Φυσική (Γ' Γυμνασίου) - Βιβλίο Μαθητή (Εμπλουτισμένο)
Ενότητα 7: Ανάκλαση του φωτός Ενότητα 9: Φακοί και οπτικά όργανα Επιστροφή στην αρχική σελίδα του μαθήματος
 

ΚΕΦΑΛΑΙΟ 8

ΔΙΑΘΛΑΣΗ ΤΟY ΦΩΤΟΣ


8.1 Διάθλαση του φωτός

Η θάλασσα ή η πισίνα φαίνονται πιο ρηχές απ’ όσο είναι στην πραγματικότητα. Το μισοβυθισμένο κουτάλι φαίνεται να λυγίζει στην επιφάνεια του νερού (εικόνα. 8.1). Πώς θα μπορούσαμε να ερμηνεύσουμε τις παραπάνω παρατηρήσεις;

Για να περιγράψουμε φαινόμενα όπως τα παραπάνω στη γλώσσα της Φυσικής θα μελετήσουμε πώς διαδίδεται μια λεπτή δέσμη φωτός όταν περνά από ένα διαφανές σώμα σε άλλο, για παράδειγμα από τον αέρα στο νερό ή στο γυαλί.

 

Το φως μέσα στην ύλη: διάθλαση

Αν παρατηρήσουμε προσεκτικά τη διάδοση μιας λεπτής δέσμης φωτός από τον αέρα στο γυαλί, διαπιστώνουμε ότι ένα μέρος από το φως της προσπίπτουσας δέσμης ανακλάται και ένα μέρος εισέρχεται στο γυαλί ακολουθώντας διαφορετική διεύθυνση από την προσπίπτουσα (εικόνα 8.2). Το ίδιο φαινόμενο παρατηρούμε όταν φως διαδίδεται από τον αέρα στο νερό και σε κάθε διαφανές σώμα.

Γνωρίζουμε ότι η ταχύτητα του φωτός στο νερό, στο γυαλί κ.α. είναι μικρότερη από την ταχύτητά του στον αέρα. Λέμε ότι αυτά τα υλικά (γυαλί, νερό) είναι οπτικά πυκνότερα από τον αέρα. Όταν το φως περνά από ένα διαφανές υλικό σε ένα άλλο διαφανές υλικό, στο οποίο διαδίδεται με διαφορετική ταχύτητα, η διεύθυνση διάδοσής του αλλάζει. Αυτό το φαινόμενο ονομάζεται διάθλαση. Στο 5ο κεφάλαιο είδαμε ότι το ίδιο συμβαίνει και με ένα μηχανικό κύμα όταν περνά από ένα μέσο σε άλλο στο οποίο διαδίδεται με διαφορετική ταχύτητα. Δηλαδή το φως και τα μηχανικά κύματα διαθλώνται.

Για να μελετήσουμε το φαινόμενο της διάθλασης ορίζουμε τη γωνία πρόσπτωσης (π^), όπως και στην ανάκλαση, και τη γωνία διάθλασης (δ^) που σχηματίζεται από την ακτίνα που διαθλάται και την κάθετη στην επιφάνεια πρόσπτωσης (εικόνα 8.2). Μπορούμε να επαληθεύσουμε πειραματικά ότι κατά τη διάθλαση του φωτός ικανοποιούνται οι ακόλουθοι νόμοι:

α. Η προσπίπτουσα ακτίνα, η διαθλώμενη και η ευθεία που είναι κάθετη στην επιφάνεια επαφής των δύο υλικών και περνά από το σημείο πρόσπτωσης βρίσκονται στο ίδιο επίπεδο (εικόνα 8.2).

Το κουτάλι φαίνεται να κάμπτεται καθώς βυθίζεται στο νερό.

Εικόνα 8.1

Το κουτάλι φαίνεται να κάμπτεται καθώς βυθίζεται στο νερό.


(α) Η προσπίπτουσα δέσμη παριστάνεται με την κίτρινη ακτίνα. (β) Η ανακλώμενη με την πράσινη. (γ) Η διαθλώμενη με την μπλε.

Εικόνα 8.2
(α) Η προσπίπτουσα δέσμη παριστάνεται με την κίτρινη ακτίνα. (β) Η ανακλώμενη με την πράσινη. (γ) Η διαθλώμενη με την μπλε.
Εικόνα

ΦΥΣΙΚΗ Γ' ΓΥΜΝΑΣΙΟΥ

Ο χάρακας έλκει το σφαιρίδιο του εκκρεμούς. Συμπεραίνουμε ότι ο χάρακας είναι ηλεκτρισμένος.

Εικόνα 8.3

Ο χάρακας έλκει το σφαιρίδιο του εκκρεμούς. Συμπεραίνουμε ότι ο χάρακας είναι ηλεκτρισμένος.

Διάκριση ηλεκτρικής-μαγνητικής δύναμηςΠλησιάζουμε διαδοχικά ένα μαγνήτη σε σιδερένιους συνδετήρες και σε ηλεκτρικό εκκρεμές. Ο μαγνήτης έλκει μόνο τους συνδετήρες.

Εικόνα 8.4
Διάκριση ηλεκτρικής-μαγνητικής δύναμηςΠλησιάζουμε διαδοχικά ένα μαγνήτη σε σιδερένιους συνδετήρες και σε ηλεκτρικό εκκρεμές. Ο μαγνήτης έλκει μόνο τους συνδετήρες.
Εικόνα

 

Σε μεγαλύτερη γωνία πρόσπτωσης αντιστοιχεί μεγαλύτερη γωνία διάθλασης.

Εικόνα 8.5
Σε μεγαλύτερη γωνία πρόσπτωσης αντιστοιχεί μεγαλύτερη γωνία διάθλασης.

 

 

β. Όταν το φως περνά από ένα διαφανές σώμα σε άλλο οπτικά πυκνότερο (όπως όταν περνά από τον αέρα στο γυαλί), τότε η γωνία διάθλασης (δ^) είναι μικρότερη από τη γωνία πρόσπτωσης (π^) (εικόνα 8.2). Αντίθετα όταν το φως περνά από ένα οπτικά πυκνότερο σε ένα οπτικά αραιότερο μέσο, για παράδειγμα από το νερό στον αέρα, η διαθλώμενη ακτίνα απομακρύνεται από την κάθετη στην επιφάνεια, δηλαδή η γωνία διάθλασης είναι μεγαλύτερη από τη γωνία πρόσπτωσης (εικόνα 8.3).

Βέβαια διάθλαση (αλλαγή στη διεύθυνση διάδοσης) συμβαίνει μόνον όταν η γωνία πρόσπτωσης είναι μη μηδενική. Όταν η γωνία πρόσπτωσης ισούται με μηδέν, δηλαδή όταν η δέσμη του φωτός προσπίπτει κάθετα στην επιφάνεια, τότε η γωνία διάθλασης ισούται επίσης με το μηδέν. Το φως περνά στο άλλο μέσο, αλλά συνεχίζει να διαδίδεται στην ίδια διεύθυνση (εικόνα 8.3).

 

Διάθλαση και αρχή του ελάχιστου χρόνου

Στην ανάκλαση είδαμε ότι οι νόμοι της μπορούν να ερμηνευτούν χρησιμοποιώντας την αρχή του ελάχιστου χρόνου. Στην περίπτωση αυτή το φως διαδίδεται σε ομογενές υλικό με την ίδια ταχύτητα. Η διαδρομή που απαιτεί τον ελάχιστο χρόνο είναι αυτή με το ελάχιστο μήκος.

Όταν το φως διαδίδεται από ένα υλικό σε άλλο και στο δεύτερο υλικό η ταχύτητά του είναι διαφορετική απ’ ό,τι είναι στο πρώτο, τότε ο χρόνος διάδοσης δεν εξαρτάται μόνο από το μήκος της διαδρομής αλλά και από την ταχύτητα. Σε αυτή την περίπτωση το φως δεν διαδίδεται ευθύγραμμα. Ακολουθεί τεθλασμένη πορεία διανύοντας μεγαλύτερη διαδρομή στο υλικό όπου η ταχύτητά του είναι μεγαλύτερη, ώστε να φθάσει στον προορισμό του στον ελάχιστο χρόνο (εικόνα 8.4). Το φως επομένως διαθλάται.

 

Νόμος της διάθλασης (του Snell)

Είδαμε ότι οι φωτεινές ακτίνες που περνούν από τον αέρα στο γυαλί ή σε οποιοδήποτε άλλο οπτικά πυκνότερο μέσο διαθλώνται και πλησιάζουν την κάθετο στην επιφάνεια. Όσο η γωνία πρόσπτωσης αυξάνεται τόσο και η γωνία διάθλασης αυξάνεται (εικόνα 8.5).

Ποια σχέση συνδέει τις δύο γωνίες και τις ταχύτητες διάδοσης του φωτός στα δύο μέσα;

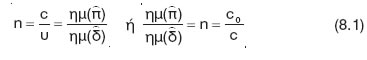
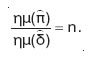
Το 1621 ο Ολλανδός φυσικός Σνελ (Snell) διατύπωσε τη σχέση που συνδέει τη γωνία πρόσπτωσης (π) με τη γωνία διάθλασης (δ) και ονομάζεται νόμος του Σνελ. Σύμφωνα με το νόμο του Σνελ (στη διάθλαση) το πηλίκο του ημιτόνου της γωνίας πρόσπτωσης προς το ημίτονο της γωνίας διάθλασης είναι σταθερό:

εικόνα

Όταν το φως περνάει από το κενό (ή τον αέρα) σε κάποιο άλλο υλικό, τότε αυτό το σταθερό αριθμό τον ονομάζουμε δεί-

ΚΕΦΑΛΑΙΟ 8 ΔΙΑΘΛΑΣΗ ΤΟΥ ΦΩΤΟΣ

κτη διάθλασης (n) αυτού του υλικού, οπότε ο νόμος του Σνελ γράφεται:

εικόνα

Το 1678 ο Κρίστιαν Χόυχενς (εικόνα 8.6) απέδειξε ότι ο δείκτης διάθλασης ενός υλικού ισούται με το πηλίκο της ταχύτητας του φωτός c στο κενό (και κατά προσέγγιση στον αέρα) προς την ταχύτητά του υ στο υλικό. Δηλαδή:

εικόνα

Από τη σχέση 8.1 φαίνεται ότι ο δείκτης διάθλασης του αέρα ή του κενού είναι 1.

Είδαμε ότι το φως μέσα σε οποιοδήποτε υλικό διαδίδεται με μικρότερη ταχύτητα απ’ ό,τι στο κενό ή τον αέρα. Άρα ο δείκτης διάθλασης για όλα τα υλικά είναι μεγαλύτερος της μονάδας.

Από το διάγραμμα 8.1 μπορούμε να συμπεράνουμε ότι το κίτρινο φως διαδίδεται με μεγαλύτερη ταχύτητα στο νερό απ’ ό,τι στο διαμάντι.

Γενικά όταν το φως διαδίδεται από ένα διαφανές μέσο 1 σε ένα άλλο μέσο 2 ισχύει:

εικόνα

Έτσι όταν το φως διαδίδεται από το οπτικά πυκνότερο μέσο (μέσο 1) προς τον αέρα (μέσο 2) η εξίσωση 8.2 μπορεί να γραφεί:

εικόνα

Από τις τιμές του διαγράμματος 8.1 βλέπουμε ότι το γυαλί έχει μεγαλύτερο δείκτη διάθλασης από το νερό. Άρα για την ίδια γωνία πρόσπτωσης η γωνία διάθλασης είναι μικρότερη στο γυαλί απ’ ό,τι στο νερό (η φωτεινή ακτίνα κάμπτεται περισσότερο στο γυαλί) (εικόνα 8.7). Γενικά όσο μικρότερη είναι η ταχύτητα διάδοσης του φωτός σε ένα μέσο, τόσο μεγαλύτερη τιμή έχει ο δείκτης διάθλασής του και τόσο πιο έντονη είναι η διάθλαση σ’ αυτό. H ταχύτητα του φωτός σε ένα μέσο εξαρτάται από το είδος του υλικού αλλά και από την ενέργεια των φωτονίων της ακτινοβολίας, δηλαδή το χρώμα του φωτός. Συνεπώς και ο δείκτης διάθλασης ενός υλικού θα εξαρτάται τόσο από το υλικό όσο και από το χρώμα του φωτός.

 

 

 

 

Στο γυαλί το φως κάμπτεται περισσότερο απ’ ό,τι στο νερό

Κρίστιαν Χόυχενς (Huygens) (1629-1695)

Εικόνα 8.6
Κρίστιαν Χόυχενς (Huygens) (1629-1695)

Φυσικός, αστρονόμος και μαθηματικός ο οποίος γεννήθηκε στη Χάγη της Ολλανδίας, αλλά από το 1655 έως το 1681 έζησε στο Παρίσι όπου και έγινε ένα από τα ιδρυτικά μέλη της Γαλλικής Ακαδημίας των Επιστημών. Διατύπωσε την κυματική θεωρία του φωτός και ερμήνευσε την ανάκλαση και την διάθλασή του. Ανακάλυψε τη μορφή των δακτυλίων του Κρόνου καθώς και έναν δορυφόρο του. Ασχολήθηκε με τη μαθηματική μελέτη και επίλυση πολλών προβλημάτων στη Μηχανική μεταξύ των οποίων ήταν και η κίνηση του απλού εκκρεμούς. Επινόησε την κατασκευή εκκρεμούς κατάλληλου για τη μέτρηση του χρόνου. Μαζί με το Γαλιλαίο και το Νεύτωνα θεωρείται από τους θεμελιωτές της Μηχανικής.

Τιμές του δείκτη διάθλασης σε διάφορα υλικά για το κίτρινο φως που εκπέμπεται από άτομα νατρίου.

Διάγραμμα 8.1
Τιμές του δείκτη διάθλασης σε διάφορα υλικά για το κίτρινο φως που εκπέμπεται από άτομα νατρίου.

 

< Εικόνα 8.7
Στο γυαλί το φως κάμπτεται περισσότερο απ’ ό,τι στο νερό

 

ΦΥΣΙΚΗ Γ' ΓΥΜΝΑΣΙΟΥ

Παράδειγμα 8.1

Μια λεπτή δέσμη φωτός προσπίπτει από τον αέρα στην επιφάνεια του νερού, με γωνία πρόσπτωσης π=60ο (εικόνα 8.7β). Να υπολογίσεις τη γωνία δ που σχηματίζει η διαθλώμενη ακτίνα με την κάθετη στην επιφάνεια του νερού. Να χρησιμοποιήσεις τα δεδομένα από το διάγραμμα 8.1.

Δεδομένα Ζητούμενα Βασική εξίσωση
Γωνία πρόσπτωσης π=60ο
Δείκτης διάθλασης του νερού από το διάγραμμα 8.1): n=1,33
Γωνία διάθλασης: δ εικόνα

Λύση

Εφαρμόζουμε τη βασική εξίσωση: εικόνα

Η γωνία διάθλασης δ είναι δ=40,6ο, δηλαδή μικρότερη της γωνίας πρόσπτωσης (π=60ο). Η ακτίνα πλησιάζει την κάθετη στην επιφάνεια πρόσπτωσης.

 

Το είδωλο του αντικειμένου σχηματίζεται από τις προεκτάσεις των διαθλώμενων ακτίνων που φθάνουν στο μάτι μας.

Εικόνα 8.8
Το είδωλο του αντικειμένου σχηματίζεται από τις προεκτάσεις των διαθλώμενων ακτίνων που φθάνουν στο μάτι μας.

Το είδωλο της μύτης του μολυβιού σχηματίζεται από τις προεκτάσεις των διαθλώμενων ακτίνων.

Εικόνα 8.9
Το είδωλο της μύτης του μολυβιού σχηματίζεται από τις προεκτάσεις των διαθλώμενων ακτίνων.

8.2 Εφαρμογές της διάθλασης του φωτός

Φαινόμενη ανύψωση

Γνωρίζοντας το νόμο της διάθλασης είναι δυνατό να ερμηνεύσουμε τη φαινομενική ανύψωση του πυθμένα της θάλασσας ή της πισίνας και το φαινομενικό σπάσιμο του μολυβιού ή του κουταλιού στην επιφάνεια του νερού (εικόνα 8.9)

Ακτίνες φωτός που ξεκινούν από ένα σημείο του πυθμένα διαδίδονται από το νερό στον αέρα και φθάνουν στο μάτι μας. Στον αέρα το φως διαδίδεται με μεγαλύτερη ταχύτητα απ’ ό,τι στο νερό. Έτσι μόλις η φωτεινή δέσμη διέλθει από το νερό στον αέρα, η γωνία που σχηματίζει με την κάθετη ευθεία στη διαχωριστική επιφάνεια αυξάνεται (εικόνα 8.8). Το μάτι μας προεκτείνει τις ακτίνες που φθάνουν σε αυτό και σχηματίζει το είδωλο του σημείου στην τομή των προεκτάσεων των ακτίνων. Το φως φαίνεται ότι εκπέμπεται από ένα σημείο που βρίσκεται ψηλότερα από την πραγματική θέση του σημείου εκπομπής του. Μας δημιουργείται λοιπόν η εντύπωση ότι ο πυθμένας βρίσκεται ψηλότερα απ’ όσο είναι στην πραγματικότητα (εικόνα 8.8).

Ομοίως, επειδή κάθε σημείο του μολυβιού που βρίσκεται μέσα στο νερό φαίνεται ψηλότερα απ’ όσο είναι στην πραγματικότητα, μας δημιουργεί την εντύπωση ότι το μολύβι είναι λυγισμένο προς τα πάνω (εικόνα 8.9).

 

Δραστηριότητα

 

Το αόρατο γίνεται ορατό

  • Τοποθέτησε ένα νόμισμα στον πυθμένα ενός κενού δοχείου και σε τέτοια θέση ώστε κοιτάζοντας πλάγια πάνω από τα χείλη του δοχείου μόλις να μη φαίνεται.
  • Γέμισε το δοχείο με νερό χωρίς να το μετακινήσεις.
  • Παρατήρησε ότι το νόμισμα γίνεται ορατό.

Πώς ερμηνεύεις το φαινόμενο αυτό;

ΚΕΦΑΛΑΙΟ 8 ΔΙΑΘΛΑΣΗ ΤΟΥ ΦΩΤΟΣ

Παγίδευση του φωτός: ολική ανάκλαση

Στην εικόνα 8.10 παριστάνονται φωτεινές δέσμες οι οποίες διαδίδονται από το νερό προς τον αέρα. Οι δέσμες διαδίδονται αρχικά στο νερό, στη συνέχεια προσπίπτουν στη διαχωριστική επιφάνεια νερού-αέρα. Ορισμένες από αυτές διαθλώνται και εξέρχονται από το νερό. Άλλες προσπίπτουν με μεγάλη γωνία στη διαχωριστική επιφάνεια και ανακλώνται πίσω στο νερό: το φως παγιδεύεται στο ίδιο μέσο.

Πώς ερμηνεύουμε το φαινόμενο αυτό;

Στην εικόνα 8.11 παριστάνονται τρεις φωτεινές ακτίνες που διαδίδονται από το γυαλί στον αέρα. Η ακτίνα γ διαθλάται και περνά στον αέρα απομακρυνόμενη από την κάθετη στη διαχωριστική επιφάνεια: ισχύει π<δ. Όσο μεγαλύτερη είναι η γωνία πρόσπτωσης τόσο η διαθλώμενη πλησιάζει προς τη διαχωριστική επιφάνεια. Για ορισμένη τιμή λοιπόν της γωνίας πρόσπτωσης η διαθλώμενη ακτίνα γίνεται παράλληλη προς τη διαχωριστική επιφάνεια (ακτίνα β). Αυτή η γωνία ονομάζεται ορική γωνία διάθλασης (πc). Όταν λοιπόν π=πc, τότε η γωνία διάθλασης γίνεται 90o (δ=90o). Με βάση τη σχέση 8.3 προκύπτει:

εικόνα

Για ακόμα μεγαλύτερη γωνία το φως δεν εξέρχεται. Η προσπίπτουσα δέσμη υφίσταται μόνον ανάκλαση (ακτίνα α). Το φαινόμενο αυτό ονομάζεται ολική ανάκλαση (εικόνα 8.11).

 

Αντικατοπτρισμός

Μερικές φορές όταν κινούμαστε σε αυτοκινητόδρομους στη διάρκεια του καλοκαιριού βλέπουμε από μακριά να καθρεφτίζεται στο δρόμο ο ουρανός ή ένα αντικείμενο, οπότε μας δημιουργείται η εντύπωση ότι στο βάθος του δρόμου υπάρχει νερό. Ωστόσο, όταν φθάνουμε εκεί, διαπιστώνουμε ότι το έδαφος είναι απολύτως στεγνό. Το φαινόμενο αυτό το παρατηρούν συχνά οι ταξιδιώτες της ερήμου. Ο ουρανός που καθρεφτίζεται στην έρημο δημιουργεί την εντύπωση της επιφάνειας μιας λίμνης ή θάλασσας η οποία διαρκώς απομακρύνεται όσο την πλησιάζεις (εικόνα 8.12). Το φαινόμενο αυτό ονομάζεται αντικατοπτρισμός.

Πώς δημιουργείται η ψευδαίσθηση του αντικατοπτρισμού;

Ο αντικατοπτρισμός παρατηρείται όταν το έδαφος είναι πολύ θερμό. Έτσι, ακριβώς πάνω από αυτό ο αέρας έχει μεγάλη θερμοκρασία, ενώ ψηλότερα μικρότερη. Όσο μεγαλύτερη είναι η θερμοκρασία του αέρα τόσο μεγαλύτερη είναι η ταχύτητα διάδοσης του φωτός και άρα τόσο μικρότερος ο δείκτης διάθλασης σε αυτόν.

Επομένως η φωτεινή δέσμη από το αντικείμενο διαθλάται διαδοχικά στα στρώματα του αέρα. Τελικά κοντά στο έδαφος υφίσταται ολική ανάκλαση και φθάνει στα μάτια του παρατηρητή, ο οποίος την προεκτείνει ευθύγραμμα σχηματίζοντας το είδωλο του αντικειμένου στο έδαφος (εικόνα 8.13).

 

Ορισμένες ακτίνες παγιδεύονται στο νερό.

Εικόνα 8.10
Ορισμένες ακτίνες παγιδεύονται στο νερό.

Η ακτίνα β εξέρχεται παράλληλα προς τη διαχωριστική επιφάνεια. Ισχύει ημπc=1/n.Η σχέση αυτή μπορεί να χρησιμοποιηθεί για τη μέτρηση του δείκτη διάθλασης του υλικού.

Εικόνα 8.11
Η ακτίνα β εξέρχεται παράλληλα προς τη διαχωριστική επιφάνεια. Ισχύει ημπc=1/n.Η σχέση αυτή μπορεί να χρησιμοποιηθεί για τη μέτρηση του δείκτη διάθλασης του υλικού.
Εικόνα

Ατμοσφαιρική διάθλαση

Ατμοσφαιρική διάθλαση
Αν γνωρίζεις ότι η ταχύτητα διάδοσης του φωτός στην ατμόσφαιρα είναι ελαφρώς μικρότερη απ’ ό,τι στο διάστημα, μπορείς να εξηγήσεις γιατί βλέπουμε τον ήλιο λίγο πριν ανατείλει και αφού έχει δύσει;

Ο ταξιδιώτης της ερήμου νομίζει ότι αντικρίζει στο βάθος μια λίμνη.

Εικόνα 8.12
Ο ταξιδιώτης της ερήμου νομίζει ότι αντικρίζει στο βάθος μια λίμνη.

ΦΥΣΙΚΗ Γ' ΓΥΜΝΑΣΙΟΥ

 

Εικόνα 8.13 >
Καθώς το φως διαδίδεται στα διαδοχικά στρώματα του αέρα η ταχύτητά του μεταβάλλεται, με αποτέλεσμα η διάδοση της φωτεινής δέσμης να μην είναι ευθύγραμμη και να φαίνεται σαν να ανακλάται πάνω στο έδαφος.
Εικόνα

Μια φωτεινή ακτίνα που προσπίπτει παράλληλα προς τη βάση ενός πρίσματος, καθώς εξέρχεται από αυτό πλησιάζει τη βάση του.

Εικόνα 8.14
Μια φωτεινή ακτίνα που προσπίπτει παράλληλα προς τη βάση ενός πρίσματος, καθώς εξέρχεται από αυτό πλησιάζει τη βάση του.
Εικόνα

Πρίσματα ολικής ανάκλασης.

Εικόνα 8.15
Πρίσματα ολικής ανάκλασης.

Καθώς το φως διαδίδεται στα διαδοχικά στρώματα του αέρα η ταχύτητά του μεταβάλλεται, με αποτέλεσμα η διάδοση της φωτεινής δέσμης να μην είναι ευθύγραμμη και να φαίνεται σαν να ανακλάται πάνω στο έδαφος.

Διάθλαση σε πρίσμα

Ποια είναι η πορεία μιας φωτεινής ακτίνας καθώς αυτή διέρχεται μέσα από ένα πρίσμα;

Για να σχεδιάσουμε την πορεία μιας ακτίνας θα πρέπει να λάβουμε υπόψη το νόμο του Σνελ. Όταν μια φωτεινή ακτίνα εισέρχεται από τον αέρα στο γυαλί πλησιάζει προς την κάθετη, ενώ όταν εξέρχεται από το γυαλί στον αέρα απομακρύνεται από την κάθετη. Στην εικόνα 8.14 παριστάνεται η πορεία μιας φωτεινής ακτίνας που προσπίπτει παράλληλα προς τη μια πλευρά ενός τριγωνικού πρίσματος. Παρατήρησε ότι η ακτίνα, όταν βγαίνει από το πρίσμα, πλησιάζει προς τη βάση του τριγώνου και απομακρύνεται από την κορυφή του.

Πρίσματα ολικής ανάκλασης

Λαμβάνοντας την τιμή του δείκτη διάθλασης για το γυαλί από το διάγραμμα 8.1 (n=1,52) και αντικαθιστώντας στη σχέση (8.4) προκύπτει ότι η ορική γωνία για το γυαλί είναι πc=41o, ενώ αντίστοιχα για το νερό πc=49o. Το γεγονός ότι η ορική (κρίσιμη) γωνία για το γυαλί είναι μικρότερη από 45o μας δίνει τη δυνατότητα να χρησιμοποιήσουμε ένα πρίσμα σχήματος ισοσκελούς ορθογωνίου τριγώνου για να πετύχουμε: α) την εκτροπή μιας δέσμης φωτός κατά 90o, β) την αντιστροφή της πορείας του φωτός και γ) την παράλληλη μετατόπιση μιας φωτεινής δέσμης (εικόνα 8.15).

Ολική ανάκλαση και κιάλια

Εικόνα 8.16
Ολική ανάκλαση και κιάλια
Οι περισσότερες διόπτρες (κιάλια) περιέχουν δύο πρίσματα κατάλληλα τοποθετημένα, όπως στην περίπτωση (γ) της εικόνας 8.15 τα οποία προκαλούν μετατόπιση της φωτεινής δέσμης από το αντικείμενο στο μάτι. Με αυτό τον τρόπο τα κιάλια γίνονται μικρότερα και πιο συμπαγή..

ΚΕΦΑΛΑΙΟ 8 ΔΙΑΘΛΑΣΗ ΤΟΥ ΦΩΤΟΣ
8.3 Ανάλυση του φωτός

Όταν το λευκό φως του ήλιου πέσει πάνω σε ένα ακανόνιστο κομμάτι γυαλιού, σε σαπουνόφουσκα, κηλίδα πετρελαίου, οπτικό δίσκο (εικόνα 8.17) κ.ά. εμφανίζονται όλα τα χρώματα με μια συγκεκριμένη σειρά. Ίδια σειρά χρωμάτων εμφανίζεται και στο ουράνιο τόξο.

Πώς από το λευκό φως εμφανίζονται όλα τα χρώματα;

 

Διάθλαση μονοχρωματικής δέσμης φωτός σε πρίσμα

Στην εικόνα 8.18 παριστάνεται η πορεία μιας λεπτής μονοχρωματικής δέσμης φωτός που προσπίπτει κάθετα στη μια πλευρά ενός ορθογώνιου τριγωνικού πρίσματος. Μονοχρωματική ονομάζεται μια δέσμη φωτός όταν αποτελείται από φωτόνια μιας μόνο ενέργειας ή από φωτεινές ακτίνες ενός χρώματος. Στην εικόνα σχεδιάζονται δύο παράλληλες φωτεινές ακτίνες που αντιστοιχούν στο ίδιο χρώμα. Παρατήρησε ότι παραμένουν παράλληλες και μετά τη διέλευσή τους από το πρίσμα.

Πώς ερμηνεύουμε αυτό το γεγονός;

Οι δύο ακτίνες έχουν την ίδια γωνία πρόσπτωσης. Επειδή φωτεινή δέσμη αποτελείται από φωτόνια ίδιας ενέργειας αυτά μέσα στο γυαλί θα κινούνται με την ίδια ταχύτητα, δηλαδή και στις δύο ακτίνες θα αντιστοιχεί ο ίδιος δείκτης διάθλασης. Επομένως σύμφωνα με το νόμο της διάθλασης και η γωνία διάθλασης θα είναι ίδια.

 

Ανάλυση του λευκού φωτός

Τι θα συμβεί αν στο πρίσμα προσπέσει φως που δεν είναι μονοχρωματικό, όπως για παράδειγμα το ηλιακό φως;

Ένας από τους μεγαλύτερους φυσικούς όλων των εποχών ο Ισαάκ Νεύτων ενδιαφέρθηκε να απαντήσει στο ερώτημα αυτό. Άρχισε τα πειράματά του στην οπτική το 1662 σε ηλικία 20 ετών όταν ακόμη ήταν φοιτητής στο Καίμπριτζ. Αρχικά δημιούργησε λεπτές φωτεινές δέσμες ηλιακού φωτός, σκοτεινιάζοντας το εργαστήριό του και ανοίγοντας μικρές οπές στα παραθυρόφυλλα. Ακολούθως τοποθέτησε ένα γυάλινο πρίσμα κοντά στην οπή και οδήγησε το εξερχόμενο φως σε μια λευκή επιφάνεια (εικόνα 8.19). Παρατήρησε το σχηματισμό μιας έγχρωμης ταινίας: του χρωματικού φάσματος. Στη συνέχεια ο Νεύτωνας κατηύθυνε την έγχρωμη φωτεινή δέσμη σε ένα δεύτερο πρίσμα και παρατήρησε ότι το φως που εξερχόταν από αυτό ήταν λευκό (εικόνα 8.20).

Με αυτό τον τρόπο ο Νεύτωνας έδειξε ότι τα χρώματα στο λευκό φως δεν είχαν προστεθεί από το υλικό του πρίσματος και κατέληξε τελικά στο συμπέρασμα ότι το λευκό φως είναι μίγμα όλων των χρωμάτων σε κατάλληλη αναλογία. Το φαινόμενο του διαχωρισμού του λευκού φωτός σε χρώματα ονομάζεται ανάλυση (διασπορά) του φωτός.

Τα χρώματα σε έναν σύμπυκνο δίσκο.

Εικόνα 8.17
Τα χρώματα σε έναν σύμπυκνο δίσκο.

Οι μονοχρωματικές φωτεινές δέσμες παραμένουν παράλληλες μετά την έξοδό τους από το πρίσμα.

Εικόνα 8.18
Οι μονοχρωματικές φωτεινές δέσμες παραμένουν παράλληλες μετά την έξοδό τους από το πρίσμα.

Ο Ισαάκ Νεύτων ενώ πειραματίζεται στο εργαστήριό του με τo λευκό φως.

Εικόνα 8.19
Ο Ισαάκ Νεύτων ενώ πειραματίζεται στο εργαστήριό του με τo λευκό φως.

Σχηματική αναπαράσταση της συσκευής του Νεύτωνα.

Εικόνα 8.20
Σχηματική αναπαράσταση της συσκευής του Νεύτωνα.

ΦΥΣΙΚΗ Γ' ΓΥΜΝΑΣΙΟΥ

Στο γυαλί μια φωτεινή ακτίνα που αντιστοιχεί στο κόκκινο χρώμα διαδίδεται με μεγαλύτερη ταχύτητα απ’ ό,τι η ακτίνα που αντιστοιχεί στο μπλε χρώμα. Δηλαδή ο δείκτης διάθλασης του γυαλιού είναι διαφορετικός για το μπλε και κόκκινο χρώμα.

Εικόνα 8.21
Στο γυαλί μια φωτεινή ακτίνα που αντιστοιχεί στο κόκκινο χρώμα διαδίδεται με μεγαλύτερη ταχύτητα απ’ ό,τι η ακτίνα που αντιστοιχεί στο μπλε χρώμα. Δηλαδή ο δείκτης διάθλασης του γυαλιού είναι διαφορετικός για το μπλε και κόκκινο χρώμα.

Η κόκκινη φωτεινή δέσμη διαδίδεται με μεγαλύτερη ταχύτητα στο γυαλί απ’ ό,τι η μπλε. Ο δείκτης διάθλασης της κόκκινης είναι μικρότερος από της μπλε. Από το νόμο της διάθλασης για την ίδια γωνία πρόσπτωσης η κόκκινη θα εκτρέπεται λιγότερο από την μπλε.

Εικόνα 8.22
Η κόκκινη φωτεινή δέσμη διαδίδεται με μεγαλύτερη ταχύτητα στο γυαλί απ’ ό,τι η μπλε. Ο δείκτης διάθλασης της κόκκινης είναι μικρότερος από της μπλε. Από το νόμο της διάθλασης για την ίδια γωνία πρόσπτωσης η κόκκινη θα εκτρέπεται λιγότερο από την μπλε.
Εικόνα

Το ουράνιο τόξο.

Εικόνα 8.23
Το ουράνιο τόξο.

Η σταγόνα του νερού συμπεριφέρεται όπως ένα πρίσμα και προκαλεί ανάλυση του φωτός.

Εικόνα 8.24
Η σταγόνα του νερού συμπεριφέρεται όπως ένα πρίσμα και προκαλεί ανάλυση του φωτός.

Δείκτης διάθλασης και χρώματα του φωτός

Πώς όμως από το λευκό φως εμφανίζονται όλα τα χρώματα;

Για να ερμηνεύσουμε την ανάλυση του φωτός υποθέτουμε ότι η ταχύτητα διάδοσης μιας φωτεινής ακτίνας σ’ ένα υλικό, επομένως και ο δείκτης διάθλασης του υλικού, εξαρτάται από το «χρώμα» της (εικόνα 8.21). Έτσι ο δείκτης διάθλασης του ιώδους είναι μεγαλύτερος από του κόκκινου χρώματος. Σύμφωνα με το νόμο της διάθλασης για την ίδια γωνία πρόσπτωσης μια φωτεινή δέσμη ιώδους χρώματος εκτρέπεται από το πρίσμα περισσότερο από την αντίστοιχη του ερυθρού χρώματος (εικόνα 8.22). Με αυτό τον τρόπο το λευκό φως αναλύεται σε συγκεκριμένες περιοχές χρωμάτων: ιώδη, μπλε, κυανή (γαλάζια), πράσινη, κίτρινη, πορτοκαλί, κόκκινη και σε όλες τις ενδιάμεσες αποχρώσεις τους. Βεβαίως όταν φωτεινές δέσμες όλων των χρωμάτων φθάσουν συγχρόνως στην ίδια περιοχή του αμφιβληστροειδούς χιτώνα του ματιού μας δημιουργείται η εντύπωση του λευκού φωτός.

 

Το ουράνιο τόξο

Το ουράνιο τόξο είναι ένα θεαματικό αποτέλεσμα της ανάλυσης του ηλιακού φωτός. Το ουράνιο τόξο σχηματίζεται όταν ο ήλιος λάμπει σε μια περιοχή του ουρανού, ενώ ταυτόχρονα υπάρχουν σταγόνες νερού σ’ ένα σύννεφο ή βρέχει στην αντίθετη περιοχή του ουρανού (εικόνα 8.23). Για να καταλάβουμε πώς σχηματίζεται το ουράνιο τόξο ας παρακολουθήσουμε την πορεία μιας πολύ λεπτής φωτεινής δέσμης. Κάθε σταγόνα συμπεριφέρεται σαν μικρό πρίσμα. Καθώς η δέσμη εισέρχεται στη σταγόνα διαθλάται και αναλύεται στα χρώματα του φάσματος. Στο εσωτερικό της σταγόνας υφίσταται ολική ανάκλαση και εξέρχεται αφού διαθλαστεί για δεύτερη φορά. Η δεύτερη διάθλαση είναι παρόμοια με την πρώτη και προκαλεί μεγαλύτερο διαχωρισμό των φωτεινών ακτίνων (εικόνα 8.24). Από τις ακτίνες που φθάνουν στο μάτι μας αυτές που αντιστοιχούν σε διαφορετικά χρώματα προέρχονται από διαφορετικές σταγόνες. Με αυτό τον τρόπο δημιουργείται η εικόνα του ουράνιου τόξου.

 

8.4 Το χρώμα

Το χρώμα του ουρανού

Οι αστροναύτες που αντίκρισαν τον ήλιο από τη σελήνη είδαν ένα λαμπερό δίσκο σε ένα μαύρο φόντο. Αντίθετα αντικρίζοντας τον ήλιο από τη Γη βλέπουμε ένα λαμπερό δίσκο σ’ ένα καταγάλανο φόντο. Κατά τη διάρκεια της ανατολής ή της δύσης του ήλιου ο ουρανός παίρνει διάφορους χρωματισμούς που από την αρχαιότητα ως σήμερα αποτελούν πηγή έμπνευσης για τους καλλιτέχνες αλλά και πολλές φορές αντικείμενο θαυμασμού από τους απλούς ανθρώπους.

Πού οφείλεται το γαλάζιο χρώμα του ουρανού;

Σωματίδια όπως τα άτομα, τα μόρια ή κόκκοι σκόνης απορροφούν κάποιες από τις φωτεινές ακτίνες που προσπίπτουν πάνω

 

 

Εικόνα

 

ΚΕΦΑΛΑΙΟ 8 ΔΙΑΘΛΑΣΗ ΤΟΥ ΦΩΤΟΣ

 

τους και τις επανεκπέμπουν προς όλες τις κατευθύνσεις (εικόνα 8.25). Λέμε τότε ότι το φως σκεδάζεται. Η ορατή ακτινοβολία του Ήλιου φθάνει στη Γη αφού διασχίσει την ατμόσφαιρα που την περιβάλλει, σκεδάζεται στα μόρια του οξυγόνου και του αζώτου και «διασκορπίζεται» προς όλες τις κατευθύνσεις. Από τις ακτίνες του ορατού φωτός περισσότερο σκεδάζονται εκείνες που αντιστοιχούν στο ιώδες χρώμα και ακολουθούν διαδοχικά ακτίνες που αντιστοιχούν στα υπόλοιπα χρώματα του φάσματος. Η ιώδης ακτινοβολία διασκορπίζεται 10 φορές περισσότερο από την κόκκινη. Το φως γαλάζιου χρώματος σκεδάζεται λιγότερο από εκείνο του ιώδους όμως τα μάτια μας είναι περισσότερο ευαίσθητα στο γαλάζιο παρά στο ιώδες και γι’ αυτό ο ουρανός μας φαίνεται γαλάζιος (εικόνα 8.26). Ο ουρανός όμως δεν φαίνεται πάντοτε γαλάζιος. Όταν στην ατμόσφαιρα υπάρχουν σωματίδια μεγαλύτερα από τα μόρια του οξυγόνου και του αζώτου, τότε σκεδάζονται έντονα φωτεινές ακτίνες και άλλων χρωμάτων εκτός του ιώδους και του μπλε. Αυτό κάνει τον ουρανό να φαίνεται λιγότερο γαλάζιος και να παίρνει ένα χρώμα προς το άσπρο.

Γιατί κατά την ανατολή και τη δύση του ήλιου ο ουρανός «βάφεται» κόκκινος;

Είδαμε ότι οι φωτεινές ακτίνες που αντιστοιχούν στο κόκκινο χρώμα σκεδάζονται λιγότερο από αυτές του ιώδους. Επομένως όταν μια δέσμη λευκού φωτός διανύει μικρή απόσταση στην ατμόσφαιρα και φτάνει στον παρατηρητή θα περιέχει κυρίως ακτίνες ιώδους και μπλε χρώματος (εικόνα 8.26). Αντίθετα μια δέσμη λευκού φωτός που διανύει μεγάλη απόσταση στην ατμόσφαιρα όταν φθάσει στον παρατηρητή θα περιέχει κυρίως ακτίνες που αντιστοιχούν στο πορτοκαλί και το κόκκινο χρώμα (εικόνα 8.26). Το φως που φθάνει στον παρατηρητή όταν ο ήλιος βρίσκεται κοντά στον ορίζοντα διανύει πολύ μεγαλύτερη απόσταση στην ατμόσφαιρα απ’ ό,τι διανύει κατά τη διάρκεια της ημέρας. Έτσι κατά το ηλιοβασίλεμα ο ουρανός εμφανίζεται διαδοχικά κίτρινος, πορτοκαλί και τελικά κόκκινος. Η αντίθετη σειρά χρωμάτων εμφανίζεται κατά την ανατολή (εικόνα 8.27).

 

Το χρώμα των σωμάτων

Ο κόσμος που μας περιβάλλει εμφανίζει ποικιλία χρωμάτων. Τα τριαντάφυλλα είναι κόκκινα, ο ουρανός γαλάζιος, τα φύλλα των φυτών πράσινα (εικόνα 8.28). Τα χρώματα βρίσκονται πάντα στο επίκεντρο του ενδιαφέροντος τόσο των καλλιτεχνών όσο και των φυσικών. Για το φυσικό όμως τα χρώματα των σωμάτων δεν προέρχονται από το υλικό από το οποίο αποτελούνται. Η αίσθηση του χρώματος προκαλείται στο σύστημα ματιού-εγκεφάλου του παρατηρητή από το φως που ανακλάται ή εκπέμπεται από τα σώματα.

Χρώματα από ανάκλαση

Έχεις παρατηρήσει πώς μεταβάλλεται το χρώμα των αντικειμένων όταν μεταβάλλεται το χρώμα της φωτεινής δέσμης που πέφτει πάνω τους;

Στο λευκό φως το άνθος ενός τριαντάφυλλου φαίνεται κόκκινο, ενώ τα φύλλα πράσινα (εικόνα 8.29α). Αν το τριαντάφυλλο

Τα μόρια του οξυγόνου και του αζώτου καθώς και οι κόκκοι σκόνης απορροφούν τις φωτεινές ακτίνες και τις επανεκπέμπουν προς όλες τις κατευθύνσεις.

Εικόνα 8.25
Τα μόρια του οξυγόνου και του αζώτου καθώς και οι κόκκοι σκόνης απορροφούν τις φωτεινές ακτίνες και τις επανεκπέμπουν προς όλες τις κατευθύνσεις.

 

Η ιώδης, η μπλε και η γαλάζια ακτινοβολία σκεδάζονται περισσότερο από τις υπόλοιπες. Έτσι το χρώμα του ουρανού που προκύπτει από το διάχυτο ηλιακό φως φαίνεται γαλάζιο.

Εικόνα 8.26
Η ιώδης, η μπλε και η γαλάζια ακτινοβολία σκεδάζονται περισσότερο από τις υπόλοιπες. Έτσι το χρώμα του ουρανού που προκύπτει από το διάχυτο ηλιακό φως φαίνεται γαλάζιο.

Κατά την ανατολή και τη δύση του ήλιου ο ουρανός «βάφεται» πορφυρός.

Εικόνα 8.27
Κατά την ανατολή και τη δύση του ήλιου ο ουρανός «βάφεται» πορφυρός.

 

Ο κόσμος που μας περιβάλλει είναι έγχρωμος.

Εικόνα 8.28
Ο κόσμος που μας περιβάλλει είναι έγχρωμος.

ΦΥΣΙΚΗ Γ' ΓΥΜΝΑΣΙΟΥ

 

Εικόνα 8.29 Εικόνα
Το χρώμα ενός ετερόφωτου σώματος εξαρτάται από το χρώμα του φωτός που πέφτει πάνω του. Τα τριαντάφυλλα φωτίζονται: (α) με λευκό φως και (β) με πράσινο.

 

 

 

Χρώμα αδιαφανούς σώματος

Εικόνα 8.30
Χρώμα αδιαφανούς σώματος

Το κόκκινο άνθος ανακλά τις φωτεινές ακτίνες που αντιστοιχούν στο κόκκινο χρώμα και απορροφά τις υπόλοιπες.

Χρώμα διαφανούς σώματος

Εικόνα 8.31
Χρώμα διαφανούς σώματος

Το κόκκινο τζάμι επιτρέπει τη διέλευση των φωτεινών ακτίνων που αντιστοιχούν στο κόκκινο χρώμα και απορροφά τις υπόλοιπες.

Το χρώμα ενός ετερόφωτου σώματος εξαρτάται από το χρώμα του φωτός που πέφτει πάνω του. Τα τριαντάφυλλα φωτίζονται: (α) με λευκό φως και (β) με πράσινο.

φωτιστεί με φωτεινή δέσμη πράσινου χρώματος, τότε το άνθος φαίνεται μαύρο, ενώ τα φύλλα διατηρούν το πράσινο χρώμα τους (εικόνα 8.29β).

Γιατί το χρώμα των ετερόφωτων σωμάτων εξαρτάται από το χρώμα με το οποίο φωτίζονται;

Τα αδιαφανή σώματα απορροφούν ένα μέρος των φωτεινών ακτίνων που πέφτουν πάνω τους, ενώ ανακλούν το υπόλοιπο. Αν ένα σώμα ανακλά τις φωτεινές ακτίνες κόκκινου χρώματος και απορροφά αυτές που αντιστοιχούν στα υπόλοιπα ορατά χρώματα, τότε θα φαίνεται κόκκινο όταν φωτίζεται με λευκό ή με κόκκινο φως. Με οποιοδήποτε άλλο χρώμα θα φαίνεται μαύρο. Τα μέρη των φυτών που περιέχουν χλωροφύλλη απορροφούν φωτεινές ακτίνες όλων των χρωμάτων και ανακλούν μόνο αυτές που αντιστοιχούν στο πράσινο χρώμα και γι’ αυτό φαίνονται πράσινα (εικόνα 8.28).

Το λευκό και το μαύρο

Η σελίδα του τετραδίου σου ανακλά τις φωτεινές δέσμες που αντιστοιχούν σε όλα τα χρώματα. Έτσι όταν φωτιστεί με λευκό φως φαίνεται λευκή, ενώ αν φωτιστεί με το κίτρινο φως ενός κεριού φαίνεται κίτρινη. Γενικά αν ένα σώμα ανακλά τις φωτεινές ακτίνες που αντιστοιχούν σε όλα τα χρώματα θα εμφανίζεται με το χρώμα της φωτεινής δέσμης με την οποία φωτίζεται, ενώ αν απορροφά τις φωτεινές ακτίνες που αντιστοιχούν σε όλα τα χρώματα και δεν ανακλά καμία τότε θα εμφανίζεται μαύρο. Αντικείμενα όπως το κάρβουνο ή τα γράμματα του βιβλίου σου φαίνονται μαύρα γιατί απορροφούν εξίσου σχεδόν όλες τις φωτεινές ακτίνες που αντιστοιχούν στο ορατό φως.

Χρώματα από διέλευση

Τα διαφανή έγχρωμα σώματα, όπως ένα κομμάτι χρωματιστό τζάμι, αφήνουν να περάσουν φωτεινές ακτίνες που αντιστοιχούν σε ορισμένα χρώματα και απορροφούν τις υπόλοιπες. Ένα κομμάτι τζάμι το οποίο στο λευκό φως φαίνεται κόκκινο επιτρέπει στις φωτεινές ακτίνες που αντιστοιχούν στο κόκκινο χρώμα να διέλθουν, ενώ απορροφά τις υπόλοιπες (εικόνα 8.31). Τα συνήθη τζάμια των παραθύρων είναι άχρωμα επειδή επιτρέπουν το πέρασμα φωτεινών ακτίνων που αντιστοιχούν σε όλα τα χρώματα.

Γενικά το χρώμα ενός αδιαφανούς σώματος καθορίζεται από το χρώμα που αντιστοιχεί στις φωτεινές ακτίνες που αυτό ανακλά, ενώ ενός διαφανούς καθορίζεται από το χρώμα που αντιστοιχεί στις φωτεινές ακτίνες των οποίων επιτρέπει τη διέλευση.

ΚΕΦΑΛΑΙΟ 8 ΔΙΑΘΛΑΣΗ ΤΟΥ ΦΩΤΟΣ
και Βιολογία και καθημερινή ζωή

Το ηλιακό φως

Το ηλιακό φως είναι λευκό γιατί περιέχει φωτόνια όλων των ενεργειών του ορατού φάσματος. Περιέχει όμως περισσότερα φωτόνια που αντιστοιχούν στην ενδιάμεση περιοχή μεταξύ του κίτρινου και του πράσινου χρώματος και λιγότερα στις ακραίες περιοχές του κόκκινου και του ιώδους. Επειδή το ανθρώπινο είδος εξελίχθηκε στο περιβάλλον του ηλιακού φωτός, τα μάτια μας είναι πιο ευαίσθητα στο φως αυτών των χρωμάτων. Γι’ αυτό κάποιες λουρίδες σε αυτοκινητόδρόμους βάφονται κίτρινες ώστε να διακρίνονται καλύτερα. Για τον ίδιο λόγο βλέπουμε καλύτερα με το κίτρινο φως που εκπέμπουν λαμπτήρες ατμών νατρίου.

Ερωτήσεις Εικόνα

1.

 

 

 

 

 

 

 

 

 

 

 

 

 

 

 

 

 

 

 

 

 

 

 

 

 

 

 

2.

3.

4.

 

 

5.

Χρησιμοποίησε και εφάρμοσε τις έννοιες που έμαθες:

Συμπλήρωσε τις λέξεις που λείπουν από το παρακάτω κείμενο έτσι ώστε οι προτάσεις που προκύπτουν να είναι επιστημονικά ορθές:

α. Όταν το φως περνά από ένα διαφανές υλικό σε ένα άλλο διαφανές υλικό, στο οποίο διαδίδεται με διαφορετική ταχύτητα, η διεύθυνση διάδοσής του ………………. Αυτό το φαινόμενο ονομάζεται ……………………...

β. Γωνία πρόσπτωσης είναι η γωνία που σχηματίζεται από την …………….. ακτίνα και την ……………. στο σημείο πρόσπτωσης. Γωνία διάθλασης είναι η γωνία που σχηματίζεται μεταξύ της …………… ακτίνας και της …………………… στη διαχωριστική επιφάνεια. Η προσπίπτουσα φωτεινή ακτίνα, η ……………. και η κάθετη στην επιφάνεια επαφής στο σημείο πρόσπτωσης βρίσκονται στο ίδιο …………….

γ. Όταν το φως περνά από ένα διαφανές σώμα σε άλλο οπτικά πυκνότερο (όπως όταν περνά από τον αέρα στο γυαλί), τότε η γωνία διάθλασης (δ^) είναι ……………….. από τη γωνία πρόσπτωσης (π^). Αντίθετα όταν το φως περνά από ένα οπτικά πυκνότερο σε ένα οπτικά αραιότερο μέσο, για παράδειγμα από το νερό στον αέρα, η γωνία διάθλασης είναι …………………. από τη γωνία πρόσπτωσης.

Όταν η δέσμη του φωτός προσπίπτει κάθετα στην επιφάνεια διαχωρισμού δύο μέσων, τότε το φως περνά στο άλλο μέσο και συνεχίζει να διαδίδεται στην ………… διεύθυνση.

δ. Όταν η γωνία πρόσπτωσης λάβει μια ορισμένη τιμή τέτοια ώστε η διαθλώμενη ακτίνα να γίνει παράλληλη προς τη διαχωριστική επιφάνεια των δύο μέσων, τότε αυτή η γωνία ονομάζεται ………….. γωνία διάθλασης και συμβολίζεται με ………. Με χρήση του νόμου του Σνελ για τη διάθλαση προκύπτει: εικόναΓια ακόμα μεγαλύτερη γωνία η προσπίπτουσα δέσμη υφίσταται μόνον ……………… Το φαινόμενο αυτό ονομάζεται ……………………. ανάκλαση.

ε. Αν ένα σώμα ανακλά τις φωτεινές ακτίνες που αντιστοιχούν σε όλα τα χρώματα, τότε θα εμφανίζεται με το ………… της φωτεινής δέσμης με την οποία φωτίζεται.

Αν ένα σώμα ………………… τις φωτεινές ακτίνες που αντιστοιχούν σε όλα τα χρώματα της ορατής ακτινοβολίας και δεν ανακλά κανένα, τότε θα εμφανίζεται ……………...

Τα διαφανή έγχρωμα σώματα αφήνουν να περάσουν ……… ………… που αντιστοιχούν στο χρώμα που εμφανίζουν και ………………… όλες τις υπόλοιπες.

Να διατυπώσεις το νόμο του Σνελ για τη διάθλαση του φωτός.

Πώς ορίζεται ο δείκτης διάθλασης ενός υλικού και ποιες είναι οι μονάδες του;

Να συγκρίνεις τη γωνία πρόσπτωσης με τη γωνία διάθλασης όταν μια φωτεινή δέσμη διέρχεται από τον αέρα στο γυαλί και δεν είναι κάθετη στη διαχωριστική επιφάνεια. Το ίδιο όταν διέρχεται από το γυαλί στον αέρα. Να σχεδιάσεις σε κατάλληλο σχήμα την πορεία των φωτεινών ακτίνων.

Το φαινόμενο της ατμοσφαιρικής διάθλασης αυξάνει ή μειώνει τη διάρκεια της ημέρας. Δικαιολόγησέ το.

ΦΥΣΙΚΗ Γ' ΓΥΜΝΑΣΙΟΥ

 

 

6.

 

 

 

 

7.

 

 

 

8.

 

 

9.

 

 

 

10.

 

 

11.

 

 

 

12.

 

 

13.

 

 

14.

 

 

 

 

15.

 

 

16.

 

 

17.

18.

 

19.

 

 

20.

 

 

Εφάρμοσε τις γνώσεις σου και γράψε τεκμηριωμένες απαντήσεις για τις ερωτήσεις που ακολουθούν:

Στο διπλανό σχήμα φαίνεται ένα νόμισμα Π που έχει τοποθετηθεί στον πυθμένα μιας λίμνης. Σε ποιο σημείο πρέπει να τοποθετήσει το μάτι του ένας παρατηρητής ώστε να δει το νόμισμα; Να παραστήσεις γραφικά στο τετράδιό σου την πορεία των φωτεινών ακτίνων.

Μια μονοχρωματική φωτεινή δέσμη διαδίδεται από το νερό στο γυαλί. Συμβουλεύσου τα δεδομένα που δίδονται στο διάγραμμα 8.1 για την ταχύτητα διάδοσης του φωτός στο νερό και το γυαλί και σχεδίασε την πορεία της φωτεινής δέσμης.

Να συμπληρώσεις την πορεία των φωτεινών δεσμών που παριστάνονται στο διπλανό σχήμα.

Κατά τις ζεστές καλοκαιρινές ημέρες οι ευθείς ασφαλτοστρωμένοι δρόμοι συχνά δίνουν την εντύπωση ότι σε μεγάλη απόσταση είναι βρεγμένοι. Πώς θα μπορούσες να εξηγήσεις αυτό το φαινόμενο;

εικόνα

εικόνα

Παρατήρησε την εικόνα 8.1 στην οποία παριστάνεται ένα κουτάλι βυθισμένο σε ένα ποτήρι με νερό. Πώς θα μπορούσες να εξηγήσεις το σπάσιμο που παρατηρείς στη λαβή του κουταλιού; Σχεδίασε ένα κατάλληλο σχήμα με το οποίο να δικαιολογείς αυτό που παρατηρείς.

Ένας Εσκιμώος θέλει να χτυπήσει με το καμάκι του μια φώκια που βρίσκεται βυθισμένη στο νερό. Θα πρέπει να στοχεύσει πιο πάνω, πιο κάτω ή κατευθείαν πάνω της; Θα έκανε το ίδιο αν χρησιμοποιούσε ως όπλο ένα πιστόλι με ισχυρή δέσμη λέιζερ; Μπορείς να αιτιολογήσεις την απάντησή σου σχεδιάζοντας και το ανάλογο σχήμα;

Θέλεις να στείλεις μια δέσμη λέιζερ σε ένα διαστημικό σταθμό ο οποίος βρίσκεται μέσα στην ατμόσφαιρα ακριβώς στη γραμμή του ορίζοντα. Θα σκοπεύσεις πιο πάνω, πιο κάτω ή τον ίδιο το δορυφορικό σταθμό; Θα έκανες το ίδιο αν αντί για δέσμη λέιζερ εκτόξευες έναν πύραυλο;

Γνωρίζεις ότι το φως διαδίδεται ευθύγραμμα σε ένα ομογενές μέσο αλλά σε μια οπτική ίνα φαίνεται να κάμπτεται και να ακολουθεί τη διεύθυνσή της. Μπορείς να εξηγήσεις γιατί συμβαίνει αυτό;

Παρατήρησε τη διπλανή εικόνα στην οποία παριστάνεται η πορεία μιας φωτεινής δέσμης, καθώς διέρχεται από το υλικό Α στο υλικό Β. Ποιο από τα δύο υλικά έχει το μεγαλύτερο δείκτη διάθλασης; Σε ποιο υλικό το φως διαδίδεται με τη μεγαλύτερη ταχύτητα;

Το γυαλί έχει μεγαλύτερο δείκτη διάθλασης από το νερό. Ποιο υλικό παρουσιάζει τη μεγαλύτερη ορική γωνία;

Σ’ ένα πρίσμα το ιώδες φως εκτρέπεται από τη πορεία διάδοσής του περισσότερο από το κόκκινο. Γιατί συμβαίνει αυτό;

εικόνα

Ποια έγχρωμη δέσμη έχει μεγαλύτερη ταχλυτητα στο γυαλί; Η κόκκινη, η πράσινη ή η μπλε;

Να εξηγήσεις γιατί ένα σκοτεινό σύννεφο προμηνύει βροχή αν γνωρίζεις ότι οι μεγάλες σταγόνες νερού απορροφούν μεγαλύτερο ποσοστό ακτινοβολίας απ’ όση διαχέουν.

Ένα διαφανές τζάμι όταν φωτίζεται με λευκό φως φαίνεται κόκκινο, ενώ ένα άλλο πράσινο. Κατασκευάζουμε ένα γυάλινο κουτί που το περίβλημά του αποτελείται από τα δύο τζάμια τοποθετημένα το ένα πάνω στο άλλο. Στο εσωτερικό του κουτιού τοποθετούμε μια λευκή πηγή φωτός. Ποιο είναι το χρώμα που θα δούμε;

Να χαρακτηρίσεις με Σ τις προτάσεις των οποίων το περιεχόμενο είναι επιστημονικά ορθό και με Λ αυτές που το περιεχόμενό τους είναι επιστημονικά λανθασμένο.

i. Όταν ο Νηλ Άρμστρονγκ, ο πρώτος άνθρωπος που πάτησε την επιφάνεια της Σελήνης, έστρεψε το βλέμμα του προς τα πάνω αντίκρισε ένα μαύρο ουρανό σε αντίθεση με τον καταγάλανο της Γης. Αυτό συμβαίνει γιατί: α) στη Σελήνη δεν υπάρχουν φωτεινές πηγές, β) η Σελήνη δεν έχει ατμόσφαιρα, γ) η Σελήνη έχει πολύ χαμηλή θερμοκρασία, δ) η Σελήνη δεν έχει ωκεανούς που να ανακλούν το ηλιακό φως, ε) τίποτε από όλα αυτά.

ii. Η σκηνή ενός θεάτρου φωτίζεται από έναν προβολέα που εκπέμπει ακτινοβολία μπλε χρώματος. Το χρώμα που φαίνεται να έχει ο κίτρινος μανδύας του πρωταγωνιστή είναι: α) μπλε, β) κίτρινο, γ) λευκό, δ) μαύρο, ε) κανένα από αυτά.

ΚΕΦΑΛΑΙΟ 8 ΔΙΑΘΛΑΣΗ ΤΟΥ ΦΩΤΟΣ

Ασκήσεις

1.

 

 

 

 

 

2.

Μια φωτεινή δέσμη προσπίπτει στην επάνω επιφάνεια μιας ορθογώνιας γυάλινης πλάκας με γωνία πρόσπτωσης 60ο, ενώ η γωνία διάθλασης της δέσμης είναι 35ο. Να σχεδιάσεις την προσπίπτουσα και τη διαθλώμενη φωτεινή ακτίνα, καθώς και την κάθετη στη διαχωριστική επιφάνεια στο σημείο πρόσπτωσης. Να προσδιορίσεις τη γωνία πρόσπτωσης της φωτεινής δέσμης στην κάτω επιφάνεια της πλάκας. Αν η πλάκα περιβάλλεται από αέρα, να υπολογίσεις τη γωνία με την οποία εξέρχεται η φωτεινή ακτίνα από αυτή. Ποια είναι η διεύθυνση της εξερχόμενης φωτεινής δέσμης σε σχέση με τη διεύθυνση της προσπίπτουσας;

Να προσδιορίσεις το δείκτη διάθλασης ενός υλικού αν γνωρίζεις ότι μια φωτεινή δέσμη διαθλάται με γωνία 30ο όταν η γωνία πρόσπτωσης είναι 45ο.

 

ΠΕΡΙΛΗΨΗ

  • Διάθλαση ονομάζεται το φαινόμενο της αλλαγής της διεύθυνσης διάδοσης του φωτός όταν αυτό περνά από ένα διαφανές υλικό σε ένα άλλο διαφανές υλικό, στο οποίο διαδίδεται με διαφορετική ταχύτητα.
  • Κατά τη διάθλαση του φωτός ισχύουν οι ακόλουθοι νόμοι:

α) Η προσπίπτουσα ακτίνα, η διαθλώμενη και η ευθεία που είναι κάθετη στην επιφάνεια επαφής των δυο υλικών και περνά από το σημείο πρόσπτωσης βρίσκονται στο ίδιο επίπεδο.

β) Το πηλίκο του ημιτόνου της γωνίας πρόσπτωσης προς το ημίτονο της γωνίας διάθλασης είναι σταθερό: εικόνα (νόμος του Σνελ για τη διάθλαση)

  • Δείκτης διάθλασης ενός υλικού ορίζεται το πηλίκο n=(ταχύτητα διάδοσης του φωτός στο κενό)/ταχύτητα διάδοσης του φωτός στο υλικό) ή n=c/υ
  • Όταν φωτεινή ακτίνα προσπίπτει την επιφάνεια επαφής δυο υλικών, προερχόμενη από το οπτικά πυκνότερο με γωνία μεγαλύτερη μιας ορικής γωνίας τότε υφίσταται μόνο ανάκλαση. Το φαινόμενο αυτό ονομάζεται ολική ανάκλαση.
  • Το λευκό φως είναι σύνθετο. Αποτελείται από ακτινοβολίες που αντιστοιχούν σε κάθε χρώμα. Το λευκό φως αναλύεται από ένα πρίσμα, οπότε σχηματίζεται το χρωματικό φάσμα.
  • Η ανάλυση του φωτός οφείλεται στο ότι η ταχύτητα διάδοσης μιας φωτεινής ακτίνας σ’ ένα υλικό, επομένως και ο δείκτης διάθλασης του υλικού, εξαρτάται από το «χρώμα» της.
  • Το χρώμα ενός αδιαφανούς σώματος καθορίζεται από το χρώμα που αντιστοιχεί στις φωτεινές ακτίνες που αυτό ανακλά, ενώ ενός διαφανούς καθορίζεται από το χρώμα που αντιστοιχεί στις φωτεινές ακτίνες των οποίων επιτρέπει την διέλευση.

 

ΒΑΣΙΚΟΙ ΟΡΟΙ
Οπτικά πυκνότερο υλικό Διάθλαση Δείκτης διάθλασης
Ολική ανάκλαση Ανάλυση του φωτός Χρωματικό φάσμα