Άλγεβρα - Βιβλίο Μαθητή
3.4 Ανατοκισμός - Ίσες καταθέσεις - Χρεωλυσία* 4.1 Εκθετική συνάρτηση Επιστροφή στην αρχική σελίδα του μαθήματος

3.5 Άθροισμα άπειρων όρων γεωμετρικής προόδου

Έχουμε ένα σχοινί μήκους μ. Το κόβουμε στη μέση και παίρνουμε το μισό, παίρνουμε δηλαδή σχοινί μήκους μ2.

Ξανακόβουμε το άλλο κομμάτι στη μέση και παίρνουμε το μισό, παίρνουμε δηλαδή σχοινί μήκους μ4.

Εικόνα

Το ίδιο επαναλαμβάνουμε ν φορές και έτσι έχουμε πάρει συνολικά σχοινί με μήκος

Sν = μ2 + μ4 + μ8 + … + μ2ν

To Sv είναι το άθροισμα των πρώτων ν όρων μιας γεωμετρικής προόδου με λόγο 12.

Είναι φανερό ότι, όσο μεγαλύτερο είναι το ν τόσο περισσότερο το Sv πλησιάζει το μήκος     μ     ή, όπως λέμε, το Sv έχει όριο το μ.

Το γεγονός αυτό το συμβολίζουμε ως εξής:

Εικόνα

και διαβάζουμε: «Όριο του Sv, όταν το ν τείνει στο +∞ είναι ίσο με μ». Το Εικόνα λέγεται άθροισμα των άπειρων όρων της γεωμετρικής προόδου μ2, μ4, μ8, …

Γενικότερα τώρα, ας πάρουμε τον τύπο του αθροίσματος των πρώτων ν όρων μιας γεωμετρικής προόδου, που είναι

Sν = α1·λν - 1λ - 1

Έχουμε

Sν = α1·λν - 1λ - 1 = α1λν - α1λ - 1 = α1 - α1λν1 - λ =   α1  1 - λ - α1λν1 - λ

Ας εξετάσουμε τη συμπεριφορά του λν για |λ| < 1, δηλαδή για -1 < λ < 1, π.χ. λ = 12.

Είναι

 λ2 = (12)2 = 14 = 0,25

 λ3 = (12)3 = 18 = 0,125

 λ4 = (12)4 = 116 = 0,0625

 λ5 = (12)5 = 132 = 0,03125

  …………………………………

λ20 = (12)20 =  1 220 ≈ 0,0000001 κτλ.

Παρατηρούμε δηλαδή ότι, για πολύ μεγάλες τιμές του ν, το λν πλησιάζει ολοένα και περισσότερο στο μηδέν. Αυτό σημαίνει ότι και το     α1λν1 - λ     πλησιάζει ολοένα και περισσότερο στο μηδέν με αποτέλεσμα, το     Sν =   α1  1 - λ - α1λν1 - λ     να πλησιάζει ολοένα και περισσότερο στον αριθμό       α1  1 - λ.

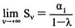
Το ίδιο συμβαίνει και για οποιαδήποτε τιμή του λ με |λ| < 1. Το γεγονός αυτό το συμβολίζουμε, όπως και παραπάνω, ως εξής:

Εικόνα.

Το Εικόνα λέγεται άθροισμα των άπειρων όρων της γεωμετρικής προόδου με |λ| < 1 και συμβολίζεται με S.

Επομένως:

Το άθροισμα των άπειρων όρων μιας γεωμετρικής προόδου που έχει πρώτο όρο α1 και λόγο λ, με |λ| < 1, είναι

S =   α1  1 - λ

Πολλές φορές το άθροισμα των άπειρων όρων μιας γεωμετρικής προόδου συμβολίζεται και με     α1 + α2 + α3 + …


ΠΑΡΑΔΕΙΓΜΑΤΑ

1ο 

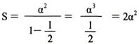
Να υπολογιστεί το άθροισμα 1 + 13 + 19 + 127 + …

ΛΥΣΗ

Πρόκειται για το άθροισμα άπειρων όρων γεωμετρικής προόδου με α1 = 1, λ = 13 και |λ| = 13 < 1. Επομένως, σύμφωνα με τον τύπο S =   α1  1 - λ, έχουμε

Εικόνα

2ο 



Δίνεται ένα τετράγωνο με πλευρά α. Ενώνουμε τα μέσα των πλευρών του και του τετραγώνου που προκύπτει ενώνουμε πάλι τα μέσα των πλευρών του κ.ο.κ. Να βρεθεί το άθροισμα των εμβαδών όλων αυτών των τετραγώνων.

Εικόνα

ΛΥΣΗ

Αν Εν είναι το εμβαδό του τετραγώνου ΑνΒνΓνΔν, τότε το εμβαδό του τετραγώνου Αν+1Βν+1Γν+1Δν+1, είναι Εν+1 = 12 Εν. Επομένως τα εμβαδά των τετραγώνων είναι διαδοχικοί όροι μιας γεωμετρικής προόδου με πρώτο όρο E1 = α2 και λόγο λ = 12. Αφού |λ| < 1, έχουμε

Εικόνα

3ο 

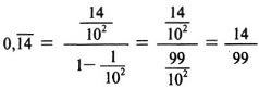
Ο περιοδικός δεκαδικός 0,14 να γραφτεί με την κλασματική μορφή μν, όπου μ, ν φυσικοί αριθμοί.

ΛΥΣΗ

Ισχύει 0,14 = 0,141414… = 14100 +   14  10000 +     14    1000000 + … = 14102 + 14104 + 14106 + …

Επομένως ο αριθμός 0,14 είναι το άθροισμα των άπειρων όρων μιας γεωμετρικής προόδου με α1 = 14102 και λ = 1102  .

Άρα     Εικόνα

ΑΣΚΗΣΕΙΣ

   Α′ ΟΜΑΔΑΣ

1.

Να υπολογίσετε το άθροισμα των άπειρων όρων καθεμιάς από τις ακόλουθες γεωμετρικές προόδους:

 

i) 2, 1, 12, 14, …

ii) 27, 9, 3, 1, 13, …

iii) 1, 23, 49, …

iv) 3, 95, 2725, …

 

v) 16, 8, 4, …

vi) 9, -3, 1, - 13, …

vii) -8, 4, -2, …

viii) 7, 145, 2825, …

2.

Να υπολογίσετε τα αθροίσματα:

 

i) 4 + 2√2 + 2 + √2 + …

ii) (√5 + 1) + 1 +     1    5 + 1 + …

3.

Κάθε έναν από τους παρακάτω δεκαδικούς περιοδικούς να τον γράψετε στη μορφή μν, όπου μ, ν φυσικοί:

 

i) 0,4

ii) 0,26

iii) 0,16

iv) 0,514

4.

Αν είναι |x| > 1, να υπολογίσετε το άθροισμα     x - 2x + x - 2x2 + x - 2x3 + …



   B′ ΟΜΑΔΑΣ

1.

Το άθροισμα των άπειρων όρων μιας γεωμετρικής προόδου είναι 9 και το άθροισμα των τετραγώνων των άπειρων όρων της είναι 40,5. Να βρείτε την πρόοδο (δηλαδή να βρείτε τους α1 και λ).

2.

i)  

Θεωρούμε τη γεωμετρική πρόοδο α + xα - x, α - xα + x, (α - xα + x)3, …, όπου α > 0. Να βρείτε για ποιες τιμές του x ισχύει |λ| < 1, όπου λ ο λόγος της προόδου, και στη συνέχεια να υπολογίσετε το άθροισμα των άπειρων όρων της προόδου αυτής.

ii) 

Ομοίως για τη γεωμετρική πρόοδο 1,    1   1 + x2,      1     (1 + x2)2, …

3.

Έστω ένα τρίγωνο Α1Β1Γ1, Ρ1 η περίμετρος του και Ε1 το εμβαδό του. Συνδέουμε τα μέσα Α2, Β2, Γ2 των πλευρών τριγώνου Α1Β1Γ1 και έστω Ρ2, Ε2 η περίμετρος και το εμβαδό αντιστοίχως του τριγώνου Α2Β2Γ2. Η διαδικασία αυτή μπορεί να συνεχιστεί επ' άπειρον.

Εικόνα

 

i)  

Να βρείτε αναδρομικούς τύπους για τις ακολουθίες (Ρν) και (Εν) των περιμέτρων και των εμβαδών των τριγώνων.

ii) 

Να υπολογίσετε το άθροισμα των άπειρων όρων των ακολουθιών αυτών, αν το τρίγωνο Α1Β1Γ1 είναι ισόπλευρο πλευράς α.

4.

Σε ένα ορθοκανονικό σύστημα αξόνων σχεδιάζουμε τις διχοτόμους δ1 και δ2. Αρχίζοντας από το σημείο     P1(α,0)     φέρνουμε     P1P2 ⊥ δ1,     P2P3 ⊥ Oy,     P3P4 ⊥ δ2,     P4P5 ⊥ Ox     κτλ. Προκύπτει έτσι μια σπειροειδής πολυγωνική γραμμή P1P2P3…Pν

Εικόνα

 

i)   

Να βρείτε έναν αναδρομικό τύπο, καθώς και το νo όρο της ακολουθίας (Iν) των μηκών των πλευρών της πολυγωνικής γραμμής.

ii)  

Να υπολογίσετε το άθροισμα     Ι1 + Ι2 + Ι3 + …

iii) 

Να βρείτε το άθροισμα     Ε1 + Ε2 + Ε3 + …     των εμβαδών των τετραγώνων με πλευρές Ι1, Ι2, Ι3 κτλ.

5.

  Εικόνα

Ο Ζήνων ο Ελεάτης, τον 5ο π.Χ. αιώνα, έφερε σύγχυση στους σοφούς της εποχής του με τον ακόλουθο ισχυρισμό: Ο γοργοπόδαρος Αχιλλέας, παρά τη μεγάλη του προσπάθεια, δεν μπορεί ποτέ να φθάσει μια χελώνα που τρέχει 100 φορές αργότερα από αυτόν τον αγώνα δρόμου και, για λόγους δικαιοσύνης, της έδωσε προβάδισμα d0 = 1 στάδιο (≈150m). Τον ισχυρισμό του αυτόν ο Ζήνων δικαιολογούσε ως εξής: Όταν ο Αχιλλέας θα φτάσει στην αρχική θέση Ρ1 της χελώνας, η χελώνα θα βρίσκεται ήδη λίγο μακρύτερα, στη θέση Ρ2. Όταν ο Αχιλλέας θα φθάσει στο Ρ2, η χελώνα θα βρίσκεται λίγο μακρύτερα, στο Ρ3 κ.ο.κ. Δηλαδή η χελώνα θα έχει πάντα ένα προβάδισμα dv

i)  

Να βρείτε έναν αναδρομικό τύπο για την ακολουθία (dv).

ii) 

Να εξηγήσετε τη φαινομενική αντινομία (παράδοξο) ανάμεσα στον παραπάνω ισχυρισμό και στην εμπειρία, που μας λέει ότι ο Αχιλλέας θα φτάσει και θα ξεπεράσει τη χελώνα.

ΓΕΝΙΚΕΣ ΑΣΚΗΣΕΙΣ (Γ′ ΟΜΑΔΑΣ)

1.

i)  

Αν ακ, αμ, αρ είναι όροι μιας αριθμητικής προόδου, να δείξετε ότι:

(μ - ρ)ακ + (ρ - κ)αμ + (κ - μ)αρ = 0

ii) 

Αν ακ, αμ, αρ είναι όροι μιας γεωμετρικής προόδου, να δείξετε ότι:

ακμ-ρ·αμρ-κ·αρκ-μ = 1

2.

i)  

Αν Sν, S, S είναι τα αθροίσματα των πρώτων ν, 2ν και 3ν όρων, αντιστοίχως μιας αριθμητικής προόδου, να δείξετε ότι S = 3(S - Sν).

ii) 

Αν Sν, S, S είναι τα αθροίσματα των πρώτων ν, 2ν και 3ν όρων, αντιστοίχως μιας γεωμετρικής προόδου, να δείξετε ότι Sν(S - S) = (S - Sν)2.

3.

Δίνεται η ακολουθία     αν = 3ν - 4ν3ν + 4ν.     Να υπολογίσετε το άθροισμα:

   1   α1 - 1 +    1   α2 - 1 +    1   α3 - 1 + … +    1   αν - 1

4.

Αν οι x, y, ω είναι διαδοχικοί όροι μιας αριθμητικής προόδου, ενώ οι x, ω, y είναι διαδοχικοί όροι γεωμετρικής προόδου και ισχύει x + y + ω = 147, να βρείτε τους αριθμούς x, y και ω.

5.

Μια ακολουθία     α1, α2, α3, …     λέγεται     αρμονική πρόοδος,     αν η ακολουθία     1α1, 1α2, 1α3, … είναι αριθμητική πρόοδος.

i)  

Να δείξετε ότι τρεις αριθμοί α, β, γ είναι διαδοχικοί όροι μιας αρμονικής προόδου αν και μόνο αν ισχύει β =  2αγ α + γ. (Ο β λέγεται αρμονικός μέσος των α και γ).

ii) 



Αν A, G, Η είναι ο αριθμητικός μέσος, ο γεωμετρικός μέσος και ο αρμονικός μέσος, αντιστοίχως, των θετικών αριθμών α και γ, να δείξετε ότι:

(1)   Οι A, G, Η είναι διαδοχικοί όροι μιας γεωμετρικής προόδου.

(2)   A ≥ G ≥ H.

6.

Να δείξετε ότι για τρεις οποιουσδήποτε όρους ακ, αλ, αμ μιας αριθμητικής προόδου ο αριθμός ακ - αλαλ - αμ είναι ρητός.

7.

Δίνεται μια αριθμητική πρόοδος (αν) με όλους τους όρους της θετικούς. Να δείξετε ότι:

i)  

 1 α1α2 +  1 α2α3 +  1 α3α4 + … +  1 αν-1αν = ν - 1α1αν

ii) 

      1      α1 + √α2 +       1      α2 + √α3 + … +       1      αν-1 + √αν =    ν - 1   α1 + √αν

8.

Να βρείτε το γενικό όρο της ακολουθίας 2, 4, 7, 11, … που έχει την ιδιότητα, οι διαφορές των διαδοχικών όρων της να σχηματίζουν μια αριθμητική πρόοδο.

9.

Ένας κυκλικός δίσκος διαιρείται σε 12 κυκλικούς τομείς των οποίων τα εμβαδά είναι διαδοχικοί όροι αριθμητικής προόδου. Αν το εμβαδό του μεγαλύτερου τομέα είναι διπλάσιο από το εμβαδό του μικρότερου τομέα, να βρείτε τη γωνία του μικρότερου τομέα.

10.

Αν οι αριθμοί ημ(β + γ - α), ημ(γ + α - β), ημ(α + β - γ) είναι διαδοχικοί όροι μιας αριθμητικής προόδου και α, β, γ ≠ κπ + π2, κ ∈ Ζ να δείξετε ότι και οι αριθμοί εφα, εφβ, εφγ είναι επίσης διαδοχικοί όροι μιας αριθμητικής προόδου.

11.

Να υπολογίσετε το άθροισμα     (x + 1x)2 + (x2 + 1x2)2 + … + (xν + 1xν)2.

12.

Ένα ισόπλευρο τρίγωνο έχει πλευρά α. Με πλευρά το ύψος του σχεδιάζουμε ένα δεύτερο ισόπλευρο τρίγωνο, με του οποίου το ύψος ως πλευρά σχεδιάζουμε ένα τρίτο ισόπλευρο τρίγωνο κ.ο.κ. Πρέπει να κατασκευάσουμε ένα τετράγωνο με εμβαδό ίσο προς το άθροισμα των εμβαδών των άπειρων σε πλήθος αυτών τριγώνων. Το σχήμα δείχνει μια τέτοια μέθοδο κατασκευής. Να την εξηγήσετε και να την αιτιολογήσετε.

Εικόνα

13.

Να βρείτε μια γεωμετρική πρόοδο, αν είναι γνωστό ότι το άθροισμα των πρώτων τεσσάρων όρων της είναι 15 και το άθροισμα των τετραγώνων των όρων αυτών είναι 85.

14.

Από το μάθημα της φυσικής γνωρίζουμε ότι μια ταλάντωση λέγεται φθίνουσα, όταν το πλάτος της, δηλαδή η μεγίστη απομάκρυνση από τη θέση ισορροπίας, διαρκώς ελαττώνεται. Έστω επιπλέον ότι τα διαδοχικά πλάτη α1, α2, α3, … σχηματίζουν γεωμετρική πρόοδο.

Ποιο είναι το ολικό διάστημα που θα διανύσει το άκρο του εκκρεμούς μέχρι να σταματήσει, αν το αρχικό πλάτος είναι α1 = 10cm και ύστερα από κάθε ημιταλάντωση γίνεται 10% μικρότερο;

Εικόνα