| 1. |
- Να αποδείξετε την ταυτότητα
α2 + β2 + γ2 - αβ - βγ - γα = [(α - β)2 + (β - γ)2 + (γ - α)2].
- Να αποδείξετε ότι για όλους τους α, β, γ ∈ℝ ισχύει
α2 + β2 + γ2≥ αβ + βγ + γα.
Πότε ισχύει ισότητα; |
| 2. |
Λέμε ότι μια τριάδα θετικών ακεραίων (β, γ, α) είναι
πυθαγόρεια τριάδα όταν β2 + γ2 = α2 , δηλαδή όταν οι β, γ, α είναι πλευρές ορθογωνίου τριγώνου.
| i. |
Αν (β, γ, α) είναι μια πυθαγόρεια τριάδα και κ είναι ένας θετικός
ακέραιος, να αποδείξετε ότι και η τριάδα (κβ, κγ, κα) είναι επίσης πυθαγόρεια τριάδα. |
| ii. |
Αν μ και ν θετικοί ακέραιοι με μ>ν, να δείξετε
ότι η τριάδα (μ2 - ν2, 2μν, μ2 + ν2) είναι πυθαγόρεια τριάδα. Στη συνέχεια να συμπληρώσετε
τον πίνακα με τις πυθαγόρειες τριάδες που αντιστοιχούν στις τιμές των μ και ν που δίνονται στις δυο πρώτες στήλες: |
 |
| |
 |
|
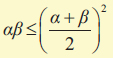
| 3. |
A) Να αποδείξετε ότι . Τι σημαίνει η ανισότητα αυτή για
ένα ορθογώνιο με διαστάσεις α και β ; Πότε ισχύει η ισότητα;
B) Με τη βοήθεια της παραπάνω ανισότητας (ή και με άλλο τρόπο), να αποδείξετε ότι:
- Από όλα τα ορθογώνια με σταθερή περίμετρο P το τετράγωνο έχει
το μεγαλύτερο εμβαδό.
- Από όλα τα ορθογώνια με σταθερό εμβαδό E το τετράγωνο έχει
την ελάχιστη περίμετρο.
|
| 4. |
Δίνεται η εξίσωση 3(x + 1) - αx = 4, α 
- Να λύσετε την εξίσωση για τις διάφορες τιμές του α
.
- Για ποιες τιμές του α
η εξίσωση έχει λύση μεγαλύτερη του 1;
|
| 5. |
Δίνεται η εξίσωση λ2(χ - 1) + 3λ = χ + 2, λ 
- Να αποδείξετε ότι η εξίσωση αυτή γράφεται ισοδύναμα:
(λ − 1)(λ + 1) χ = (λ − 1)(λ − 2).
- Να λύσετε την εξίσωση για τις διάφορες τιμές του λ
.
- Να βρείτε τις τιμές του λ
για τις οποίες η εξίσωση έχει ρίζα τον αριθμό .
|
| 6. |
Από τη φυσική γνωρίζουμε ότι στην κατακόρυφη βολή ενός σώματος με αρχική ταχύτητα ν0 το ύψος h του σώματος συναρτήσει του χρόνου t της κίνησης του δίνεται από τον τύπο , όπου g η επιτάχυνση της βαρύτητας.
| A) |
Αν v0 = 60m/sec και g 10m/sec2 :
- Να βρείτε πότε το σώμα θα φθάσει σε ύψος h =180 μέτρα.
- Να βρείτε πότε το σώμα θα βρεθεί σε ύψος h =100 μέτρα.
Ποια είναι η ερμηνεία των προηγούμενων απαντήσεων;
|
| B) |
Στη γενική περίπτωση όπου , με τα v0 και g σταθερά,
να βρείτε τη συνθήκη που πρέπει να ισχύει, ώστε το σώμα να φθάσει σε
δεδομένο ύψος h0 . |
|
| 7. |
Στο ίδιο σύστημα συντεταγμένων να παραστήσετε γραφικά τις συναρτήσεις
και στη συνέχεια να υπολογίσετε το εμβαδόν του χωρίου που περικλείε-
ται από τις γραφικές παραστάσεις των συναρτήσεων και g. |
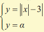
| 8. |
| A) |
Στο ίδιο σύστημα συντεταγμένων να χαράξετε τις γραφικές παραστάσεις των συναρτήσεων
και με τη βοήθεια αυτών να βρείτε τις λύσεις της ανίσωσης
 .
|
| B) |
Στη συνέχεια να επιβεβαιώσετε αλγεβρικά τα προηγούμενα συμπεράσματα. |
|
| 9. |
| A) |
Σε ένα καρτεσιανό επίπεδο να σχεδιάσετε τις γραφικές παραστάσεις
των συναρτήσεων:
|
| B) |
Με τη βοήθεια των παραπάνω γραφικών παραστάσεων να προσδιορίσετε το πλήθος των λύσεων του συστήματος
για τις διάφορες τιμές του α .
|
|
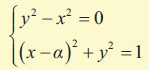
| 10. |
Σε ένα επίπεδο σχεδιάζουμε ένα καρτεσιανό σύστημα συντεταγμένων Oxy.
- Να δείξετε ότι η εξίσωση y2 − x2 = 0 παριστάνει τις διχοτόμους δ1
και δ2 των γωνιών των αξόνων τις οποίες και να σχεδιάσετε.
- Ποια είναι η απόσταση ενός σημείου M (x, y) του επιπέδου από το
σημείο K (α, 0) του άξονα x′x ; Να δείξετε ότι η εξίσωση
(x − α)2 + y2 = 1, α
παριστάνει στο επίπεδο κύκλο C με κέντρο K και ακτίνα 1.
Σχεδιάστε τον κύκλο για μια τιμή του α.
- Με τη βοήθεια των παραπάνω γραφικών παραστάσεων να προσδιορίσετε το πλήθος των λύσεων του συστήματος
για τις διάφορες τιμές του α .
|
| 11. |
| Στο διπλανό σχήμα τα C1 και
C2 είναι ημικύκλια με κέντρα Κ και Λ και ακτίνες R1 = 6cm και R2 = 3cm αντιστοίχως, ενώ το Μ είναι ένα σημείο της διακέντρου ΚΛ και η ΜΔ είναι
κάθετη στην ΚΛ. Να βρείτε το μήκος x του τμήματος ΛΜ, αν γνωρίζουμε ότι το σημείο Γ είναι μέσο του ΜΔ. |
 |
|
| 12. |
Θεωρούμε έναν άξονα x'x και παίρνουμε πάνω σ' αυτόν τα σταθερά
σημεία Α(−1) , Β(1) και ένα μεταβλητό σημείο Μ( x) . Θέτουμε
- Να αποδείξετε ότι:
- Να παραστήσετε γραφικά τις συναρτήσεις
και g.
- Να βρείτε με τη βοήθεια των παραπάνω γραφικών παραστάσεων την
ελάχιστη και τη μέγιστη τιμή (εφόσον υπάρχουν) των συναρτήσεων
και g, καθώς και τις θέσεις στις οποίες παρουσιάζονται.
|
| 13. |
Στα παρακάτω σχήματα δίνονται οι γραφικές παραστάσεις των συναρτήσεων:
- Από τις γραφικές παραστάσεις να βρείτε τα ολικά ακρότατα των συναρτήσεων
, g, h, καθώς και τις θέσεις των ακροτάτων αυτών.
- Να επιβεβαιώσετε αλγεβρικά τα προηγούμενα συμπεράσματα.
|
| 14. |
| A) |
Δίνεται η συνάρτηση 
- Να βρείτε το πεδίο ορισμού της συνάρτησης
.
- Να αποδείξετε ότι αν το σημείο M(α, β) ανήκει στη γραφική παράσταση της
, το σημείο M '(α, β) ανήκει στη γραφική παράσταση της συνάρτησης g (x) = x2 .
- Στο ίδιο σύστημα αξόνων να σχεδιάσετε πρώτα τη γραφική παρά-
σταση της συνάρτησης g και στη συνέχεια, με τη βοήθεια του
προηγούμενου ερωτήματος, να σχεδιάσετε τη γραφική παράσταση
της συνάρτησης
. Ποιο είναι το είδος της μονοτονίας και ποιο το
ακρότατο της συνάρτησης ;
|
| B) |
Να δείξετε ότι η συνάρτηση είναι άρτια και στη συνέχεια
να χαράξετε τη γραφική της παράσταση. |
| Γ) |
Στο παρακάτω σχήμα δίνεται η γραφική παράσταση της .
Αν Α', Β', Γ ' , …, Μ ', Ν ' είναι τα σημεία της γραφικής παράστασης της
f με τετμημένες 1, 2, 3,…, ν, ν +1 αντιστοίχως, να αποδείξετε ότι τα τρίγωνα , , είναι ισοσκελή. |
|
| 15. |
| Μία γέφυρα έχει ένα παραβολικό τόξο του οποίου το πλάτος είναι 8m και ύψος είναι
5,6m. Κάτω από τη γέφυρα θέλει να
περάσει γεωργικό μηχάνημα του οποίου η
καρότσα έχει πλάτος 6m και ύψος 2m.
Μπορεί το μηχάνημα να περάσει; |
 |
|
| 16. |
Δίνεται ένα τετράγωνο ΑΒΓΔ
με πλευρά 20cm και το μέσον Ο της ΑΔ
.
Ένα κινητό σημείο Μ ξεκινά από το Α και, διαγράφοντας την πολυγωνική γραμμή ΑΒΓΔ
, καταλήγει στο Δ
.
Αν με x συμβολίσουμε το μήκος της διαδρομής που έκανε το κινητό Μ
και με (x) το εμβαδόν του σκιασμένου χωρίου,
- Να βρείτε το πεδίο ορισμού και τον τύπο της συνάρτησης
.
- Να παραστήσετε γραφικά την
.
- Να βρείτε την τιμή του x για την οποία ισχύει
(x) = 120 cm2.
|
| 17. |
Στο διπλανό σχήμα το ΑΒΓΔ
είναι τετράγωνο
πλευράς 2 μ. και το M είναι ένα σημείο της διαγωνίου ΑΓ με (ΑΡ) = x . Συμβολίζουμε με
( x) το εμβαδόν του τριγώνου ΜΑΒ και με
g (x) το εμβαδόν του τραπεζίου ΜΓΔΣ . |
 |
- Να αποδείξετε ότι
- Να βρείτε τις τιμές του x για τις οποίες τα δύο εμβαδά είναι ίσα.
- Να παραστήσετε γραφικά στο ίδιο σύστημα συντεταγμένων τις συναρτήσεις
και g και να βρείτε, με τη βοήθεια των γραφικών παραστάσεων, με προσέγγιση την τιμή του x για την οποία τα δύο εμβαδά είναι ίσα.
|
|
| 18. |
| Στο διπλανό σχήμα το τρίγωνο ΟΑΒ είναι
ορθογώνιο, το Μ είναι τυχαίο σημείο της
ΟΑ και ΜΝ//ΟΒ. Αν (ΟΑ)=4, (ΟΒ)=3 και
(ΟΜ)=x, και Ε(x) είναι το εμβαδόν του τριγώνου ΒΜΝ,
|
 |
- Να αποδείξετε ότι
- Να βρείτε τη θέση του Μ για την οποία το εμβαδόν E(x) μεγιστοποιείται. Ποια είναι η μέγιστη τιμή του E(x).
|
|
| 19. |
| Σε ένα καρτεσιανό επίπεδο θεωρούμε τα
σημεία A(0,4) και B(2,2) , καθώς και το
σημείο M(x,0) που κινείται κατά μήκος
του άξονα x ' x .
|
 |
- Να βρείτε τις συντεταγμένες του σημείου Γ στο οποίο τέμνει η ευθεία ΑΒ
τον άξονα x ' x .
- Να εκφράσετε το εμβαδόν του τριγώνου
συναρτήσει της τετμημένης x του σημείου Μ και να παραστήσετε γραφικά τη συνάρτηση αυτή.
|
|
| 20. |
Σε ένα τμήμα ΑΒ = 10km μιας λεωφόρου πέφτει συνεχώς χιόνι και το
ύψος του χιονιού αυξάνεται 1cm την ώρα. Όταν αρχίζει η χιονόπτωση
ένα εκχιονιστικό μηχάνημα αρχίζει από το άκρο Α να καθαρίζει το χιόνι
κινούμενο κατά μήκος του δρόμου με ταχύτητα 10km/h . Μόλις φτάσει
στο Β γυρίζει και καθαρίζει το δρόμο αντιστρόφως από το Β προς το Α
και συνεχίζει με τον ίδιο τρόπο.
- Να σχεδιάσετε ένα διάγραμμα για το ύψος του χιονιού στο Α , παραβλέποντας το χρόνο στροφής στα Α και Β.
- Να κάνετε το ίδιο για το ύψος του χιονιού στο μέσο Μ του ΑΒ.
|
| 21. |
Έστω ο δειγματικός χώρος Ω = {0, 1, 2, 3,..., 100}. Δίνονται και οι
πιθανότητες κ = 1, 2,..., 100. Να υπολογίσετε την πιθανότητα P(0). |
| 22. |
Έστω Ω ένας δειγματικός χώρος με πεπερασμένο πλήθος στοιχείων και Α, Β υποσύνολα του Ω. Υποθέτουμε ότι P(A')≤0,28 και
P(B')≤0,71. Να αποδείξετε ότι i) P(A∩B)≥1,01− P(A∪B) και ii)
A∩B≠∅. |