- Μαθαίνω να μετατρέπω μια αλγεβρική παράσταση σε γινόμενο παραγόντων
Πολλές φορές, για την επίλυση ενός προβλήματος, μιας εξίσωσης, μιας ανίσωσης ή για την απλοποίηση ενός κλάσματος, είναι χρήσιμο να μετατραπεί μία παράσταση από άθροισμα σε γινόμενο.
Η διαδικασία με την οποία μια παράσταση, που είναι άθροισμα, μετατρέπεται σε γινόμενο παραγόντων, λέγεται παραγοντοποίηση.
Μικροπείραμα 
Για παράδειγμα, η παράσταση πR2 - πρ2 με τη βοήθεια της επιμεριστικής ιδιότητας γράφεται π(R2 - ρ2) και σύμφωνα με την ταυτότητα (R + ρ)(R - ρ) = R2 - ρ2, παραγοντοποιείται ως εξής:
πR2 - πρ2 = π(R2 - ρ2) = π(R + ρ)(R- ρ)
Στο προηγούμενο παράδειγμα η παράσταση πR2 – πρ2
πήρε τελικά τη μορφή π(R + ρ) (R – ρ). Κανένας από τους παράγοντες π , (R + ρ) , (R - ρ) δεν μπορεί να μετατραπεί σε γινόμενο απλούστερων παραγόντων, γι´ αυτό λέμε ότι η παράσταση έχει αναλυθεί σε γινόμενο πρώτων παραγόντων.
Στο εξής, όταν λέμε ότι παραγοντοποιούμε μία παράσταση, θα εννοούμε ότι την αναλύουμε σε γινόμενο πρώτων παραγόντων.
Στη συνέχεια, θα δούμε τις πιο χαρακτηριστικές περιπτώσεις παραγοντοποίησης μιας αλγεβρικής παράστασης.
 Αν όλοι οι όροι μιας παράστασης έχουν κοινό παράγοντα, τότε η παράσταση μετατρέπεται σε γινόμενο παραγόντων σύμφωνα με την επιμεριστική ιδιότητα.
Για παράδειγμα, σε όλους τους όρους της παράστασης 3α + 3β - 3γ υπάρχει κοινός παράγοντας το 3, οπότε η παράσταση παραγοντοποιείται ως εξής:
3α + 3β - 3γ = 3(α + β - γ).
Ομοίως η παράσταση 2α2 - 2αβ + 2α, γράφεται
2α·α - 2α·β + 2α ·1, οπότε σε όλους τους όρους της υπάρχει κοινός παράγοντας το 2α.
Κάθε όρος μέσα στην παρένθεση είναι το πηλίκο της διαίρεσης των αντίστοιχων όρων της παράστασης με τον κοινό παράγοντα:

Άρα, η παράσταση παραγοντοποιείται ως εξής:
2α2 - 2αβ + 2α = 2α(α - β + 1).
Στην περίπτωση αυτή, λέμε ότι «βγάζουμε κοινό παράγοντα το 2α».
Μικροπείραμα 
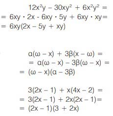
Να παραγοντοποιηθούν οι παραστάσεις:
α) 12x2y - 30xy2 + 6x2y2
β) α(ω - x) + 3β(x - ω)
γ) 3(2x - 1) + x(4x - 2)
 α) Σε όλους τους όρους της παράστασης υπάρχει κοινός παράγοντας το 6xy,οπότε έχουμε:
β) Η παράσταση έχει δύο όρους, τους α(ω - x) και 3, (x - ω). Για να δημιουργήσουμε και στους δύο όρους κοινό παράγοντα τον ω - x, το δεύτερο όρο της τον γράφουμε -3β(ω - x), οπότε έχουμε:
γ) Αν από το δεύτερο όρο της παράστασης βγάλουμε κοινό παράγοντα το 2, τότε δημιουργούμε κοινό παράγοντα το 2x - 1, οπότε έχουμε:
Στην παράσταση αx + αy + 2x + 2y, δεν υπάρχει κοινός παράγοντας σε όλους τους όρους της. Αν όμως βγάλουμε κοινό παράγοντα, από τους δύο πρώτους όρους το α και από τους δύο τελευταίους το 2, τότε σχηματίζονται δύο όροι με κοινό παράγοντα τον x + y. Έτσι, η παράσταση παραγοντοποιείται ως εξής:

Την προηγούμενη παράσταση μπορούμε να τη χωρίσουμε και σε διαφορετικές ομάδες. Το αποτέλεσμα όμως της παραγοντοποίησης είναι και πάλι το ίδιο. Πράγματι, έχουμε:

Να παραγοντοποιηθούν οι παραστάσεις:
α) 3x3 - 12x2 + 5x - 20
β) αβ - 3α - 3β + 9
γ) 3x2 + 5xy + 2y2
α) 3x3 - 12x2 + 5x - 20 = 3x3(x - 4) + 5(x - 4) = (x - 4)(3x3 + 5)
Μερικές παραστάσεις παραγοντοποιούνται κατά ομάδες, αν διασπάσουμε κατάλληλα έναν ή περισσότερους όρους
π.χ.
5xy = 3xy + 2xy
β) αβ - 3α - 3β + 9 = α(β - 3) - 3(β - 3) = (β - 3)(α - 3)
γ) 3x2 + 5xy + 2y2 = 3x2 + 3xy + 2xy + 2y2 = 3x(x + y) + 2y(x + y) = (x + y)(3x + 2y).
Αν εναλλάξουμε τα μέλη της ταυτότητας
(α + β)(α - β) = α2 - β2, τότε γράφεται και ως εξής:
α2 - β2 = (α + β)(α - β)
Σύμφωνα με την ταυτότητα αυτή, μπορούμε να παραγοντοποιήσουμε μια παράσταση που είναι διαφορά τετραγώνων,
π.χ. α2 - 9 = α2 - 32 = (α + 3)(α - 3).
Να παραγοντοποιηθούν οι παραστάσεις:
α) 4β2 - 25
β) (3x - 1)2 - 81
γ) α2 - 7.
Για να σχηματίσουμε διαφορά τετραγώνων εκφράζουμε κάθε όρο ως τετράγωνο μιας παράστασης.
α) 4β2 - 25 = (2β)2 - 52 = (2β + 5)(2β - 5)
β) (3x - 1)2 - 81 = (3x - 1)2 - 92 =
(3x - 1 + 9)(3x - 1 - 9) =
(3x + 8)(3x - 10)
γ) α2 -7 = α2 -(√7 )2 = (α - √7 )(α + √7 )
Οι ταυτότητες (α - β)(α2 + αβ + β2) = α3 - β3
και (α + β)(α2 - αβ + β2) = α3+ β3 γράφονται και ως εξής:
α3 - β3 = (α - β)(α2 + αβ + β2)
α3 + β3 = (α + β)(α2 - αβ + β2)
Σύμφωνα με τις ταυτότητες αυτές, μπορούμε να παραγοντοποιήσουμε μια παράσταση που είναι διαφορά ή άθροισμα κύβων, π.χ.
x3 - 64 = x3 - 43 = (x - 4)(x2 + x·4 + 42) =
(x - 4)(x2 + 4x + 16)
y3 +27 = y3 + 33 = (y + 3)(y2 - y·3 + 32) =
(y + 3)(y2 - 3y + 9)
Να παραγοντοποιηθούν οι παραστάσεις:
α) x3 - 27
β) x3 + 64
γ) 8α3 - β3
Για να σχηματίσουμε διαφορά ή άθροισμα κύβων εκφράζουμε κάθε όρο ως κύβο μιας παράστασης.
α) x3 - 27 = x3 - 33 = (x - 3)(x2 + x·3 + 32) =
(x - 3)(x2 + 3x + 9)
β) x3 + 64 = x3 + 43 = (x + 4)(x2 - x·4 + 42) = (x + 4)(x2 - 4x + 16)
γ) 8α3 - β3 = (2α)3 - β3 = (2α - β)[(2α)2 + 2α·β + β2]
= (2α - β)(4α2 + 2αβ + β2)
Οι ταυτότητες (α + β)2 = α2 + 2αβ + β2
και (α - β)2 = α2 - 2αβ + β2 γράφονται και ως εξής:
α2 + 2αβ + β2 = (α + β)2 α2 - 2αβ + β2 = (α - β)2
Σύμφωνα με τις ταυτότητες αυτές, μπορούμε να παραγοντοποιήσουμε μια παράσταση που είναι ανάπτυγμα τετραγώνου (τέλειο τετράγωνο), π.χ.
Οι παραστάσεις (x + 2)2 και (y - 3)2 είναι γινόμενα παραγόντων, αφού
(x + 2)2 = (x + 2)(x + 2) και
(y - 3)2 = (y - 3)(y - 3)
x2 + 4x + 4 = x2 + 2·x·2 + 22 = (x + 2)2
y2 - 6y + 9 = y2 - 2·y·3 + 32 = (y - 3)2
Να παραγοντοποιηθούν οι παραστάσεις:
α) 4α2 + 12α + 9
β) α2 - 10αβ + 25β2
γ) -4y2 + 4y - 1
Γράφουμε κάθε παράσταση ως ανάπτυγμα τετραγώνου της μορφής
α2 + 2αβ + β2 ή α2 - 2αβ + β2
α) 4α2 + 12α + 9 = (2α)2 + 2·2α·3 + 32 = (2α + 3)2
β) α2 - 10αβ + 25β2 = α2 - 2·α·5β + (5β)2 = (α - 5β)2
γ) -4y2 + 4y - 1 = -(4y2 - 4y + 1) =
= -[(2y)2 - 2·2y·1 + 12] = = -(2y - 1)2
Το ανάπτυγμα του γινομένου (x + α)(x + β) είναι το τριώνυμο x2 + (α + β)x + αβ, αφού
(x + α)(x + β) =
x2 + αx + βx + αβ = x2+ (α + β)x + αβ.
Επομένως, ένα τριώνυμο της μορφής x2 + (α + β)x + αβ
παραγοντοποιείται σύμφωνα με τον τύπο x2 + (α + β)x + αβ = (x + α)(x + β)
Για παράδειγμα, για να παραγοντοποιήσουμε το τριώνυμο x2 + 8x + 12 αναζητούμε δύο αριθμούς με γινόμενο 12 (σταθερός όρος) και άθροισμα 8 (συντελεστής του x). Υπάρχουν πολλά ζευγάρια αριθμών που έχουν γινόμενο 12 (π.χ. 1·12, 2·6, 3·4 κ.τ.λ.).
Όμως, μόνο το ζευγάρι 2 και 6 έχει άθροισμα 8. Άρα έχουμε:
x2 + 8x + 12 = x2 + (6 + 2)x + 6·2 = (x + 6)(x + 2)
Μικροπείραμα 
Να παραγοντοποιηθούν τα τριώνυμα:
α) x2- 8x + 12
β) x2 + 5x - 6
γ) -3y2 + 12y - 9
α) Για να παραγοντοποιήσουμε το τριώνυμο x2- 8x+12, αναζητούμε δύο αριθμούς με γινόμενο 12 και άθροισμα -8. Οι αριθμοί αυτοί πρέπει να είναι αρνητικοί, αφού έχουν γινόμενο θετικό και άθροισμα αρνητικό. Με δοκιμές βρίσκουμε ότι οι αριθμοί αυτοί είναι το -2 και το -6.
Άρα έχουμε x2 - 8x + 12 = (x - 2)(x - 6)
β) Για να παραγοντοποιήσουμε το τριώνυμο x2 + 5x - 6, αναζητούμε δύο ετερόσημους αριθμούς, που έχουν γινόμενο -6 και άθροισμα 5.
Οι αριθμοί αυτοί είναι το 6 και το -1, οπότε έχουμε
x2 + 5x - 6 = (x + 6)(x - 1).
γ) Για να παραγοντοποιήσουμε το τριώνυμο
-3y2 + 12y - 9, βγάζουμε κοινό παράγοντα το -3, ώστε ο συντελεστής του y2 να γίνει 1, οπότε έχουμε
-3y2 + 12y - 9 = -3(y2 - 4y + 3)
Για την παραγοντοποίηση του τριωνύμου y2 - 4y + 3, αναζητούμε δύο αριθμούς με γινόμενο 3 και άθροισμα -4. Οι αριθμοί αυτοί είναι το -3 και το -1, οπότε έχουμε
-3y2 + 12y - 9 = -3(y2 - 4y + 3) = -3(y - 3)(y - 1).
|