Μαθηματικά (Β Λυκείου Θετικών Σπουδών) - Βιβλίο Μαθητή
4.1 Η ΜΑΘΗΜΑΤΙΚΗ ΕΠΑΓΩΓΗ 4.3 ΔΙΑΙΡΕΤΟΤΗΤΑ Επιστροφή στην αρχική σελίδα του μαθήματος

4.2 ΕΥΚΛΕΙΔΕΙΑ ΔΙΑΙΡΕΣΗ

Ας υποθέσουμε ότι θέλουμε να βρούμε το πηλίκο και το υπόλοιπο της διαίρεσης του 22 με τον 5. Σύμφωνα με το γνωστό αλγόριθμο της διαίρεσης, το πηλίκο θα είναι ένας ακέραιος κ, τέτοιος, ώστε:

Εικόνα

Για να βρούμε, λοιπόν, το κ, σχηματίζουμε τις διαφορές:

Εικόνα

Παρατηρούμε ότι αφού οι αριθμοί αυτοί συνεχώς μειώνονται, από ένα σημείο και μετά θα είναι όλοι αρνητικοί. Ο μικρότερος μη αρνητικός ακέραιος από τους παραπάνω αριθμούς, ο οποίος είναι μικρότερος του 5, είναι ο 22 − 4∙5 = 2. Συμπεραίνουμε, λοιπόν, ότι το πηλίκο της διαίρεσης του 22 με τον 5 είναι 4 και το υπόλοιπο 2 και έχουμε:

Εικόνα

Γενικά, ισχύει:

ΘΕΩΡΗΜΑ 1

Αν α και β είναι φυσικοί αριθμοί με Εικόνα , τότε υπάρχουν μοναδικοί φυσικοί κ και υ , τέτοιοι, ώστε
                                                           Εικόνα


ΑΠΟΔΕΙΞΗ

• Θεωρούμε τους ακέραιους α, α- β, α -2β, α -3β,... και από αυτούς παίρνουμε τους μη αρνητικούς. Σχηματίζουμε δηλαδή το σύνολο

Εικόνα

Το σύνολο αυτό είναι υποσύνολο του N και επιπλέον είναι διάφορο του κενού, αφού περιέχει τον Εικόνα . Αν υ είναι το ελάχιστο στοιχείο 1 του S , τότε θα υπάρχει Εικόνα , τέτοιος, ώστε υ=α- κβ , οπότε θα ισχύει

Εικόνα

Για τον υ πρέπει να δείξουμε ότι είναι και μικρότερος του β . Ας υποθέσουμε λοιπόν ότι Εικόνα . Τότε

Εικόνα

Άρα, ο υ -β είναι στοιχείο του συνόλου S , του οποίου ελάχιστο στοιχείο είναι το υ . Έτσι θα ισχύει Εικόνα , που είναι άτοπο. Επομένως, Εικόνα .

• Μένει τώρα να αποδείξουμε ότι οι φυσικοί αριθμοί κ και υ είναι μοναδικοί. Ας υποθέσουμε ότι και οι φυσικοί κ' και υ' έχουν την ιδιότητα

Εικόνα

Επειδή Εικόνα οπότε

Εικόνα

1 Αποδεικνύεται ότι κάθε μη κενό υποσύνολο των φυσικών αριθμών έχει ελάχιστο στοιχείο ("αρχή της καλής διάταξης")

Όμως, Εικόνα. Επομένως, με πρόσθεση κατά μέλη έχουμε:

Εικόνα

Αλλά ο μοναδικός ακέραιος μεταξύ -1 και 1 είναι το 0. Άρα κ' - κ =0 , δηλαδή κ' = κ , οπότε και υ'=υ . ■

Αποδεικνύεται ότι το θεώρημα ισχύει γενικότερα για οποιουσδήποτε ακέραιους α και β , με Εικόνα και διατυπώνεται ως εξής:


Αν α και β ακέραιοι με Εικόνα , τότε υπάρχουν μοναδικοί ακέραιοι κ και υ, τέτοιοι, ώστε
Εικόνα

Η διαδικασία εύρεσης των κ, υ λέγεται ευκλείδεια ή αλγοριθμική διαίρεση του α με τον β. Το κ λέγεται πηλίκο και το υ υπόλοιπο της διαίρεσης αυτής. Όταν το υπόλοιπο μιας ευκλείδειας διαίρεσης είναι ίσο με το 0, η διαίρεση λέγεται τέλεια.

Ας δούμε με παραδείγματα πώς εργαζόμαστε στις διάφορες περιπτώσεις, για να βρούμε το πηλίκο και το υπόλοιπο μιας ευκλείδειας διαίρεσης.

• Έστω λοιπόν α= -92 με τον β= 5 . Από τη διαίρεση του 92 με τον 5 έχουμε Εικόνα και επομένως,

Εικόνα

Άρα, Εικόνα , που σημαίνει ότι το πηλίκο της διαίρεσης του -92 με τον 5 είναι -19 και το υπόλοιπο είναι 3.

• Έστω τώρα α= -92 και β= -5. Από την ισότητα Εικόνα έχουμε διαδοχικά

Εικόνα

Άρα, Εικόνα, που σημαίνει ότι το πηλίκο της διαίρεσης του -92 με τον -5 είναι 19 και το υπόλοιπο είναι 3.

• Έστω, τέλος, α= 92 και β= -5 . Πάλι από την ισότητα Εικόνα έχουμε:

Εικόνα

που σημαίνει ότι το πηλίκο της διαίρεσης του 92 με τον -5 είναι -18 και το υπόλοιπο είναι 2.


ΣΧΟΛΙΟ

Όταν ο διαιρέτης της ευκλείδειας διαίρεσης είναι ο β= 2 , τότε τα δυνατά υπόλοιπα είναι υ=0 ή υ=1 .

Αν υ=0, ο ακέραιος α έχει τη μορφή Εικόνα και λέγεται άρτιος, ενώ

Αν υ=1 , ο ακέραιος έχει τη μορφή Εικόνα και λέγεται περιττός.

Γενικά, τα δυνατά υπόλοιπα του α με τον Εικόνα είναι οι αριθμοί

Εικόνα


ΕΦΑΡΜΟΓΕΣ

1. Αν ο α είναι ακέραιος, τότε και ο Εικόνα είναι ακέραιος.

ΑΠΟΔΕΙΞΗ

Επειδή τα δυνατά υπόλοιπα του α με τον 3 είναι 0, 1, 2, ο ακέραιος α έχει μία από τις μορφές Εικόνα.

Εικόνα


2. Να αποδειχτεί ότι:

(i) Το γινόμενο δύο διαδοχικών ακεραίων είναι άρτιος αριθμός.

(ii) Το τετράγωνο κάθε περιττού ακεραίου είναι της μορφής Εικόνα.

ΑΠΟΔΕΙΞΗ

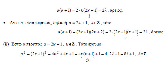
(i) Έστω δύο διαδοχικοί ακέραιοι α, α+1 .


• Αν ο α είναι άρτιος, δηλαδή Εικόνα, τότε

Εικόνα

Ασκήσεις

Α' ΟΜΑΔΑΣ
1.

Να βρείτε το πηλίκο και το υπόλοιπο της ευκλείδειας διαίρεσης του α με τον β σε καθεμιά από τις παρακάτω περιπτώσεις:

Εικόνα
2.

Να αποδείξετε ότι:

Εικόνα
3.

Αν α είναι ένας περιττός ακέραιος, να αποδείξετε ότι

Εικόνα
4.

Μπορεί ο αριθμός 25 να γραφεί ως άθροισμα 10 προσθετέων, καθένας από τους οποίους να είναι ίσος με 1 ή 3 ή 5;

Β' ΟΜΑΔΑΣ
1.

Για ποιες τιμές του θετικού ακεραίου β το πηλίκο της διαίρεσης του 660 με τον β είναι ίσο με 17; Ποιο είναι το υπόλοιπο της διαίρεσης αυτής σε καθεμιά περίπτωση;

2.

Αν α,β,γ είναι περιττοί ακέραιοι, να αποδείξετε ότι η εξίσωση αx2 + βx + γ=0 δεν έχει ακέραιες λύσεις.

Έχει ακέραιες λύσεις η εξίσωση x2 + 31997x + 2001=0;

3.

Αν α,β είναι δύο περιττοί ακέραιοι, να αποδείξετε ότι

Εικόνα
4.

Για ποιες τιμές του ακεραίου κ ο αριθμός Εικόνα είναι ακέραιος;

5.

Να αποδείξετε ότι:

(i) Το τετράγωνο ενός άρτιου είναι της μορφής Εικόνα, ενώ το τετράγωνο ενός περιττού είναι της μορφής Εικόνα.

(ii) Αν α,β είναι περιττοί ακέραιοι, τότε η εξίσωση x222 δεν έχει ακέραιες ρίζες.

(iii) Κανένας από τους όρους της αριθμητικής προόδου: 6,10,14,18,22... δεν είναι τετράγωνο φυσικού αριθμού.