Β1 = Γ1), οπότε: (ΖΒΑ) = (ΗΓΔ) (1).
Από το σχήμα όμως έχουμε ότι (ΑΒΓΔ) = (ABZ) + (ΑΖΓΔ),
οπότε σύμφωνα με την (1) προκύπτει ότι
(ΑΒΓΔ) = (ΑΖΓΔ) + (ΔΓΗ) = (ΑΖΗΔ).
Επομένως σύμφωνα με το θεώρημα I έχουμε
(ΑΒΓΔ)=(ΑΖΗΔ)=ΑΔ • ΑΖ= ΒΓ • ΑΖ,
που είναι το ζητούμενο.
Μικροπείραμα
Μικροπείραμα 
Μικροπείραμα 
Με τη βοήθεια του εμβαδού του παραλληλογράμμου θα υπολογίσουμε τον τύπο του εμβαδού τριγώνου.
ΘΕΩΡΗΜΑ IΙI
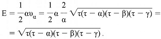
Το εμβαδόν Ε ενός τριγώνου είναι ίσο με το ημιγινόμενο μιας πλευράς επί το αντίστοιχο ύψος.
$Ε = \dfrac{1}{2}α \cdot υ_α = \dfrac{1}{2}β \cdot υ_β = \dfrac{1}{2}γ \cdot υ_γ$
Με πλευρές ΑΒ και ΒΓ (σχ.9) σχηματίζουμε το παραλληλόγραμμο ΑΒΓΔ, το εμβαδόν του οποίου είναι
(ΑΒΓΔ) = α•υα (1).
Όμως τα τρίγωνα ΑΒΓ και ΔΑΓ είναι ίσα, οπότε:
(ΑΒΓ) = (ΑΔΓ) (2).
Από το σχήμα έχουμε ότι (ΑΒΓΔ) = (ΑΒΓ)+ (ΑΓΔ) η οποία,
σύμφωνα με τις (1) και (2), μετατρέπεται στην
α•υα = 2(ΑΒΓ) ή (ΑΒΓ) = 12 α•υα .
Μικροπείραμα 
Τέλος, τον τύπο του εμβαδού τριγώνου θα τον αξιοποιήσουμε
για να υπολογίσουμε το εμβαδόν του τραπεζίου.
ΘΕΩΡΗΜΑ IV
Το εμβαδόν τραπεζίου ισούται με το γινόμενο του ημιαθροίσματος των βάσεών του επί το ύψος του.
$E = \dfrac{(B+β)}{2} \cdot υ$
όπου Β, β οι βάσεις του τραπεζίου και υ το ύψος του.
ΠΑΡΑΤΗΡΗΣΗ
Ο προηγούμενος τύπος (3) ισχύει και στην περίπτωση οποιουδήποτε κυρτού ή μη κυρτού, τετραπλεύρου με κάθετες διαγωνίους.
Πράγματι (σχ. 13, 14)
(ΑΒΓΔ) = (ΑΒΔ) + (ΒΓΔ) =
= 12 ΒΔ • ΑΟ + 12 ΒΔ • ΟΓ = 12 ΒΔ (ΑΟ + ΟΓ) = 12 ΒΔ • ΑΓ.
Μια γενίκευση του τύπου (3), για την περίπτωση του τετραπλεύρου αποτελεί η άσκηση 7 των αποδεικτικών ασκήσεων.