- Μαθαίνω τι είναι αλγεβρική παράσταση και πώς βρίσκεται η αριθμητική τιμή της
- Διακρίνω αν μια αλγεβρική
παράσταση είναι μονώνυμο και
προσδιορίζω το βαθμό του.
- Μαθαίνω να κάνω πράξεις με μονώνυμα.
 Πολλές φορές για να λύσουμε ένα πρόβλημα, καταλήγουμε σε εκφράσεις που περιέχουν μόνο αριθμούς και γι´ αυτό ονομάζονται αριθμητικές παραστάσεις.
Υπάρχουν όμως και προβλήματα στα οποία καταλήγουμε σε εκφράσεις οι οποίες, εκτός από αριθμούς, περιέχουν και μεταβλητές. Οι εκφράσεις αυτές λέγονται αλγεβρικές παραστάσεις.
Ειδικότερα μια αλγεβρική παράσταση λέγεται ακέραια, όταν μεταξύ των μεταβλητών της σημειώνονται μόνο οι πράξεις της πρόσθεσης και του πολλαπλασιασμού και οι εκθέτες των μεταβλητών της είναι φυσικοί αριθμοί
Αν σε μια αλγεβρική παράσταση αντικαταστήσουμε τις μεταβλητές με αριθμούς και κάνουμε τις πράξεις, θα προκύψει ένας αριθμός που λέγεται αριθμητική τιμή ή απλά τιμή της αλγεβρικής παράστασης.
Για παράδειγμα, η τιμή της αλγεβρικής παράστασης
2x2 + xy για x = 5 και y = 8, είναι 2·52 + 5·8 = 90.
 Οι ακέραιες αλγεβρικές παραστάσεις, στις οποίες μεταξύ των μεταβλητών σημειώνεται μόνο η πράξη του πολλαπλασιασμού, λέγονται μονώνυμα.
Σ´ ένα μονώνυμο ο αριθμητικός παράγοντας λέγεται συντελεστής του μονωνύμου, ενώ το γινόμενο όλων των μεταβλητών του με τους αντίστοιχους εκθέτες τους λέγεται κύριο μέρος του μονωνύμου.
Ο εκθέτης μιας μεταβλητής λέγεται βαθμός του μονωνύμου ως προς τη μεταβλητή αυτή, ενώ ο βαθμός του μονωνύμου ως προς όλες τις μεταβλητές του λέγεται το άθροισμα των εκθετών των μεταβλητών του.
Για παράδειγμα τα μονώνυμα
, είναι όμοια
Τα όμοια μονώνυμα που έχουν τον ίδιο συντελεστή λέγονται ίσα ενώ, αν έχουν αντίθετους συντελεστές, λέγονται αντίθετα.
Για παράδειγμα τα μονώνυμα 2x3y και -2x3y είναι αντίθετα.
Συμφωνούμε ακόμη να θεωρούνται και οι αριθμοί ως μονώνυμα και τα ονομάζουμε σταθερά μονώνυμα. Ειδικότερα, ο αριθμός 0 λέγεται μηδενικό μονώνυμο και δεν έχει βαθμό, ενώ όλα τα άλλα σταθερά μονώνυμα είναι μηδενικού βαθμού. Για παράδειγμα, ο αριθμός 5 είναι σταθερό μονώνυμο μηδενικού βαθμού.
|
1
Να βρεθεί η αριθμητική τιμή των παραστάσεων
α) -3x2y3, για x = -2 και y = -1
β) 2α2 - 3β + 6 για α = -3 και β = 8
Λύση
α) H αριθμητική τιμή της παράστασης -3x2y3 για x =-2 και y = -1 είναι:
-3·(-2)2·(-1)3 = -3·(+4)·(-1) = 12
β) Η αριθμητική τιμή της παράστασης 2α2 - 3β + 6 για α = -3 και β = 8 είναι:
2·(-3)2 - 3·8 + 6 = 2·(+9) - 24 + 6 = 18 - 24 + 6 = 0.
2
To ιδανικό βάρος Β (σε κιλά) ενός ενήλικα, ύψους υ
(σε cm) δίνεται από τον τύπο ,
όπου t είναι η ηλικία του (σε έτη) και κ μια σταθερά (για τον άνδρα κ = 0,9 και για τη γυναίκα κ = 0,8). Να βρεθεί ποιο είναι το ιδανικό βάρος για έναν άνδρα και μια γυναίκα, από τους οποίους ο καθένας είναι 30 ετών και έχει ύψος 1,77 m.
Λύση
α) Το ιδανικό βάρος Β (σε κιλά) ενός άνδρα ηλικίας 30 ετών και ύψους 1,77 m = 177 cm, είναι
Β = 0,9· =
= 0,9·(177 - 100 + 3) = 0,9·80 = 72 κιλά.
Το ιδανικό βάρος Β (σε κιλά) μιας γυναίκας ηλικίας 30 ετών και ύψους 1,77 m = 177 cm, είναι
Β = 0,8· = 0,8·(177 - 100 + 3) =
= 0,8·80 = 64 κιλά.
3
 Να βρεθεί το μονώνυμο που εκφράζει το εμβαδόν του χρωματισμένου μέρους, το οποίο περιέχεται μεταξύ του τετραγώνου και του κύκλου. Να προσδιοριστεί ο συντελεστής του, το κύριο μέρος του και ο βαθμός του. Να υπολογιστεί η αριθμητική τιμή του για ρ = 10 cm.
Λύση
Το τετράγωνο έχει πλευρά 2ρ, οπότε το εμβαδόν του είναι (2ρ)2 = 4ρ2. Επειδή το εμβαδόν του κύκλου είναι πρ2, το χρωματισμένο μέρος έχει εμβαδόν 4ρ2 - πρ2. Με την επιμεριστική ιδιότητα η παράσταση 4ρ2 - 2γράφεται
4ρ2 - πρ2 = (4 - π)ρ2 = (4 - 3,14)ρ2 = 0,86ρ2
Άρα είναι μονώνυμο δευτέρου βαθμού με συντελεστή 0,86 και κύριο μέρος ρ2. Η αριθμητική τιμή του για ρ = 10 cm είναι 0,86·102 = 0,86·100 = 86 cm2.
|
1
Ποιες από τις παρακάτω αλγεβρικές παραστάσεις είναι μονώνυμα;

2
Ποια από τα παρακάτω μονώνυμα είναι όμοια:
3
Να συμπληρώσετε τον παρακάτω πίνακα:
| Μονώνυμο |
Συντελεστής
|
Βαθμός
ως
προς x
|
Βαθμός
ως
προς y
|
Βαθμός
ως
προς x
και y
|
| 5xy4
|
|
|
|
|
| -xy2
|
|
|
|
|
 |
|
|
|
|
| -√
3 x4
|
|
|
|
|
4
Ένα μονώνυμο έχει συντελεστή και κύριο μέρος
xy2ω3. Να βρείτε το ίσο του και το αντίθετο μονώνυμο του.
5
Να λύσετε το σταυρόλεξο.

|
1
Να βρείτε την αριθμητική τιμή των αλγεβρικών παραστάσεων:

2
Ένα μονώνυμο έχει συντελεστή και μεταβλητές
α, β. Να προσδιορίσετε το μονώνυμο, αν ο βαθμός του ως προς α είναι 2 και ως προς α και β είναι 5.
3
Να προσδιορίσετε την τιμή του φυσικού αριθμού ν, ώστε το μονώνυμο 3xνy2
- να είναι μηδενικού βαθμού ως προς x
- να είναι πέμπτου βαθμού ως προς x και y
- να έχει αριθμητική τιμή 48, για x = 2 και y = -1.
4
Να βρείτε τους αριθμούς κ, λ, ν, ώστε τα μονώνυμα 4x3yν, λxκy2 να είναι:
α) όμοια β) ίσα γ) αντίθετα
5
 Να γράψετε τα μονώνυμα που εκφράζουν το εμβαδόν και τον όγκο μιας σφαίρας
που έχει ακτίνα ρ. Να προσδιορίσετε το
συντελεστή, το κύριο μέρος και το
βαθμό κάθε μονωνύμου.
Ποια είναι η αριθμητική τιμή
κάθε μονωνύμου, όταν ρ = 10;
6
 Μια ομάδα καλαθοσφαίρισης έδωσε 9 αγώνες. Να γράψετε μια αλγεβρική παράσταση που εκφράζει τους βαθμούς που συγκέντρωσε, αν σε κάθε νίκη παίρνει 2 βαθμούς και σε κάθε ήττα 1 βαθμό.
7
 Να γράψετε την αλγεβρική παράσταση που εκφράζει το εμβαδόν του τετραγώνου ΒΓΔΕ. Ποιο είναι το εμβαδόν, όταν x = 12;
|
|
Οι μεταβλητές ενός μονωνύμου αντιπροσωπεύουν αριθμούς και γι´ αυτό στις πράξεις που γίνονται μεταξύ μονωνύμων ισχύουν όλες οι ιδιότητες των πράξεων που ισχύουν και στους αριθμούς.
Πρόσθεση μονωνύμων
Ένα άθροισμα ομοίων μονωνύμων π.χ. -5x3 + 2x3 με τη βοήθεια της επιμεριστικής ιδιότητας γράφεται
-5x3 + 2x3 = (-5 + 2)x3 = -3x3
Παρατηρούμε ότι:
Το άθροισμα ομοίων μονωνύμων είναι μονώνυμο όμοιο με αυτά και έχει συντελεστή το άθροισμα των συντελεστών τους.
Σύμφωνα με τον προηγούμενο κανόνα, έχουμε
-12x2y - 3x2y = -15x2y.
Αν τα μονώνυμα δεν είναι όμοια, όπως τα 3x και 5y, τότε το άθροισμά τους 3x + 5y δεν είναι μονώνυμο.
Πολλαπλασιασμός μονωνύμων
Ένα γινόμενο μονωνύμων π.χ.
(-2x)(3x2y) με τη βοήθεια των ιδιοτήτων του πολλαπλασιασμού και των δυνάμεων γράφεται
(-2x)(3x2y) = (-2)x·3x2y = (-2)·3(xx2)y = -6x3y
Παρατηρούμε ότι:
Το γινόμενο μονωνύμων είναι μονώνυμο με:
-
συντελεστή το γινόμενο των συντελεστών τους και
- κύριο μέρος το γινόμενο όλων των μεταβλητών τους με εκθέτη κάθε μεταβλητής το άθροισμα των εκθετών της.
Σύμφωνα με τον προηγούμενο κανόνα έχουμε 
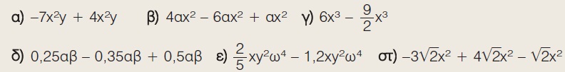
Διαίρεση μονωνύμων
Η διαίρεση μονωνύμων, όπως και η διαίρεση αριθμών γίνεται, αν πολλαπλασιάσουμε το διαιρετέο με τον αντίστροφο του διαιρέτη.
Για παράδειγμα,

Παρατηρούμε ότι στο πρώτο παράδειγμα το πηλίκο των μονωνύμων είναι μονώνυμο, ενώ στο δεύτερο παράδειγμα δεν είναι μονώνυμο.
|
1
Να γίνουν οι πράξεις:

Λύση
2
 Από το σημείο Α αφήνουμε ένα σώμα να πέσει στο έδαφος. Αν ο χρόνος t σε sec που μεσολαβεί μέχρι να φτάσει στο έδαφος είναι διπλάσιος του χρόνου που θα έκανε, αν το αφήναμε να πέσει από το σημείο Β, να βρεθεί το μονώνυμο που εκφράζει την απόσταση ΑΒ
Λύση
3
Μια τσιμεντένια κυλινδρική κολώνα, που έχει ακτίνα βάσης ρ και ύψος υ, ενισχύεται περιμετρικά με τσιμέντο και αποκτά ακτίνα βάσης διπλάσια της αρχικής. Ο μηχανικός ισχυρίζεται ότι το τσιμέντο που προστέθηκε έχει όγκο τριπλάσιο του αρχικού όγκου της κολώνας. Είναι σωστός ο ισχυρισμός του;
Λύση
 Ο αρχικός όγκος της κολώνας ήταν V 1 = πρ2υ. Μετά την ενίσχυση της κολώνας, ο συνολικός όγκος της έγινε
V2 = π(2ρ)2υ = π(4ρ2)υ = 4πρ2υ. Άρα το τσιμέντο που προστέθηκε έχει όγκο V2 - V1 = 4πρ2υ - πρ2υ = 3πρ2υ, που είναι πράγματι τριπλάσιος του αρχικού όγκου πρ2υ της κολώνας. Επομένως ο ισχυρισμός του μηχανικού είναι σωστός.
|
2
Να συμπληρώσετε τις ισότητες:
|
1
Να κάνετε τις πράξεις::

2
Να υπολογίσετε τα γινόμενα:
3
Να υπολογίσετε τα πηλίκα:

4
Να κάνετε τις πράξεις:

5
Να βρείτε το εμβαδόν των παρακάτω σχημάτων. Ποιες από τις εκφράσεις που βρήκατε είναι μονώνυμα;

6
Να συγκρίνετε το εμβαδόν του πράσινου τριγώνου με το άθροισμα των εμβαδών των κίτρινων τριγώνων.
|
|