- Γνωρίζω ποια αλγεβρική παράσταση λέγεται ρητή και πότε ορίζεται.
- Μαθαίνω να απλοποιώ ρητές
αλγεβρικές παραστάσεις.
| ΔΡΑΣΤΗΡΙΟΤΗΤΑ |
|
1. Ποια είναι η τιμή της παράστασης για x = 0;
Μπορείτε να βρείτε την τιμή της παράστασης για x = 1;
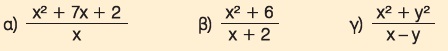
2. Ποιο από τα παρακάτω κλάσματα απλοποιείται;
2. . Ποιο από τα παρακάτω κλάσματα απλοποιείται;

3. Ποια από τις παρακάτω παραστάσεις απλοποιείται;

|
Μια αλγεβρική παράσταση που είναι
κλάσμα και οι όροι του είναι πολυώνυμα, λέγεται ρητή αλγεβρική παράσταση ή απλώς ρητή παράσταση.
Οι μεταβλητές μιας ρητής παράστασης δεν μπορούν να πάρουν τιμές που μηδενίζουν τον παρονομαστή της, αφού δεν ορίζεται κλάσμα με παρονομαστή μηδέν.
Για παράδειγμα, η παράσταση ορίζεται, αν x ≠ 1.
Στη συνέχεια, όταν γράφουμε μια ρητή παράσταση, θα εννοείται ότι οι μεταβλητές της δεν παίρνουν τιμές που μηδενίζουν τον παρονομαστή.
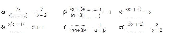
Όπως μια αριθμητική παράσταση, έτσι και μια ρητή παράσταση, μπορεί να απλοποιηθεί, αν ο αριθμητής και ο παρονομαστής της είναι γινόμενα και έχουν κοινό παράγοντα.
Έτσι, η παράσταση δεν απλοποιείται, ενώ η
παράσταση απλοποιείται, γιατί οι όροι της είναι
γινόμενα και έχουν κοινό παράγοντα το 3x. Αν διαιρέσουμε και τους δύο όρους με τον κοινό
παράγοντα, έχουμε 
H προηγούμενη απλοποίηση γίνεται συντομότερα, αν διαγράψουμε τον κοινό παράγοντα,
οπότε έχουμε 
Αν όμως σε μια ρητή παράσταση ο αριθμητής ή ο παρονομαστής δεν είναι γινόμενο, τότε για να την απλοποιήσουμε εργαζόμαστε ως εξής:
- Παραγοντοποιούμε και τους δύο όρους της και
- διαγράφουμε τους κοινούς παράγοντες των όρων της.
Για παράδειγμα, η παράσταση
απλοποιείται ως εξής:


|