μία χορδή του ΑΒ = λν. Αν
ο κύκλος (Ο, α4) τέμνει τις ακτίνες ΟΑ και ΟΒ στα Α ' και Β' αντίστοιχα, να αποδείξετε ότι
i) το εμβαδόν ε του μικτόγραμμου τετραπλεύρου
ΑΒΒΆ' (με δύο πλευρές τόξα) ισούται με το εμβαδόν
του κυκλικού τομέα OΑ'Β' και
ii) 2νε = πR2. 3. Με βάσεις τις πλευρές ενός ν-γώνου και στο εξωτερικό του κατασκευάζουμε ν ορθογώνια με το ίδιο ύψος υ. Συνδέουμε τις εξωτερικές πλευρές τους με τόξα κύκλων που γράφουμε με κέντρα τις κορυφές και ακτίνα υ. Να βρεθεί το άθροισμα των εμβαδών των ν κυκλικών τομέων που σχηματίζονται. 4. Στο εσωτερικό τετραγώνου γράφουμε τέσσερις
ίσους κύκλους που εφάπτονται μεταξύ τους εξωτερικά
και εφάπτονται των πλευρών του τετραγώνου. Να
υπολογισθεί , ως συνάρτηση της πλευράς α του τετραγώνου
το εμβαδόν του χωρίου που περικλείεται από
τους τέσσερις κύκλους. |
5. Στο κυκλικό οικόπεδο ακτίνας R = 40m, του παρακάτω σχήματος, το εγγεγραμμένο τετράγωνο έχει το
μέγιστο δυνατό εμβαδόν και πρόκειται να πλακοστρωθεί. Στα τέσσερα κυκλικά τμήματα θα τοποθετηθούν ισάριθμες κυκλικές γλάστρες με το μέγιστο δυνατό εμβαδόν επίσης, ενώ το υπόλοιπο θα φυτευθεί με γκαζόν. Να βρεθεί το εμβαδόν:

i) του μέρους που θα πλακοστρωθεί, ii) του μέρους
που θα καλύπτουν οι γλάστρες, iii) του μέρους που θα
φυτευθεί με γκαζόν.
Μικροπείραμα 
6. Στο διπλανό σχήμα το τετράγωνο έχει πλευρά
α = 50 m.
Να βρεθεί: i) το εμβαδόν του εγγεγραμμένου κύκλου, ii) το εμβαδόν καθενός από τους τέσσερις
κύκλους που εφάπτονται εσωτερικά του τετραγώνου και εξωτερικά του εγγεγραμμένου κύκλου.

|
|
|
|
Κ Ε Φ Α Λ Α Ι Ο 11. Μ Ε Τ Ρ Η Σ Η Κ Υ Κ Λ Ο Υ
|
7. Να βρεθεί η μικρότερη γωνία που σχηματίζουν οι
προεκτάσεις των πλευρών ενός κανονικού δεκαπενταγώνου.
Μικροπείραμα 
8. Θεωρούμε ημικύκλιο διαμέτρου ΑΒ και σημείο της
Γ. Μεταβλητή ημιευθεία Γx κάθετη στην ΑΒ τέμνει το
ημικύκλιο στο σημείο Σ. Πάνω στη Γx παίρνουμε
σημείο Μ, ώστε να ισχύει ΑΜ2 = 2ΑΣ2 και φέρουμε
ευθεία κάθετη στην ΑΜ στο Μ, που τέμνει την προέκταση της ΑΒ στο Δ. Τότε
i) να αποδείξετε ότι ΑΔ =2ΑΒ,
ii) να βρείτε το γεωμετρικό τόπο του σημείου Μ, καθώς η ημιευθεία Γx μεταβάλλεται,
iii) να αποδείξετε ότι το μήκος της γραμμής που γράφει το Μ ισούται με το μήκος του ημικυκλίου διαμέτρου ΑΒ.
Μικροπείραμα 
9. Δίνεται ημικύκλιο διαμέτρου ΒΟΓ = 2R, τυχαίο
σημείο του Δ και το μέσο Α του τόξου BΔ.
i) Αν ε1,ε2 είναι τα εμβαδά των κυκλικών τμημάτων
των χορδών ΑΓ, ΑΒ αντίστοιχα, να αποδείξετε ότι
ε1 - ε2 = (ΟΓΔ), όπου (ΟΓΔ) το εμβαδόν του
κυκλικού τομέα (ΟΓΔ).
ii) Να αποδείξετε ότι ο μέγιστος κύκλος που εγγράφεται στο κυκλικό τμήμα χορδής ΑΓ (δηλαδή βρίσκεται
στο εσωτερικό του κυκλικού τμήματος και εφάπτεται
στο τόξο και τη χορδή), είναι αυτός που εφάπτεται στο
μέσο της χορδής ΑΓ. |
iii) Έστω Ε1,Ε2 τα εμβαδά των μέγιστων κύκλων των
εγγεγραμμένων στα κυκλικά τμήματα χορδών ΑΓ,ΑΒ
αντίστοιχα,

10.
Δύο ίσοι κύκλοι με κέντρα Ο και Ο' αντίστοιχα
εφάπτονται εξωτερικά στο Α. Φέρουμε δύο ακτίνες
ΟΒ και Ο'Β' παράλληλες μεταξύ τους και στο ίδιο
ημιεπίπεδο ως προς την ΟΟ'. Κατασκευάζουμε εξωτερικά από τους δύο κύκλους το ημικύκλιο διαμέτρου ΒΒ '. Να αποδείξετε ότι:

(iv) το εμβαδόν ε του καμπυλόγραμμου σχήματος με
πλευρές τα τόξα ΑΒ, ΒΒ' και ΑΒ' είναι ίσο με το
εμβαδόν του παραλληλογράμμου ΟΒΒ Ο'. Αν τα Β,Β' κινούνται πάνω στους κύκλους, ώστε οι ακτίνες ΟΒ και
Ο'Β' να διατηρούν τις αρχικές ιδιότητες, σε ποια θέση
των Β, Β' το εμβαδόν ε γίνεται μέγιστο;
Μικροπείραμα - Πολυγωνική Σπείρα 
|
ΙΣΤΟΡΙΚΟ ΣΗΜΕΙΩΜΑ
|
Τα μη επιλύσιμα γεωμετρικά προβλήματα της αρχαιότητας
Τον 5ο αι. διατυπώθηκαν στην αρχαία Ελλάδα τρία
προβλήματα που έμελλε να γίνουν πασίγνωστα. Πρόκειται για το πρόβλημα του διπλασιασμού του κύβου,
της τριχοτόμησης γωνίας και του τετραγωνισμού του
κύκλου. Η ιστορία των προβλημάτων αυτών είναι πολύ
μεγάλη. Αρκεί να σκεφτεί κανείς ότι τα δύο πρώτα λύθηκαν στις αρχές μόνον του περασμένου αιώνα, ενώ το
τρίτο στα τέλη του. Αποδείχθηκε ότι και τα τρία προβλήματα δεν είναι επιλύσιμα με τα μέσα που ορίζονται
στα «Στοιχεία» του Ευκλείδη, δηλαδή με κανόνα και
διαβήτη. Η ιστορική σημασία αυτών των προβλημάτων συνίσταται στο ότι ήταν οι πρώτες αποδείξεις μη
επιλυσιμότητας στα μαθηματικά. Αποδείχθηκε ότι ορισμένες κατασκευές ήταν αδύνατον να πραγματοποιηθούν με ορισμένα μέσα (τον κανόνα και το διαβήτη).
|
|
Ο διπλασιασμός του κύβου. Αν συμβολίσουμε με α την ακμή ενός κύβου, τότε το πρόβλημα του διπλασιασμού του κύβου συνίσταται στο να βρεθεί η ακμή κύβου που να έχει όγκο διπλάσιο από το δεδομένο κύβο,
δηλαδή ζητείται να βρεθεί το μέγεθος x, για το οποίο
να ισχύει x3 = 2α3. Η προέλευση του προβλήματος δεν
είναι ιστορικά εξακριβωμένη. Σύμφωνα με έναν θρύλο
που αναφέρει ο Πλούταρχος, το πρόβλημα ετέθη σε
ένα χρησμό που απαιτούσε από τους κατοίκους της Δήλου να διπλασιάσουν το βωμό του Απόλλωνα προκειμένου να σταματήσει η επιδημία που είχε εξαπλωθεί
στο νησί. Γι' αυτό ονομάζεται και Δήλιο πρόβλημα. Ο
πρώτος που το μελέτησε ήταν ο Ιπποκράτης ο Χίος,
που το ανήγαγε στην εύρεση δύο μέσων αναλόγων σε
συνεχή αναλογία μεταξύ δύο δοσμένων μεγεθών, δηλαδή στην εύρεση δύο μεγεθών x, y, τέτοιων, ώστε αx = xy = y2α. |
|
|
|
Κ Ε Φ Α Λ Α Ι Ο 11. Μ Ε Τ Ρ Η Σ Η Κ Υ Κ Λ Ο Υ
ΙΣΤΟΡΙΚΟ ΣΗΜΕΙΩΜΑ
Αργότερα, ο Αρχύτας ο Ταραντίνος
έδειξε ότι το μέγεθος x μπορεί να βρεθεί ως τομή, ενός κώνου, ενός κυλίνδρου και της επιφάνειας που
λαμβάνεται από την περιστροφή μιας περιφέρειας περί
την εφαπτομένη της, δηλ. της επιφάνειας «κρίκου»
(torus) μηδενικού ανοίγματος. Η λύση του Αρχύτα
αποδείκνυε την ύπαρξη δύο μέσων αναλόγων μεταξύ
δύο οιωνδήποτε μεγεθών, ωστόσο η μέθοδός του
ξέφευγε από τα καθιερωμένα μέσα του κανόνα και του
διαβήτη.
Οι μεταγενέστερες αναζητήσεις στράφηκαν στην εύρεση εναλλακτικών τρόπων κατασκευής των μέσων αναλόγων των δύο δεδομένων μεγεθών που απαιτούνται από την αναλογία του Ιπποκράτη:
αy = x2 και xy = α(2α) ή y2 = (2α)x
H κατασκευή των συντεταγμένων του σημείου τομής
των δύο αυτών γεωμετρικών τόπων δίνει τη λύση του
προβλήματος. Όμως η μελέτη τέτοιων τόπων δεν ήταν
απλό πράγμα στην αρχαιότητα. Πρώτα απ' όλα έπρεπε
να αποδειχθεί ότι οι τόποι αυτοί ήταν συνεχείς καμπύλες, προκειμένου να μιλήσουμε για σημείο τομής.
Μόνον ο Μέναιχμος (δεύτερο ήμισυ του 4ου αι.) μπόρεσε να παραστήσει τους τόπους αυτούς ως επίπεδες
τομές κώνων εκ περιστροφής. Είναι πιθανό ο στερεομετρικός αυτός προσδιορισμός του σημείου τομής,
όπως και στην περίπτωση του Αρχύτα, να έπαιζε ρόλο
απόδειξης της ύπαρξης και της συνέχειας των υπό μελέτη γεωμετρικών τόπων. Οι αρχαίοι Έλληνες αντιμετώπισαν τον πρόβλημα του διπλασιασμού του κύβου από διάφορες σκοπιές. Ο Ευτόκιος αναφέρει περί τις 12 προτεινόμενες λύσεις. Από τις λύσεις αυτές ορισμένες είναι μηχανικές, όπως π.χ. του Ερατοσθένη (3ος αι. π.Χ.) που πραγματοποιείται με τη βοήθεια ενός μηχανικού οργάνου, του «μεσολάβου», ή η λύση που αποδίδεται στον Πλάτωνα. Αλλες πάλι γίνονται με την εισαγωγή νέων καμπυλών, όπως οι λύσεις του Διοκλή και
του Νικομήδη, που πραγματοποιούνται με τη βοήθεια
των φερώνυμων καμπυλών. Πάντως μέχρι την εποχή
του Ευκλείδη (τέλη του 4ου αι.) πρέπει να είχε εδραιωθεί η πεποίθηση ότι το πρόβλημα του διπλασιασμού
του κύβου δεν είναι επιλύσιμο με κανόνα και διαβήτη.
Η πρώτη προσπάθεια να αποδειχθεί η μη επιλυσιμότητα της ειδικής περίπτωσης κυβικής εξίσωσης x3 + 2x2 + 10x = 20, με τη βοήθεια των τετραγωνικών αρρήτων
του Βιβλίου Χ των «Στοιχείων» του Ευκλείδη, έγινε
από το Λεονάρδο της Πίζας. Μετά από αυτόν πέρασαν
τετρακόσια περίπου χρόνια μέχρι που ο Ντεκάρτ να
διατυπώσει το γενικό κριτήριο επιλυσιμότητας μιας κυβικής εξίσωσης: οι ρίζες μιας κυβικής εξίσωσης με ρητούς συντελεστές μπορούν να κατασκευασθούν με κανόνα και διαβήτη, όταν η εξίσωση είναι αναγώγιμη,
δηλαδή έχει τουλάχιστον μία ρητή ρίζα |
|
(ο Ντεκάρτ
υπέθετε ότι όλες οι ρίζες είναι πραγματικές). Το 1637 διατύπωσε την υπόθεση ότι η κατασκευή τμήματος
ίσου με $\sqrt[3]{2}$ δηλαδή της λύσης της εξίσωσης x3 = 2α3 για α = 1, δεν είναι δυνατή με κανόνα και διαβήτη.
Όμως τη μη επιλυσιμότητα του προβλήματος του διπλασιασμού του κύβου με κανόνα και διαβήτη απέδειξε το 1837 ο Π. Βάντσελ (Pierre Laurent Wantzell,
1814-1848). Η τριχοτόμηση γωνίας. Στο πρόβλημα αυτό ζητείται
να διαιρεθεί μια γωνία σε τρία ίσα μέρη. Συνυφασμένες με τη λύση του προβλήματος αυτού είναι η εφαρμογή από τον Αρχιμήδη της μεθόδου της νεύσης και η
εισαγωγή μιας νέας καμπύλης, της τετραγωνίζουσας. Η
μέθοδος της νεύσης συνίσταται στην τοποθέτηση ενός
ευθύγραμμου τμήματος ορισμένου μήκους μεταξύ δύο
δεδομένων γραμμών έτσι, ώστε τα άκρα του ευθύγραμμου τμήματος να βρίσκονται πάνω στις γραμμές και το ίδιο το τμήμα ή η προέκτασή του να διέρχεται από δεδομένο σημείο.
Οι δεδομένες γραμμές που εξέταζαν οι αρχαίοι γεωμέτρες ήταν συνήθως η ευθεία και η περιφέρεια. Ωστόσο, αν ένα πρόβλημα λύνεται με τη μέθοδο της νέυσης,
τότε η φύση του προβλήματος παραμένει ασαφής. Αν
το ευθύγραμμο τμήμα κινείται έτσι ώστε το ένα άκρο
του να βρίσκεται στη μία από τις δεδομένες γραμμές,
ενώ η προέκτασή του διέρχεται από το δεδομένο σημείο, τότε το δεύτερο άκρο θα γράψει καμπύλη (Κ). H
εφαρμογή της μεθόδου της νεύσης ισοδυναμεί με την
εύρεση του σημείου τομής της καμπύλης (Κ) με τη
δεύτερη δεδομένη γραμμή. Όμως η μέθοδος της
νεύσης δεν δίνει καμιά πληροφορία για τη φύση της
καμπύλης (Κ), η οποία μπορεί να είναι απλή, ή αρκετά
πολύπλοκη. Ίσως για το λόγο αυτό οι αρχαίοι γεωμέτρες απέφευγαν την μέθοδο αυτή.

Σχήμα 1
Η τριχοτόμηση γωνίας με τη μέθοδο της νεύσης γίνεται
ως εξής: Έστω η γωνία ΑΒΓ=3φ (Σχ. 1) που πρέπει να
διαιρεθεί σε τρία ίσα μέρη. Γράφουμε κύκλο κέντρου
Β, και προεκτείνουμε την AB προς την άλλη μεριά από
το κέντρο Β. Μεταξύ της ευθείας BE και του κύκλου
τοποθετούμε το τμήμα EZ μήκους R, έτσι, ώστε η προέκτασή του να διέρχεται από το σημείο Γ (το σημείο
τομής της πλευράς ΒΓ με το κύκλο). Τότε ΖΕΔ = 1/3
ΓΒΑ.
Τον 5ο αι. π.Χ. ο Ιππίας ο Ηλείος εισήγαγε με κινηματικό
ορισμό μία νέα
καμπύλη, την οποία ο
Λάιμπνιτς ονόμασε
αργότερα τετραγωνίζουσα.
|
|
|
|
Ε Υ Κ Λ Ε Ι Δ Ε Ι Α Γ Ε Ω Μ Ε Τ Ρ Ι Α
ΙΣΤΟΡΙΚΟ ΣΗΜΕΙΩΜΑ
|

Σχήμα 2
Έστω ότι τα τμήματα
ΟΑ και ΑΒ (Σχ. 2)
αρχίζουν να κινούνται
ταυτόχρονα, ώστε το ΟΑ
να περιστρέφεται περί το
Ο ομοιόμορφα κατά τη
φορά των δεικτών του
ωρολογίου και το ΑΒ να κατέρχεται ομοιόμορφα
παραμένοντας παράλληλο προς τον εαυτό του, μέχρις
ότου τα δύο τμήματα να καταλήξουν στη θέση ΟΓ
ταυτόχρονα. Ο γεωμετρικός τόπος των σημείων τομής
M των δύο τμημάτων γράφει την τετραγωνίζουσα. Από
τον ορισμό της καμπύλης προκύπτει άμεσα ότι οι
τεταγμένες της καμπύλης είναι ανάλογες των αντίστοιχων γωνιών y:y1 = φ:φ1. Με τη βοήθεια της ίδιας
καμπύλης μπορεί να λυθεί και το πρόβλημα του τετραγωνισμού του κύκλου. Τον 10ο αι. ο Θαμπίτ Ιμπν
Κούρρα στην πραγματεία του «Διαίρεση της ορθής
γωνίας σε τρία ίσα μέρη», ακολουθώντας την παράδοση του Αρχιμήδη, ανάγει το πρόβλημα σε κατασκευή
με τη βοήθεια της νεύσης. Στη μεσαιωνική Αραβική
γραμματεία επιχειρείται η σύνδεση του προβλήματος
της τριχοτόμησης γωνίας με την άλγεβρα και την τριγωνομετρία. Το 15ο αι. ο αλ-Κασί στην απολεσθείσα
«Πραγματεία περί χορδής και ημίτονου» προτείνει μια
πρωτότυπη αναδρομική μέθοδο για τη λύση της εξίσωσης της τριχοτόμησης γωνίας, δηλ. της κυβικής
εξίσωσης της μορφής x3 + q = px, όπου x=ημ φ, p=3/4,
q=(1/4)ημ 3φ. Η μέθοδος του αλ-Κασί μας είναι μας
είναι γνωστή από την «Πραγματεία» του αλ-Ρουμί
(14ος-15ος αι.) και τα σχόλια του Μιρίτ Τσελεμπί
στους αστρονομικούς πίνακες του Ούλουγκμπεκ.
Στα τέλη του 16ου αι. ο Φ. Βιέτ στο «Συμπλήρωμα της
Γεωμετρίας» απέδειξε ότι η λύση οποιασδήποτε κυβικής εξίσωσης οδηγεί είτε σε νεύση είτε σε τριχοτόμηση γωνίας, και με τη βοήθεια τριγωνομετρικών
μέσων βρήκε τη λύση της κυβικής εξίσωσης στη
λεγόμενη «μη αναγώγιμη» περίπτωση (ο όρος αυτός
εισήχθηκε από τον Καρντάνο για να υποδηλώσει την
περίπτωση που η κυβική εξίσωση έχει τρεις πραγματικές λύσεις που εμφανίζονται ως άθροισμα ή διαφορά
των αριθμών που σήμερα ονομάζουμε μιγαδικούς). Ο
Βιέτ γνώριζε επίσης τις αλγεβρικές εξισώσεις που
αντιστοιχούν στη διαίρεση γωνίας όχι μόνο σε τρία,
αλλά και σε πέντε ή επτά ίσα μέρη. Πρώτος ο Ντεκάρτ
το 1637 εξέφρασε τη γνώμη ότι ο κανόνας και ο διαβήτης είναι ανεπαρκή για τη λύση του προβλήματος
|
|
αυτού στη γενική περίπτωση. Όμως ολοκληρωμένη
απόδειξη της υπόθεσης του Ντεκάρτ δόθηκε μόνον το
1837 από τον Π. Βάντσελ. Ο τετραγωνισμός του κύκλου. Το πρόβλημα του τετραγωνισμού του κύκλου συνίσταται στην κατασκευή
τετραγώνου ισοδύναμου με δεδομένο κύκλο. Αν το
πρόβλημα του διπλασιασμού του κύβου και της
τριχοτόμησης γωνίας ανάγεται σε πρόβλημα λύσης
κυβικής εξίσωσης, το πρόβλημα του τετραγωνισμού
του κύκλου ανάγεται στην κατασκευή ενός τμήματος
ίσου με π. Ο Ιπποκράτης ο Χίος προσπάθησε να λύσει
το πρόβλημα αυτό με τον τετραγωνισμό μηνίσκων.

Σχήμα 3
Ο
Ιπποκράτης βρήκε τρία
είδη τέτοιων μηνίσκων.
Ένας από αυτούς είναι ο
μηνίσκος που περικλείεται από το τεταρτοκύκλιο ΒAΓ και του ημικυκλίου
με διάμετρο τη χορδή ΑΓ (σχ. 3). Το εμβαδόν του μηνίσκου
αυτού είναι ίσο με το
εμβαδόν του τριγώνου ΑΒΓ. Η
ιστορία των μηνίσκων αρκετά μεγάλη. Το 1840 ο Κλάουζεν βρήκε άλλους δύο μηνίσκους, αλλά το 1930-40 οι Ρώσοι μαθηματικοί Ν.Γ. Τσεμποταριόφ και ο Α.Β. Ντοροντνόφ, χρησιμοποιώντας μεθόδους της θεωρίας Γκαλουά, απέδειξαν ότι υπάρχουν πέντε είδη μηνίσκων αλλά κανένας δεν τετραγωνίζει τον κύκλο.
Ο τετραγωνισμός του κύκλου είναι συνυφασμένος με
την αριθμητική φύση του αριθμού π. Βασιζόμενος στη
θεωρία των αναλογιών του Ευδόξου και κάνοντας χρήση της μεθόδου της εξάντλησης ο Αρχιμήδης στο έργο
του «Κύκλου μέτρηση» αποδεικνύει ότι το εμβαδόν
κύκλου είναι ισοδύναμο με το εμβαδόν ορθογώνιου
τριγώνου, η μία κάθετος του οποίου είναι η ακτίνα της
περιφέρειας και η άλλη το μήκος της περιφέρειας.
Αυτό δίνει τη δυνατότητα να αναχθεί το πρόβλημα του
τετραγωνισμού του κύκλου στην εύρεση του μήκους
της περιφέρειας. Στα τέλη του 18ου αι. ο Ι. Λάμπερτ
και ο Α. Λεζάντρ απέδειξαν ότι ο π είναι άρρητος.
Μόλις ο 1882 ο Λίντεμαν (K.L.F. von Lindemann) και
ο Σ. Ερμίτ (Charles Hermite, 1822-1901) απέδειξαν ότι
ο αριθμός π είναι υπερβατικός, δηλ. δεν ικανοποιεί
καμιά αλγεβρική εξίσωση με ακέραιους συντελεστές.
Κατά συνέπεια, το πρόβλημα του τετραγωνισμού του
κύκλου δεν μπορεί να αναχθεί σε αλγεβρική εξίσωση.
Το θεώρημα του Λίντεμαν αποδεικνύει τη μη
επιλυσιμότητα του προβλήματος του τετραγωνισμού
του κύκλου με κανόνα και διαβήτη.
|
Μικροπείραμα  |
|
Μικροπείραμα  |
Μικροπείραμα  |
|
Μικροπείραμα  |
|
|
|
Κ Ε Φ Α Λ Α Ι Ο 11. Μ Ε Τ Ρ Η Σ Η Κ Υ Κ Λ Ο Υ
ΑΝΑΚΕΦΑΛΑΙΩΤΙΚΟ ΔΙΑΓΡΑΜΜΑ

|
|
|
Ε Υ Κ Λ Ε Ι Δ Ε Ι Α Γ Ε Ω Μ Ε Τ Ρ Ι Α

«Διαλογιζόμενος Δάσκαλος» Μ. Γκατζώνης
|
|
|
ΠΑΡΑΤΗΡΗΣΗ
Αποδεικνύεται ότι, αν τα σημεία Α1 ,Α2,....Αν διαιρούν έναν κύκλο σε ν ίσα τόξα, τότε το πολύγωνο Α1Α2..Αν (σχ.6α) καθώς και το πολύγωνο Β1,Β2,...Βν , που σχηματίζουν οι εφαπτόμενες του κύκλου στα σημεία αυτά (σχ.6β) είναι κανονικά.