Άλγεβρα (Α Λυκείου) - Βιβλίο Μαθητή
Κεφάλαιο 6: Βασικές Έννοιες των Συναρτήσεων Κεφάλαιο 8: Επαναληπτικές Ασκήσεις Επιστροφή στην αρχική σελίδα του μαθήματος

7ΜΕΛΕΤΗ ΒΑΣΙΚΩΝ
     ΣΥΝΑΡΤΗΣΕΩΝ

Εισαγωγή

Στο κεφάλαιο αυτό θα δούμε πώς, με τη βοήθεια των πληροφοριών που αποκτήσαμε μέχρι τώρα, μπορούμε να χαράξουμε με όσο το δυνατόν μεγαλύτερη ακρίβεια τη γραφική παράσταση των συναρτήσεων

pic71

Η πορεία την οποία ακολουθούμε λέγεται μελέτη συνάρτησης και περιλαμβάνει τα ακόλουθα βήματα:

  1. Βρίσκουμε το πεδίο ορισμού της συνάρτησης.
  2. Προσδιορίζουμε τα διαστήματα μονοτονίας και τα ολικά ακρότατα της συνάρτησης.
  3. Μελετούμε τη "συμπεριφορά" της συνάρτησης στα άκρα των διαστημάτων του πεδίου ορισμού της ("οριακές τιμές" κτλ.).
  4. Συντάσσουμε έναν πίνακα τιμών της συνάρτησης και, με τη βοήθεια αυτού και των προηγούμενων συμπερασμάτων, χαράσσουμε τη γραφική της παράσταση.

ΣΧΟΛΙΟ

Όπως είναι γνωστό, αν μια συνάρτηση ƒ με πεδίο ορισμού ένα σύνολο Α είναι άρτια, τότε η γραφική της παράσταση έχει άξονα συμμετρίας τον άξονα y'y, ενώ αν είναι περιττή, έχει κέντρο συμμετρίας την αρχή των αξόνων. Επομένως, για τη μελέτη μιας τέτοιας συνάρτησης αρκεί να περιοριστούμε στα xA, με x ≥ 0 και να χαράξουμε τη γραφική της παράσταση στο σύνολο αυτό. Στη συνέχεια θα πάρουμε το συμμετρικό της καμπύλης που χαράξαμε ως προς τον άξονα y'y αν η συνάρτηση είναι άρτια και ως προς την αρχή των αξόνων αν η συνάρτηση είναι περιττή και θα βγάλουμε τα σχετικά συμπεράσματα. Γι' αυτό, συνήθως, πριν προχωρήσουμε στα βήματα 2 έως 4, ελέγχουμε από την αρχή αν η συνάρτηση είναι άρτια ή περιττή.

7.1 ΜΕΛΕΤΗ ΣΥΝΑΡΤΗΣΗΣ ƒ(x) = αx2

Η συνάρτηση g(x) = x2

Ας θεωρήσουμε τη συνάρτηση g(x) = x2. Παρατηρούμε ότι η συνάρτηση αυτή, έχει πεδίο ορισμού όλο το ℝ και είναι άρτια, διότι για κάθε x∈ℝ ισχύει :

g(-x ) = (-x )2 = x2 = g(x)

Επομένως, η γραφική παράσταση της g έχει άξονα συμμετρίας τον άξονα y'y. Άρα, σύμφωνα με όσα αναφέραμε προηγουμένως, αρχικά θα μελετήσουμε και θα παραστήσουμε γραφικά την g στο διάστημα [0, +∞) .

Έχουμε λοιπόν:

Μονοτονία: Έστω τυχαία x1, x2∈[0, +∞) με x1<x2. Τότε θα είναι x12 < x22, οπότε θα έχουμε g(x1) < g(x2). Άρα η συνάρτηση g(x) = x2 είναι γνησίως αύξουσα στο [0, +∞).

Ακρότατα: Για κάθε x∈[0, +∞) ισχύει:

g(x) = x2 ≥ 0 = g(0) .

Άρα η συνάρτηση g παρουσιάζει στο x0 = 0 ελάχιστο, το g(0) = 0 .

Συμπεριφορά της g για "μεγάλες" τιμές του x: Ας θεωρήσουμε τον παρακάτω πίνακα τιμών της g για "πολύ μεγάλες" τιμές του x:

x

1010 1020 1050 10100 101000 .... pic72
g(x) = x2 1020 1040 10100 10200 102000 .... pic72

Παρατηρούμε ότι, καθώς το x αυξάνεται απεριόριστα, ή όπως λέμε "τείνει στο +∞", το x2 αυξάνεται και αυτό απεριόριστα και μάλιστα γρηγορότερα και άρα "τείνει στο +∞ ". Αυτό σημαίνει ότι η γραφική παράσταση της g προεκτείνεται απεριόριστα προς τα πάνω, καθώς το x απομακρύνεται προς το +∞.

pic73

Λαμβάνοντας υπόψη τα παραπάνω και παίρνοντας ένα πίνακα τιμών της g για μη αρνητικές τιμές του x, μπορούμε να χαράξουμε τη γραφική της παράσταση στο διάστημα [0, +∞) .

Αν τώρα πάρουμε το συμμετρικό της παραπάνω καμπύλης ως προς τον άξονα y'y, τότε θα έχουμε τη γραφική παράσταση της g(x) = x2 σε όλο το ℝ , από την οποία συμπεραίνουμε ότι:

Η συνάρτηση g(x) = x2:

pic74
  • Είναι γνησίως φθίνουσα στο (-∞,0] και γνησίως αύξουσα στο [0, +∞)
  • Παρουσιάζει ελάχιστο για x = 0, το g(0) = 0
  • Έχει γραφική παράσταση που προεκτείνεται απεριόριστα προς τα πάνω, καθώς το x τείνει είτε στο -∞, είτε στο +∞.

Η συνάρτηση h(x) = -x2

Ας θεωρήσουμε τώρα τη συνάρτηση h(x) = -x2. Παρατηρούμε ότι για κάθε x∈ℝ ισχύει

h (x) = - g(x)

Άρα, όπως μάθαμε στην §4.2, η γραφική παράσταση της h(x) = -x2 είναι συμμετρική της γραφικής παράστασης της g(x) = x2 ως προς τον άξονα x'x.

pic75

Επομένως η συνάρτηση h(x) = -x2:

  • Είναι γνησίως αύξουσα στο (-∞,0] και γνησίως φθίνουσα στο [0, +∞) .
  • Παρουσιάζει μέγιστο για x = 0 , το h(0) = 0
  • Έχει γραφική παράσταση που προεκτείνεται απεριόριστα προς τα κάτω, καθώς το x τείνει είτε στο -∞ είτε στο +∞.

Η συνάρτηση ƒ(x) = αx2

Διακρίνουμε δύο περιπτώσεις:

  • Αν α > 0, τότε εργαζόμαστε όπως εργαστήκαμε για τη συνάρτηση g(x) = x2 και καταλήγουμε στα ίδια συμπεράσματα. Τα συμπεράσματα αυτά συνοψίζονται στον παρακάτω πίνακα:

pic79

Στο σχήμα που ακολουθεί δίνονται οι γραφικές παραστάσεις της συνάρτησης ƒ(x) = αx2 για α = 0,5, α = 1 και α = 2.

pic78

  • Αν α<0, τότε εργαζόμαστε όπως εργαστήκαμε για τη συνάρτηση h (x) = -x2 και καταλήγουμε στα ίδια συμπεράσματα. Τα συμπεράσματα αυτά συνοψίζονται στον παρακάτω πίνακα:

pic710

Στο σχήμα που ακολουθεί δίνονται οι γραφικές παραστάσεις της συνάρτησης ƒ(x) = αx2 για α = -0,5, α = -1, α = -2.

pic711

Η γραφική παράσταση της συνάρτησης ƒ(x) = αx2, με α ≠ 0, είναι μια καμπύλη που λέγεται παραβολή με κορυφή την αρχή των αξόνων και άξονα συμμετρίας τον άξονα y'y .

Στα παραπάνω σχήματα παρατηρούμε ότι:

  • Όταν το α είναι θετικό, τότε η παραβολή είναι "ανοικτή" προς τα πάνω, ενώ όταν το α είναι αρνητικό, τότε η παραβολή είναι "ανοικτή" προς τα κάτω.
  • Καθώς η |α| μεγαλώνει, η παραβολή γίνεται όλο και πιο "κλειστή", δηλαδή "πλησιάζει" τον άξονα y'y .

ΕΦΑΡΜΟΓΗ

Να μελετηθεί και να παρασταθεί γραφικά η συνάρτηση h(x) = αx3:

ΛΥΣΗ

Η συνάρτηση h(x) = αx3, με α ≠ 0, είναι περιττή, διότι:

h (-x) = (-x)3 = - x3 = - h(x)

Επομένως, αρκεί να τη μελετήσουμε και να την παραστήσουμε γραφικά στο διάστημα [0, +∞) και στη συνέχεια να βγάλουμε τα σχετι-κά συμπεράσματα για όλο το ℝ.

Αν εργαστούμε με τρόπο ανάλογο με εκείνο με τον οποίο εργαστήκαμε για τη μελέτη της συνάρτησης ƒ(x) = αx2, συμπεραίνουμε ότι:

Η συνάρτηση h(x) = αx3, με α ≠ 0 :

pic712
  • Αν α>0 ,
    • Είναι γνησίως αύξουσα στο ℝ.
    • Έχει γραφική παράσταση που διέρχεται από την αρχή των αξόνων και εκτείνεται απεριόριστα προς τα πάνω, όταν το x τείνει στο +∞ και απεριόριστα προς τα κάτω όταν το x τείνει στο -∞ .
  • Αν α<0,
    • Είναι γνησίως φθίνουσα στο ℝ
    • Έχει γραφική παράσταση που διέρχεται από την αρχή των αξόνων και εκτείνεται απεριόριστα προς τα κάτω, όταν το x τείνει στο +∞ και απεριόριστα προς τα πάνω όταν το x τείνει στο -∞ .

Ασκήσεις

Α' ΟΜΑΔΑΣ
1.

Να βρείτε την εξίσωση της παραβολής του παρακάτω σχήματος.

pic713
 
 
2.

Στο ίδιο σύστημα συντεταγμένων να παραστήσετε γραφικά τις συναρτήσεις:

pic714

3.

Ομοίως τις συναρτήσεις:

pic715

4.

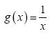
i) Στο ίδιο σύστημα συντεταγμένων να χαράξετε τις γραφικές παραστάσεις των συναρτήσεων

ƒ(x) = x2   και   g(x) = 1

και με τη βοήθεια αυτών να λύσετε τις ανισώσεις:

x2 ≤ 1   και   x2 > 1.

ii) Να επιβεβαιώσετε αλγεβρικά τα προηγούμενα συμπεράσματα.

B' OΜΑΔΑΣ
1.

Να χαράξετε τη γραφική παράσταση της συνάρτησης:

ƒ(x) = x|x|.

2.

Να χαράξετε τη γραφική παράσταση της συνάρτησης:

pic716

και με τη βοήθεια αυτής να βγάλετε τα συμπεράσματα τα σχετικά με τη μονοτονία και τα ακρότατα της συνάρτησης ƒ.

 
 
 
3.

Στο παρακάτω σχήμα δίνονται οι γραφικές παραστάσεις των συναρτήσεων:

pic719

στο διάστημα [0, +∞) , τις οποίες χαράξαμε με τη βοήθεια Η/Y.

i) Να διατάξετε από τη μικρότερη στη μεγαλύτερη τις τιμές x,

x,  x2,  x3  και  pic720

των συναρτήσεων ƒ, g, h και φ :

α) για 0 < x < 1  και  β) για x > 1 .

ii) Να επιβεβαιώσετε αλγεβρικά τα συμπεράσματα στα οποία καταλήξατε προηγουμένως.

pic717
 
 
 
4.

Στο παρακάτω σχήμα το τρίγωνο pic721 είναι ισόπλευρο. Να βρεθεί η τετμημένη του σημείου Α.

pic718
 
 
 

7.2 ΜΕΛΕΤΗ ΤΗΣ ΣΥΝΑΡΤΗΣΗΣ: pic722

Η συνάρτηση pic723

Ας θεωρήσουμε τη συνάρτηση pic724. Παρατηρούμε ότι, η συνάρτηση αυτή έχει πεδίο ορισμού όλο το ℝ= (-∞,0)∪(0, +∞) και είναι περιττή, διότι για κάθε x∈ℝ* ισχύει :

pic725

Επομένως, η γραφική της παράσταση έχει κέντρο συμμετρίας την αρχή των αξόνων. Γι’ αυτό αρχικά θα τη μελετήσουμε και θα την παραστήσουμε γραφικά στο διάστημα (0, +∞) .

Έχουμε λοιπόν:

  • Μονοτονία: Έστω τυχαία x1, x2 ∈(0, +∞) με x1 < x2. Τότε θα ισχύει pic726, οπότε θα έχουμε g(x1)>g(x2) . Άρα η συνάρτηση pic724 είναι γνησίως φθίνουσα στο (0, +∞).
  • Πρόσημο των τιμών της g: Για κάθε x∈(0,+∞) ισχύει pic724 > 0. Επομένως, στο διάστημα (0, +∞) η γραφική παράσταση της g θα βρίσκεται πάνω από τον άξονα των x.

  • Συμπεριφορά της g για "μικρές" τιμές του x: Ας θεωρήσουμε τον παρακάτω πίνακα τιμών της g για "πολύ μικρές" τιμές του x:

x

10-10 10-20 10-50 10-100 10-1000 .... →0
pic724 1010 1020 1050 10100 101000 .... →+∞

Παρατηρούμε ότι, καθώς το x μειώνεται απεριόριστα και παίρνει τιμές οσοδήποτε κοντά στο 0 ή, όπως λέμε, "τείνει στο 0", το pic727 αυξάνεται απεριόριστα και τείνει στο +∞. Αυτό σημαίνει ότι, καθώς το x "πλησιάζει" το 0 από τα δεξιά, η γραφική παράσταση της g τείνει να συμπέσει με τον ημιάξονα Oy . Γι’ αυτό ο άξονας y'y λέγεται κατακόρυφη ασύμπτωτη της γραφικής παράστασης της g προς τα πάνω.

  • Συμπεριφορά της g για "μεγάλες" τιμές του x: Ας θεωρήσουμε τον παρακάτω πίνακα τιμών της g για "πολύ μεγάλες" τιμές του x:

x

1010 1020 1050 10100 101000 ... →+∞
pic724 10-10 10-20 10-50 10-100 10-1000 .... →0

Παρατηρούμε ότι, καθώς το x αυξάνεται απεριόριστα και τείνει στο +∞, το pic727 μειώνεται απεριόριστα και τείνει στο 0. Αυτό σημαίνει ότι, καθώς το x "απομακρύνεται" προς το +∞, η γραφική παράσταση της g τείνει να συμπέσει με τον ημιάξονα Ox. Γι’ αυτό ο άξονας x'x λέγεται οριζόντια ασύμπτωτη της γραφικής παράστασης της g προς τα δεξιά.

Λαμβάνοντας υπόψη τα παραπάνω και παίρνοντας ένα πίνακα τιμών της g για θετικές τιμές του x , μπορούμε να χαράξουμε τη γραφική της παράσταση στο διάστημα (0, +∞) . pic729
Αν τώρα πάρουμε το συμμετρικό της παραπάνω καμπύλης ως προς την αρχή των αξόνων, τότε θα έχουμε τη γραφική παράσταση της pic724 σε όλο το ℝ*, από την οποία συμπεραίνουμε ότι:

Η συνάρτηση pic724:

pic730

 

  • Είναι γνησίως φθίνουσα σε καθένα από τα διαστήματα (-∞,0) και (0, +∞) .
  • Έχει γραφική παράσταση η οποία:
    • αποτελείται από δύο κλάδους, έναν στο 1ο και έναν στο 3ο τεταρτημόριο,
    • έχει κέντρο συμμετρίας την αρχή των αξόνων,
    • έχει άξονες συμμετρίας τις ευθείες y = x και y = -x, που διχοτομούν τις γωνίες των αξόνων και τέλος
    • έχει οριζόντια ασύμπτωτη τον άξονα x'x και κατακόρυφη ασύμπτωτη τον άξονα y' y .

Η συνάρτηση pic731

Ας θεωρήσουμε τώρα τη συνάρτηση pic733. Παρατηρούμε ότι για κάθε x∈ℝ ισχύει

h(x) = - g(x) .

Επομένως, η γραφική παράσταση της pic733 είναι συμμετρική της γραφικής παράστασης της pic724 ως προς τον άξονα x'x, οπότε, η συνάρτηση pic733:

pic732
  • Είναι γνησίως αύξουσα σε καθένα από τα διαστήματα (-∞,0) και (0, +∞) .
  • Έχει γραφική παράσταση η οποία:
    • αποτελείται από δύο κλάδους, έναν στο 2ο και έναν στο 4ο τεταρτημόριο,
    • έχει κέντρο συμμετρίας την αρχή των αξόνων,
    • έχει άξονες συμμετρίας τις ευθείες y = x και y = -x, που διχοτομούν τις γωνίες των αξόνων και τέλος
    • έχει οριζόντια ασύμπτωτη τον άξονα x'x και κατακόρυφη ασύμπτωτη τον άξονα y' y.

Η συνάρτηση pic734

Διακρίνουμε δύο περιπτώσεις:

  • Αν α > 0, τότε εργαζόμαστε όπως εργαστήκαμε για τη συνάρτηση pic724 και καταλήγουμε στα ίδια συμπεράσματα.

Στο σχήμα α' δίνονται οι γραφικές παραστάσεις της pic735 για α = 0,5,  α = 1  και  α = 2 .

pic736

  • Αν α < 0, τότε εργαζόμαστε όπως εργαστήκαμε για τη συνάρτηση pic733 και καταλήγουμε στα ίδια συμπεράσματα.
    Στο σχήμα β' δίνονται οι γραφικές παραστάσεις της pic735 για α = -0,5 , α = -1 και α = -2.

Η γραφική παράσταση της συνάρτησης pic735 , με α ≠ 0, λέγεται ισοσκελής υπερβολή με κέντρο την αρχή των αξόνων και ασύμπτωτες τους άξονες x' x και y' y.

ΕΦΑΡΜΟΓΗ

Στο παρακάτω σχήμα το σημείο Μ κινείται στο 1ο τεταρτημόριο του συστήματος συντεταγμένων, έτσι ώστε το εμβαδόν του ορθογώνιου ΟΑΜΒ να παραμένει σταθερό και ίσο με 2τ.μ. Να αποδειχτεί ότι το σημείο Μ διαγράφει τον έναν κλάδο μιας ισοσκελούς υπερβολής.

ΛΥΣΗ

Αν με x συμβολίσουμε το μήκος και με y το πλάτος του ορθογωνίου, επειδή το εμβαδόν του είναι ίσο με 2τμ, θα ισχύει xy = 2 και x, y>0 , οπότε θα έχουμε:

pic738

Άρα το σημείο Μ θα διαγράφει τον κλάδο της υπερβολήςpic739 που βρίσκεται στο 1ο τεταρτημόριο.

pic737

Ασκήσεις

Α' ΟΜΑΔΑΣ
1.

Να βρείτε την εξίσωση της υπερβολής του παρακάτω σχήματος.

pic740
 
 
 
 
 
2.

Στο ίδιο σύστημα συντεταγμένων να παραστήσετε γραφικά τις συναρτήσεις:

pic741

 
 
3.

Ομοίως τις συναρτήσεις:

pic742

 
 
 
4.

i) Στο ίδιο σύστημα συντεταγμένων να χαράξετε τις γραφικές παραστάσεις των συναρτήσεων pic743και g(x) = 1 και με τη βοήθεια αυτών να λύσετε γραφικά τις ανισώσεις:

pic744

ii) Να επιβεβαιώσετε και αλγεβρικά τα παραπάνω συμπεράσματα.

 
 
 
5.

Ομοίως για τις συναρτήσεις pic743 και g(x) = x2 και τις ανισώσεις:

pic744b

 
 
 
6.

Οι κάθετες πλευρές ΑΒ και ΑΓ ενός ορθογώνιου τριγώνου pic745 μεταβάλλονται έτσι, ώστε το εμβαδόν του να παραμένει σταθερό και ίσο με 2 τετραγωνικές μονάδες. Να εκφράσετε το μήκος y της ΑΓ συναρτήσει του μήκους x της ΑΒ και στη συνέχεια να παραστήσετε γραφικά τη συνάρτηση αυτή.

 
 
 

7.3 ΜΕΛΕΤΗ ΤΗΣ ΣΥΝΑΡΤΗΣΗΣ ƒ(x) = αx2 + βx + γ

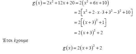
Θα μελετήσουμε αρχικά τη συνάρτηση g(x ) = 2x2 +12x + 20 που είναι ειδική περίπτωση της ƒ(x) = αx2 + βx + γ με α ≠ 0.

Για τη μελέτη της συνάρτησης g μετασχηματίζουμε τον τύπο της ως εξής:

pic746

Επομένως, για να παραστήσουμε γραφικά την g , χαράσσουμε πρώτα την y = 2(x + 3)2 που προκύπτει από μια οριζόντια μετατόπιση της y = 2x2 κατά 3 μονάδες προς τα αριστερά, και στη συνέχεια χαράσσουμε την y = 2 (x + 3)2 + 2 που προκύπτει από μια κατακόρυφη μετατόπιση της γραφικής παράστασης της y = 2(x + 3)2 κατά 2 μονάδες προς τα πάνω.

Άρα, η γραφική παράσταση της g(x) = 2(x + 3)+ 2 προκύπτει από δύο διαδοχικές μετατοπίσεις της παραβολής y = 2x2, μιας οριζόντιας κατά 3 μονάδες προς τα αριστερά και μιας κατακόρυφης κατά 2 μονάδες προς τα πάνω. Είναι δηλαδή μια παραβολή ανοικτή προς τα άνω με κορυφή το σημείο Κ(-3,2) και άξονα συμμετρίας την ευθεία x = -3.

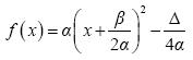
Θα μελετήσουμε τώρα τη συνάρτηση ƒ(x) = αx2 + βx + γ , με α ≠ 0. Όπως είδαμε στην §3.2 (μορφές τριωνύμου), η ƒ(x) παίρνει τη μορφή:

pic747

pic748

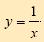
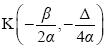
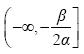
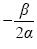
Επομένως η γραφική της παράσταση προκύπτει από δύο διαδοχικές μετατοπίσεις της παραβολής y = αx2, μιας οριζόντιας και μιας κατακόρυφης, έτσι ώστε η κορυφή της να συμπέσει με το σημείο pic750. Συνεπώς είναι και αυτή μια παραβολή, που έχει κορυφή το σημείο pic750άξονα συμμετρίας την ευθεία pic751.

pic752

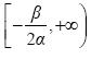
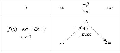
Άρα, η συνάρτηση ƒ(x) = αx2 + βx + γ:

  • Αν α>0 ,
  • Είναι γνησίως φθίνουσα στο διάστημα pic753 και γνησίως αύξουσα στο διάστημα pic754
  • Παρουσιάζει ελάχιστο για pic755

pic756

Τα συμπεράσματα αυτά συνοψίζονται στον παραπάνω πίνακα.

  • Αν α < 0 , η συνάρτηση ƒ(x) = αx2 + βx + γ:
  • Είναι γνησίως αύξουσα στο διάστημα pic753 και γνησίως φθίνουσα στο διάστημα pic754
  • Παρουσιάζει μέγιστο για pic755

Τα συμπεράσματα αυτά συνοψίζονται στον πίνακα.

pic757

Τέλος η γραφική παράσταση της ƒ είναι μια παραβολή που τέμνει τον άξονα y'y στο σημείο Γ(0, y) , διότι ƒ(0) = γ, ενώ για τα σημεία τομής της με τον άξονα x'x παρατηρούμε ότι:

  • Αν Δ > 0, το τριώνυμο αx2 + βx + γ έχει δύο ρίζες x1 και x2 και επομένως η παραβολή y = αx2 + βx + γ τέμνει τον άξονα x'x σε δύο σημεία, τα Α(x1,0) και Β(x2,0) (Σχ. α')
  • Αν Δ = 0, το τριώνυμο έχει διπλή ρίζα την pic758. Στην περίπτωση αυτή λέμε ότι η παραβολή εφάπτεται του άξονα x'x στο σημείο pic759 (Σχ. β')
  • Αν Δ < 0, το τριώνυμο δεν έχει πραγματικές ρίζες. Επομένως η παραβολή δεν έχει κοινά σημεία με τον άξονα x'x (Σχ. γ').

Η γραφική παράσταση της ƒ εξαρτάται από το πρόσημο των α και Δ και φαίνεται κατά περίπτωση στα παρακάτω σχήματα:

pic760

Τα συμπεράσματα της §3.2 για το πρόσημο του τριωνύμου προκύπτουν άμεσα και με τη βοήθεια των παραπάνω γραφικών παραστάσεων.

ΕΦΑΡΜΟΓΗ

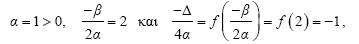
Να μελετηθεί και να παρασταθεί γραφικά η συνάρτηση

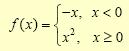
ƒ(x) = x2 - 4x + 3

ΛΥΣΗ

Για τη συνάρτηση ƒ(x) = x2 - 4x + 3 είναι

pic761

Επομένως έχουμε τον πίνακα μεταβολών:

pic762

pic763

Δηλαδή η συνάρτηση ƒ,

  • Είναι γνησίως φθίνουσα στο (-∞,2] και γνησίως αύξουσα στο [2, +∞),
  • Παρουσιάζει για x = 2 ελάχιστο, το ƒ(2) = -1.

Επιπλέον, η γραφική παράσταση της ƒ είναι μια παραβολή η οποία:

  • Έχει άξονα συμμετρίας την ευθεία x = 2 και
  • Τέμνει τον άξονα x'x στα σημεία με τετμημένες 1 και 3 αντιστοίχως που είναι οι ρίζες του τριωνύμου x2 - 4x + 3 , και τον άξονα y'y στο σημείο με τεταγμένη 3.

Ασκήσεις

Α' ΟΜΑΔΑΣ
1.
  1. Να γράψετε τη συνάρτηση ƒ(x) = 2x2 - 4x + 5 στη μορφή ƒ(x) = α(x - p)2 + q και στη συνέχεια να βρείτε με ποια οριζόντια και ποια κατακόρυφη μετατόπιση η γραφική παράσταση της συνάρτησης g(x) = 2x2 θα συμπέσει με τη γραφική παράσταση της ƒ.
  2. Να κάνετε το ίδιο και για τη συνάρτηση ƒ(x) = -2x2 + 8x - 9, θεωρώντας ως g την g(x) = -2x2.
2.

Να βρείτε τη μέγιστη ή ελάχιστη τιμή των συναρτήσεων:

α) ƒ(x) = 2x2 - 6x + 3 και β) g(x) = -3x2 - 5x + 2.

3.

Να μελετήσετε και να παραστήσετε γραφικά τις συναρτήσεις

α) ƒ(x) = 2x2 + 4x +1 και β) g(x) = -2x2 + 8x - 9.

4.

Στα παρακάτω σχήματα δίνονται οι γραφικές παραστάσεις επτά τριωνύμων, δηλαδή συναρτήσεων της μορφής y = αx2 + βx + γ. Να συμπληρώσετε τις στήλες του πίνακα που ακολουθεί με το πρόσημο των συντελεστών και της διακρίνουσας των αντίστοιχων τριωνύμων.

pic764

 

pic765

B' OΜΑΔΑΣ
1.

Δίνεται η παραβολή y = x2 + (k +1)x + k . Να καθορίσετε τις τιμές του k, για τις οποίες η παραβολή:

  1. Εφάπτεται του άξονα x' x.
  2. Έχει τον y'y άξονα συμμετρίας.
  3. Έχει για κορυφή ένα σημείο με τεταγμένη -4. Ποια είναι η τετμημένη της κορυφής;
2.

Στο παρακάτω σχήμα δίνεται η γραφική παράσταση ενός τριωνύμου Ρ(x) = αx2 + βx + γ . Να βρείτε:

  1. Το πρόσημο του α.
  2. Το πρόσημο της διακρίνουσας Δ και
  3. Τους συντελεστές του τριωνύμου, αν δίνεται ότι β = 6.
pic766

 

3.

Οι διαστάσεις x,y ενός ορθογωνίου μεταβάλλονται, έτσι ώστε η περίμετρος του να παραμένει σταθερή και ίση με 20 μ

  1. Να εκφράσετε το y συναρτήσει του x και στη συνέχεια να βρείτε τον τύπο Ε = ƒ(x) που δίνει το εμβαδόν E του ορθογωνίου συναρτήσει του x.
  2. Να αποδείξετε ότι το εμβαδόν μεγιστοποιείται για x = 5 και να βρείτε τη μέγιστη τιμή του.
4.

Ένα σημείο Μ κινείται πάνω στο ευθύγραμμο τμήμα ΑΒ = 6cm. Με πλευρές τα ΜΑ και ΜΒ κατασκευάζουμε ισόπλευρα τρίγωνα. Για ποια θέση του Μ το άθροισμα των εμβαδών των δύο τριγώνων είναι ελάχιστο;

pic767
5.

Ένας κτηνοτρόφος έχει σύρμα 200m και θέλει να περιφράξει δύο συνεχόμενους ορθογώνιους υπαίθριους χώρους με διαστάσεις x και y, όπως φαίνεται στο διπλανό σχήμα. Για ποιες τιμές των x και y το εμβαδόν και των δύο χώρων μεγιστοποιείται;

pic768
   

ΕΡΩΤΗΣΕΙΣ ΚΑΤΑΝΟΗΣΗΣ

I.

Σε καθεμιά από τις παρακάτω περιπτώσεις να κυκλώσετε το γράμμα Α, αν ο ισχυρισμός είναι αληθής και το γράμμα Ψ, αν ο ισχυρισμός είναι ψευδής.

 
1. Αν η παραβολή y = αx2, α ≠ 0 διέρχεται από το σημείο A(1,2), τότε βρίσκεται στο 3ο και 4ο τεταρτημόριο. Α Ψ
2. Αν το τριώνυμο ƒ(x) = αx2 + βx + γ, α ≠ 0 έχει ρίζες τους αριθμούς x1 = -1 και x2 = 3 , τότε έχει άξονα συμμετρίας την ευθεία x = 1. Α Ψ
3. Για οποιουσδήποτε α, β∈ℝ* η παραβολή y = αx2 και η υπερβολή pic769 έχουν ένα και μοναδικό κοινό σημείο. Α Ψ
4. H υπερβολή pic770 και η ευθεία y = -x τέμνονται. Α Ψ
II. Να συμπληρώσετε τα κενά στις παρακάτω δύο περιπτώσεις με τα σύμβολα της ισότητας ή της ανισότητας.
 
1.

Αν το τριώνυμο ƒ(x) = 2x2 + βx + γ έχει ρίζες τους αριθμούς x1 = -1 και x2 = 3 , τότε θα ισχύει:

ƒ(-5) … 0 , ƒ(1) … 0, ƒ(5) … 0, γ … 0, β … -4.

 
2.

Αν το τριώνυμο ƒ(x) = -x2 + βx + γ έχει ρίζες τους αριθμούς x1 = -3 και x2 = 1 , θα ισχύει:

ƒ(-5) … 0, ƒ(-2) … 0 , ƒ(5) … 0,γ … 0, β … -2.

 
III.

Δίνεται το τριώνυμο ƒ(x) = αx2 + βx + γ, α ≠ 0. Να επιλέξετε τη σωστή απάντηση σε καθεμιά από τις παρακάτω περιπτώσεις:

 
1.

Αν α = 2 και το τριώνυμο ƒ έχει κορυφή το σημείο Κ (1, -3), τότε

pic771

 
2.

Αν ƒ(1) < 0,  ƒ(3) > 0  και  ƒ(5) < 0, τότε

pic772

 
3.

Αν το τριώνυμο έχει κορυφή το σημείο Κ(1,2) και α>0 , τότε:

pic773

 
4.

Αν το τριώνυμο έχει κορυφή το σημείο Κ (1,0), τότε

pic774

 
IV.

Οι παρακάτω καμπύλες C1, C2, C3 και C4 είναι οι γραφικές παραστάσεις των συναρτήσεων ƒ1(x) = x2 - 4x + y1, ƒ2(x) = 2x2 - 8x + y2, ƒ3(x) = -x2 - 4x + y3 και ƒ4(x) = -2x2 - 8x + y4, όχι όμως με την ίδια σειρά. Να αντιστοιχίσετε καθεμιά από τις παραπάνω συναρτήσεις με τη γραφική της παράσταση.

pic775