Άλγεβρα - Βιβλίο Μαθητή
3.5 Άθροισμα άπειρων όρων γεωμετρικής προόδου 4.2 Λογάριθμοι Επιστροφή στην αρχική σελίδα του μαθήματος

ΚΕΦΑΛΑΙΟ 4ο

Εκθετική και Λογαριθμική συνάρτηση

4.1 Εκθετική συνάρτηση

Δυνάμεις με ρητό εκθέτη

Σε προηγούμενες τάξεις γνωρίσαμε την έννοια της δύναμης με βάση έναν πραγματικό αριθμό και εκθέτη ακέραιο. Συγκεκριμένα:

- Στην αρχή ορίσαμε τη δύναμη ενός πραγματικού αριθμού με εκθέτη θετικό ακέραιο, ως εξής:

Εικόνα

Για παράδειγμα:

(- 12)3 = (- 12)(- 12)(- 12) = - 18

- Στη συνέχεια με τη βοήθεια των ισοτήτων:

α0 = 1     και     α = 1αν = (1α)ν, α ≠ 0     και     ν ∈ N

επεκτείναμε την έννοια της δύναμης ενός πραγματικού αριθμού και στην περίπτωση που ο εκθέτης είναι ακέραιος. Για παράδειγμα:

(- 23)-2 = (- 32)2 = 94

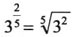
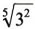
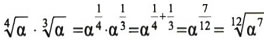
Στη συνέχεια θα ορίσουμε παραστάσεις της μορφής 212, 514 και γενικά της μορφής αμν, όπου α > 0, μ ακέραιος και ν θετικός ακέραιος.

Τις παραστάσεις αυτές θα ονομάσουμε δυνάμεις με ρητό εκθέτη. Ο ορισμός θα γίνει με τέτοιο τρόπο, ώστε να διατηρούνται οι γνωστές ιδιότητες των δυνάμεων. Τι θα πρέπει να σημαίνει π.χ. το 325; Αν απαιτήσουμε να ισχύει η ιδιότητα (αp)q = αpq και για τις δυνάμεις με ρητό εκθέτη, τότε θα είναι:

(325)5 = 325·5 = 32

Άρα πρέπει ο 325 να είναι λύση της εξίσωσης x5 = 32, δηλαδή ο αριθμός Εικόνα.

Πρέπει δηλαδή να είναι Εικόνα.

Γενικά

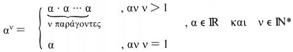
Αν α > 0, μ ακέραιος και ν θετικός ακέραιος, τότε ορίζουμε:

Εικόνα

Επιπλέον, αν μ, ν, θετικοί ακέραιοι, ορίζουμε: 0μν = 0.

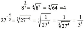
Έτσι π.χ.

Εικόνα

Αποδεικνύεται ότι, όλες οι ιδιότητες των δυνάμεων με εκθέτη ακέραιο ισχύουν και για τις δυνάμεις με εκθέτη ρητό.

Το γεγονός αυτό διευκολύνει το λογισμό με τα ριζικά. Έτσι είναι π.χ.

Εικόνα

Οι δυνάμεις αυτές υπολογίζονται εύκολα με τη βοήθεια ενός υπολογιστή τσέπης ως εξής:

ΔΥΝΑΜΗ

21,4

1,4-3,21

573

ΑΠΟΤΕΛΕΣΜΑ

2.6390158

0.3395697

42.749398

ΣΕΙΡΑ ΠΛΗΚΤΡΩΝ

2    xy    1.4    =

1.4    xy    3.21    +/-    =

5    xy    (    7    ÷    3    )    =

Δυνάμεις με άρρητο εκθέτη

Γεννιέται τώρα το ερώτημα:

Μπορούμε να ορίσουμε δυνάμεις της μορφής αx με x άρρητο, κατά τέτοιο τρόπο ώστε να διατηρούνται οι βασικές ιδιότητες των δυνάμεων με ρητό εκθέτη; Μπορούμε για παράδειγμα να ορίσουμε την 32;

Όπως είδαμε (βιβλίο Β' Γυμνασίου σελ. 104) οι δεκαδικές προσεγγίσεις του √2 κατά προσέγγιση ακέραιας μονάδας, δεκάτου, εκατοστού κτλ. είναι

(1)

1, 1,4, 1,41, 1,414, 1,4142, 1,41421, 1,414213, …

Ας πάρουμε τώρα την ακολουθία αυτή των δεκαδικών προσεγγίσεων του √2 και την αντίστοιχη ακολουθία των δυνάμεων του 3:

(2)

31, 31,4, 31,41, 31,414, 31,4142, 31,41421, 31,414213, …

Με τη βοήθεια ενός υπολογιστή τσέπης βρίσκουμε ότι:

31 = 3

31,44, 6555367

31,414,7 069650

31,4144,72 76950

31,41424,728 7339

31,414214,728 7839

31,4142134,7288 015

Αν παρατηρήσουμε τους αριθμούς αυτούς μας δίνεται η εξής εντύπωση: Όταν το πλήθος των δεκαδικών ψηφίων της ακολουθίας (1) αυξάνει, οι όροι της ακολουθίας (2) φαίνεται να προσεγγίζουν ένα ορισμένο αριθμό, που λέγεται οριακή τιμή ή όριο της ακολουθίας αυτής. Είναι επομένως λογικό να ορίσουμε τη δύναμη 32 ως την πιο πάνω οριακή τιμή. Έτσι με προσέγγιση τεσσάρων δεκαδικών ψηφίων είναι 32 ≈ 4,7288.

Γενικά αποδεικνύεται ότι:

Αν α > 0, x άρρητος και ρν η δεκαδική προσέγγιση του x με ν δεκαδικά ψηφία, τότε καθώς το ν αυξάνει τείνοντας στο +∞, οι όροι της ακολουθίας (αρν) «προσεγγίζουν» έναν ορισμένο πραγματικό αριθμό, τον οποίο στο εξής θα ονομάζουμε όριο της ακολουθίας (αρν).

Το όριο αυτό συμβολίζεται με αx και λέγεται δύναμη του α με εκθέτη χ. Συμβολικά γράφουμε:

Εικόνα

Επιπλέον, για κάθε x > 0, ορίζουμε 0x = 0.

Ο υπολογισμός δυνάμεων με άρρητο εκθέτη γίνεται με υπολογιστή τσέπης όπως στα παρακάτω παραδείγματα:

ΔΥΝΑΜΗ

32

2π

ΑΠΟΤΕΛΕΣΜΑ

4.728801

8.824977

ΣΕΙΡΑ ΠΛΗΚΤΡΩΝ

3    xy    2    x    =

2    xy    exp    =

Οι βασικές ιδιότητες των δυνάμεων, γνωστές από την Α′ Λυκείου, αποδεικνύεται ότι ισχύουν και για δυνάμεις με εκθέτη πραγματικό αριθμό. Συγκεκριμένα:

Αν α, β είναι θετικοί πραγματικοί αριθμοί και x, x1, x2 ∈ R, τότε:

αx1 : αx2 = αx1-x2

αx1 · αx2 = αx1+x2

x1)x2 = αx1x2

(αβ)x = αxβx

(α·β)x = αx · βx

Εκθετική συνάρτηση

Έστω α ένας θετικός αριθμός. Όπως είδαμε προηγουμένως για κάθε x ∈ R ορίζεται η δύναμη αx. Επομένως αντιστοιχίζοντας κάθε x ∈ R στη δύναμη αx, ορίζουμε τη συνάρτηση:

f : R → R     με     f(x) = αx,

η οποία, στην περίπτωση που είναι α ≠ 1, λέγεται εκθετική συνάρτηση με βάση α.

Αν είναι α = 1, τότε έχουμε τη σταθερή συνάρτηση f(x) = 1.

Έστω τώρα η εκθετική συνάρτηση f(x) = 2x. Για να σχεδιάσουμε τη γραφική της παράσταση κατασκευάζουμε τον πίνακα τιμών:

x

-5

-4

-3

-2

-1

0

1

2

3

4

5

y = 2x

132

116

18

14

12

1

2

4

8

16

32

Τοποθετώντας τα σημεία (x, y) του παραπάνω πίνακα στο καρτεσιανό επίπεδο και ενώνοντάς τα με συνεχή καμπύλη έχουμε το διπλανό σχήμα.

Η συνάρτηση αυτή, καθώς και κάθε συνάρτηση της μορφής

f(x) = αx     με α > 1,

αποδεικνύεται ότι:

Εικόνα

● 

Έχει πεδίο ορισμού το R.

● 

Έχει σύνολο τιμών το διάστημα (0, +∞) των θετικών πραγματικών αριθμών.

● 

Είναι γνησίως αύξουσα στο R. Δηλαδή για κάθε x1, x2 ∈ R ισχύει:

αν     x1 < x2,     τότε     αx1 < αx2

● 

Η γραφική της παράσταση τέμνει τον άξονα y′y στο σημείο Α(0,1) και έχει ασύμπτωτο τον θετικό ημιάξονα των x.

Εικόνα

Έστω επιπλέον και η εκθετική συνάρτηση g(x) = (12)x. Για να σχεδιάσουμε τη γραφική της παράσταση κατασκευάζουμε τον πίνακα τιμών:

x

-5

-4

-3

-2

-1

0

1

2

3

4

5

(12)x

32

16

8

4

2

1

12

14

18

116

132

Τοποθετώντας τα σημεία (x, y) του παραπάνω πίνακα στο καρτεσιανό επίπεδο και ενώνοντάς τα με συνεχή καμπύλη έχουμε το διπλανό σχήμα.

Η συνάρτηση αυτή, καθώς και κάθε συνάρτηση της μορφής

f(x) = αx     με 0 < α < 1,

αποδεικνύεται ότι:

● 

Έχει πεδίο ορισμού το R.

● 

Έχει σύνολο τιμών το διάστημα (0, +∞) των θετικών πραγματικών αριθμών.

● 


Είναι γνησίως φθίνουσα στο R. Δηλαδή για κάθε x1, x2 ∈ R ισχύει:

αν     x1 < x2,     τότε     αx1 > αx2

● 

Η γραφική της παράσταση τέμνει τον άξονα y′y στο σημείο Α(0,1) και έχει ασύμπτωτο τον αρνητικό ημιάξονα των x.

Εικόνα

Εικόνα


Παρατήρηση. Για τις συναρτήσεις f(x) = 2x και g(x) = (12)x παρατηρούμε ότι για κάθε x ∈ R ισχύει:

g(x) = (12)x = 12x = 2-x = f(-x)

Αυτό σημαίνει ότι οι γραφικές παραστάσεις τους είναι συμμετρικές ως προς τον άξονα y′y.

Εικόνα

Σχόλιο: Από τη μονοτονία της εκθετικής συνάρτησης     f(x) = αx, με 0 < α ≠ 1,     προκύπτει ότι:

αν x1 ≠ x2, τότε αx1 ≠ αx2

οπότε, με απαγωγή σε άτοπο, έχουμε ότι:

αν αx1 = αx2, τότε x1 = x2.

Επομένως, ισχύει η ισοδυναμία:

αx1 = αx2 ⇔ x1 = x2

Εικόνα

Η ιδιότητα αυτή είναι ιδιαίτερα χρήσιμη για την επίλυση εξισώσεων, όπου ο άγνωστος εμφανίζεται στον εκθέτη. Οι εξισώσεις αυτές λέγονται εκθετικές εξισώσεις.

ΠΑΡΑΔΕΙΓΜΑΤΑ

1ο 

Να λυθούν οι εξισώσεις:

i) 23x = 164                      ii) 9x - 8·3x - 9 = 0

ΛΥΣΗ

i)  

Η εξίσωση γράφεται διαδοχικά:

23x = 164


  ⇔ 23x = 2-6

[Επειδή η εκθετική συνάρτηση είναι 1-1]

  ⇔ 3x = -6

  ⇔ x = -6

ii) 









Η εξίσωση γράφεται

32x - 8·3x - 9 = 0 ⇔ (3x)2 - 8·3x - 9 = 0

Αν θέσουμε 3x = y, αυτή γίνεται y2 - 8y - 9 = 0 και έχει ρίζες τους αριθμούς -1 και 9. Επομένως η αρχική εξίσωση έχει ως λύσεις τις λύσεις των εξισώσεων:

3x = -1     και     3x = 9

Απ' αυτές η πρώτη είναι αδύνατη, αφού 3x > 0, ενώ η δεύτερη γράφεται 3x = 32 και έχει ρίζα το x = 2, που είναι και μοναδική ρίζα της αρχικής εξίσωσης.

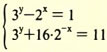
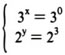
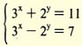
2ο 

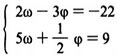
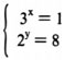
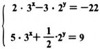
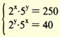
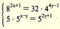
Να λυθεί το σύστημα:

Εικόνα                 (εκθετικό σύστημα)

ΛΥΣΗ

Αν θέσουμε 3x = ω και 2y = φ το σύστημα γίνεται:

Εικόνα

Το γραμμικό αυτό σύστημα έχει λύση ω = 1 και φ = 8, οπότε το αρχικό σύστημα γράφεται:

Εικόνα            ή ισοδύναμα            Εικόνα

από το οποίο παίρνουμε x = 0 και y = 3.

3ο 

Να λυθούν οι ανισώσεις:

i) 3x2-3x > 19                      ii) (12)x2+x < 14

ΛΥΣΗ

i) Έχουμε            3x2-3x > 19




  ⇔ 3x2-3x > 3-2

[αφού 3 > 1]

  ⇔ x2 - 3x > -2

  ⇔ x2 - 3x + 2 > 0

  ⇔ x < 1     ή     x > 2

ii) Έχουμε            (12)x2+x < 14





  ⇔ (12)x2+x < (12)2

[αφού 12 < 1]

  ⇔ x2 + x > 2

  ⇔ x2 + x - 2 > 0

  ⇔ x < -2     ή     x > 1

4ο 

Να γίνουν οι γραφικές παραστάσεις των συναρτήσεων:

i) f(x) = 2x + 3                      ii) g(x) = 2x-3                      iii) h(x) = 2x-3 + 2

ΛΥΣΗ

i)   

Η γραφική παράσταση της f προκύπτει από μια κατακόρυφη μετατόπιση της φ(x) = 2x κατά 3 μονάδες προς τα πάνω.

ii)  

Η γραφική παράσταση της g προκύπτει από μια οριζόντια μετατόπιση της φ(x) = 2x κατά 3 μονάδες προς τα δεξιά.

iii) 




Τέλος η γραφική παράσταση της h προκύπτει από δυο μετατοπίσεις της φ(x) = 2x

- μιας οριζόντιας κατά 3 μονάδες προς τα δεξιά και

- μιας κατακόρυφης κατά 2 μονάδες προς τα πάνω.

Εικόνα

Εικόνα

Ο αριθμός e

Μια Τράπεζα για να διαφημιστεί κάνει μια πολύ ειδική προσφορά. Όποιος καταθέσει την επόμενη μέρα ποσό 1 εκατομμυρίου ευρώ, αυτό θα τοκιστεί με ετήσιο επιτόκιο 100% και με δυνατότητα ανατοκισμού του 1, 2, 3, … ή ν φορές το χρόνο, σε ίσα χρονικά διαστήματα, ανάλογα με την επιθυμία του καταθέτη.

Έχει σημασία για τον καταθέτη το πόσες φορές το χρόνο θα ανατοκιστεί το κεφάλαιο:

Από το γνωστό τύπο του ανατοκισμού αν = α0(1 + τ)ν, όπου τ =  ε 100.

● αν ν = 1, είναι τ = 1 και α1 = 1·(1 + 1)1 = 2 εκατομμύρια ευρώ.

● αν ν = 2, είναι τ = 12 και α2 = 1·(1 + 12)2 = 2,25 εκατομμύρια ευρώ.

● αν ν = 3, είναι τ = 13 και α3 = 1·(1 + 13)3 = 2,44 εκατομμύρια ευρώ.

…………………………………………………………………………………

● αν ν = ν, είναι τ = 1ν και αν = 1·(1 + 1ν)ν = (1 + 1ν)ν εκατομμύρια ευρώ.

Αν χρησιμοποιήσουμε υπολογιστή τσέπης κατασκευάζουμε τον πίνακα:

ν

1 (ανά έτος)

2 (ανά εξάμηνο)

4 (ανά εποχή)

12 (ανά μήνα)

52 (ανά εβδομάδα)

(1 + 1ν)ν

2

2,25

2,441406

2,613035

2,704813

1000

10000

100000

1000000

2,716923

2,718145

2,718268

2,718280

Παρατηρούμε ότι, καθώς το ν αυξάνει, αυξάνει και το (1 + 1ν)ν και προσεγγίζει έναν ορισμένο πραγματικό αριθμό. Ο αριθμός αυτός είναι άρρητος και συμβολίζεται με e. Ο συμβολισμός αυτός οφείλεται στο μεγάλο Ελβετό, μαθηματικό Leohard Euler (1707-1783). Ο αριθμός e με προσέγγιση πέντε δεκαδικών ψηφίων είναι e = 2,71828.

Συμβολικά γράφουμε

Εικόνα

Από τα παραπάνω βλέπουμε ότι οι τιμές του ν έχουν μεγάλη σημασία όσο αυτές παραμένουν «μικρές». Από μια τιμή όμως και μετά, όσο και αν αυξάνει το ν, το τελικό ποσό δεν μεταβάλλεται ουσιαστικά.

Σε πολλές πραγματικές εφαρμογές εμφανίζονται εκθετικές συναρτήσεις με βάση τον αριθμό e. Η απλούστερη τέτοια συνάρτηση είναι η f(x) = ex. Η συνάρτηση αυτή ονομάζεται απλώς εκθετική και η γραφική της παράσταση φαίνεται στο διπλανό σχήμα.

Εικόνα

Ο νόμος της εκθετικής μεταβολής

Μία ακόμη εκθετική συνάρτηση με βάση το e είναι η

(1)

Q(t) = Q0·ect

Αυτή εκφράζει ένα φυσικό μέγεθος, που μεταβάλλεται με το χρόνο t. To Q0 είναι η αρχική τιμή του Q (για t = 0) και είναι Q0 > 0, ενώ το c είναι μια σταθερά που εξαρτάται κάθε φορά από τη συγκεκριμένη εφαρμογή. Η συνάρτηση αυτή είναι γνωστή ως νόμος της εκθετικής μεταβολής. Αν c > 0 η συνάρτηση Q είναι γνησίως αύξουσα και εκφράζει το νόμο της εκθετικής αύξησης, ενώ αν c < 0 η Q είναι γνησίως φθίνουσα και εκφράζει το νόμο της εκθετικής απόσβεσης. Ο νόμος της εκθετικής μεταβολής αποτελεί ένα ικανοποιητικό μοντέλο για πάρα πολλές εφαρμογές της Φυσικής, της Βιολογίας, της Στατιστικής και άλλων επιστημών. Για παράδειγμα ο αριθμός των γραμμαρίων μιας ραδιενεργού ουσίας κατά τη χρονική στιγμή t (σε δευτερόλεπτα) δίνεται από τον τύπο Q(t) = 200·e-0,3t. Αυτό σημαίνει ότι η ουσία που παραμένει αδιάσπαστη μετά από 7 δευτερόλεπτα είναι:

Q(7) = 200e-0,3·7 ≈ 200(2,718)-2,1 ≈ 24,5 γραμμάρια.

Ο χρόνος που χρειάζεται για να διασπασθεί ή να εξαφανισθεί η μισή ποσότητα μιας ραδιενεργού ουσίας λέγεται ημιζωή ή χρόνος υποδιπλασιασμού της ραδιενεργού ουσίας.

Στον πίνακα που ακολουθεί αναφέρεται η ημιζωή ορισμένων ραδιενεργών ισοτόπων:

ΙΣΟΤΟΠΟ

Άνθρακας  (C14)

Ράδιο        (Ra226)

Πολώνιο    (Ρο210)

Φώσφορος (Ρ32)

ΗΜΙΖΩΗ

5730 έτη

1600 έτη

138 ημέρες

14 ημέρες

ΠΑΡΑΔΕΙΓΜΑ

Αν η ημιζωή ενός ραδιενεργού υλικού είναι 5 χρόνια, να αποδειχθεί ότι η συνάρτηση που εκφράζει την εκθετική απόσβεση αυτού είναι Q(t) = Q02-t/5.

ΑΠΟΔΕΙΞΗ

Αφού η ημιζωή είναι 5 χρόνια, από το νόμο της εκθετικής απόσβεσης Q(t) = Q0·ect έχουμε:

Q02 = Q0·ect 

⇔ e5c = 12

Εικόνα

Άρα Q(t) = Q02-t/5


ΑΣΚΗΣΕΙΣ

   Α′ ΟΜΑΔΑΣ

1.

Στο ίδιο σύστημα αξόνων να παραστήσετε γραφικά τις συναρτήσεις:

 

i) f(x) = 3x     και     f1(x) = (13)x

 

ii) f(x) = 3x,     f2(x) = 3x + 2     και     f3(x) = 3x - 3

 

iii) f(x) = 3x,     f4(x) = 3x-2     και     f5(x) = 3x+2

 

iv) f(x) = 3x     και     f6(x) = 3x-2 + 1

 

v) g(x) = ex,     g1(x) = ex+2,     g2(x) = e-x     και     g3(x) = e-x + 2

2.

Να λύσετε τις εξισώσεις:

 

i) 2x = 64

ii) (12)x = 18

iii) (12)x = 4

iv) 3-x = 181

 

v) (34)x = 6427

vi) 274x = 9x+1

vii) 32x = 161-x

viii) 3x2-x-2 = 1

3.

Να λύσετε τις εξισώσεις:

 

i) 22x+1 - 4·2x = 0

ii) 2·4x - 5·2x + 2 = 0

 

iii) 32x+1 - 26·3x - 9 = 0

 

4.

Να λύσετε τις ανισώσεις:

 

i) 5x2-5x+6 < 1

ii) 72x-4 > 7x+1

iii) (12)x+1 < (12)2x-4

 

5.

Να λύσετε τα συστήματα:

 

i) Εικόνα

ii) Εικόνα

6.

Να λύσετε τα συστήματα:

 

i) Εικόνα

ii) Εικόνα

 

7.

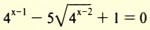
Να λύσετε την ανίσωση     w2 - 101w + 100 < 0     και στην συνέχεια την ανίσωση     102x - 101·10x + 100 <0.



   B′ ΟΜΑΔΑΣ

1.

Να βρείτε τις τιμές του α ∈ R, για τις οποίες ορίζεται σε όλο το R η συνάρτηση: f(x) = ( 2 - α 2α - 1)x. Για ποιές από αυτές τις τιμές η συνάρτηση είναι:

 

i) γνησίως φθίνουσα

ii) γνησίως αύξουσα

 

2.

Να λύσετε τις εξισώσεις:

 

i) Εικόνα

ii) 3x + 3x-1 = 453x+2 + 73x

 
 

iii) 21·3x + 5x+3 = 3x+4 + 5x+2

iv) 32x + 9x = 11·4x-1 + 4x+1

 
 

v) 4x - 3x-1/2 = 3x+1/2 - 22x-1

 

3.

Να λύσετε τα συστήματα:

 

i) Εικόνα

ii) Εικόνα

 

4.

Να παραστήσετε γραφικά τις συναρτήσεις:

 

i) f(x) = 3|x|

ii) f(x) = 3-|x|

 

5.

Αν f(x) = 12x + α-x) και g(x) = 12x - α-x), να αποδείξετε ότι

[f(x)]2 + [g(x)]2 = 1

6.

Αν αφήσουμε το καπάκι ενός πεντάλιτρου δοχείου με εξατμίζεται με ρυθμό 20% ανά εβδομάδα.

 

i)   

Να βρείτε τη συνάρτηση που δίνει την ποσότητα της βενζίνης στο δοχείο μετά από t εβδομάδες.

ii)  

Να κάνετε τη γραφική της παράσταση.

iii) 

Με τη χρήση υπολογιστή τσέπης να διαπιστώσετε ότι μετά 40 εβδομάδες μόνο η μυρωδιά της βενζίνης θα υπάρχει στο δοχείο.

Εικόνα

7.

Το ραδιενεργό Ράδιο έχει χρόνο υποδιπλασιασμού 1600 χρόνια. Αν η αρχική ποσότητα είναι 5 γραμμάρια,

i)   

να αποδείξετε ότι η συνάρτηση, η οποία δίνει την ποσότητα του Ραδίου μετά από t χρόνια είναι Q(t) = 5(0,5)t/1600,

ii)  

να υπολογίσετε την ποσότητα που θα έχει απομείνει μετά από 600 χρόνια με προσέγγιση 2 δεκαδικών ψηφίων,

iii) 

να αποδείξετε ότι μετά από 20000 χρόνια μόλις 0,001 γραμμάρια θα έχουν απομείνει.

8.

Ένας πωλητής αυτοκινήτων βεβαιώνει τους πελάτες ταυ άτι η αξία ενός αυτοκινήτου 40.000 ευρώ ελαττώνεται κατά 15% το χρόνο στα πρώτα 6 χρόνια από την πώληση του.

i)  

Να βρείτε τη συνάρτηση που δίνει την τιμή του αυτοκινήτου μέσα στα 6 χρόνια.

ii) 

Να υπολογίσετε την τιμή του αυτοκινήτου στο τέλος του έκτου χρόνου.

9.

Η ένταση του ηλιακού φωτός σε βάθος x μέτρα, μιας θολής λίμνης, ελαττώνεται εκθετικά ως προς το x, σύμφωνα με τον τύπο

I(x) = I0·e-0,5x     (x ≥ 0),

όπου Ι0 είναι η ένταση στην επιφάνεια του νερού.

 

i)   

Να υπολογίσετε το e-0,5x για x = 0, 1, 2, 3, 4, 5.

ii)  


Να βρείτε την τιμή του x, στον πλησιέστερο ακέραιο, για την οποία ο λόγος I(x)I0 είναι

α) 1            β) 0.1

iii) 

Να επιβεβαιώσετε και γραφικά την τιμή που θα βρείτε.

Εικόνα

10.

Η θερμοκρασία T(t) (σε oC) ενός βραστήρα, κατέρχεται μέχρι να φτάσει την θερμοκρασία Τ0 του δωματίου, σύμφωνα με τον τύπο

T(t) = T0(1 + e-2t)     (t ≥ 0)

 

i)  

Να υπολογίσετε το e-2t για t = 0, 1, 2, 3.

ii) 



Να βρείτε την τιμή του t, στον πλησιέστερο ακέραιο, για την οποία ο λόγος T(t)T0 είναι

α) 1,1            β) 2

Εικόνα

11.

Πυκνωτής χωρητικότητας C (σε F) έχει φορτίο q0 (σε Cb). Αν συνδέσουμε τον πυκνωτή με αντίσταση R (σε ohm), το φορτίο του πυκνωτή ελαττώνεται σύμφωνα με τον τύπο.

q(t) = q0e-t/RC     (t σε δευτερόλεπτα)

 

i)  

Με μια «πρόχειρη» γραφική παράσταση να δείξετε πώς μεταβάλλεται το φορτίο q ως προς το χρόνο t.

ii) 


Να βρείτε τις τιμές του t της μορφής kRC (k ακέραιος) μετά τις οποίες το φορτίο γίνεται μικρότερο από:

α) 12 q0            β) 110 q0

Εικόνα